Zadnji put ažurirano :
18/03/2026
antibiotik   Gentamicin sulfate  
kapi za oko
injekcija
Stabilnost farmaceutskih pripravaka Stabilnost mješavine Stabilizacijski faktor Kompatibilnosti Bibliografija pdf
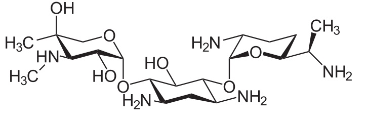
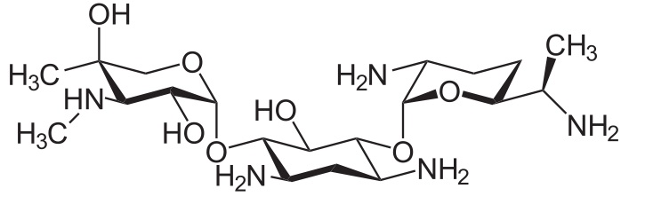
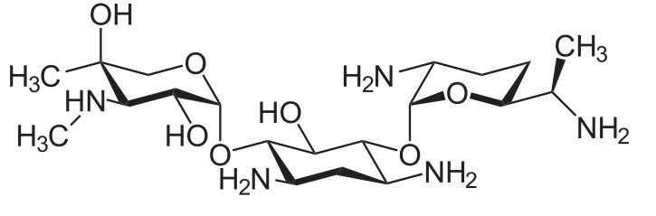
   Kemijska struktura  

kapi za oko
Stabilnost farmaceutskih pripravaka   kapi za oko   Stabilnost farmaceutskih pripravaka : Gentamicin sulfate     
Kontejner Origine pomoćna tvar temperatura Konzerviranje Trajanje stabilnosti Bibliografija
čaša bočica za injekcije 80 mg
®=?
NaCl 0.9% >>10 ml
2-8°C Zaštićeno od svjetlosti
42 dan
2547

čaša bočica za injekcije 140 mg
®=?
NaCl 0.9% >>10 ml
2-8°C Zaštićeno od svjetlosti
42 dan
2547

čaša bočica za injekcije 80 mg
®=?
NaCl 0.9% >>10 ml
26°C nespecifičan
7 dan
2547

čaša bočica za injekcije 140 mg
®=?
NaCl 0.9% >>10 ml
26°C nespecifičan
7 dan
2547

plastična boca bočica za injekcije 5 ml
gentamycine sulfate 40 mg/ml ®=? (Lyphomed)
Genoptic® kapi za oko 3 mg/ml 2 ml
4-8°C Zaštićeno od svjetlosti
90 dan
2487


  Mentions Légales