Viimeisin päivitys :
18/03/2026
Antibiootit   Gentamicin sulfate  
Silmätipat
Injektioneste
Vakaus lääkevalmisteen Stabilius seoksissa Tekijät, jotka vaikuttavat stabiliuteen Yhteensopivuus Viitteet pdf
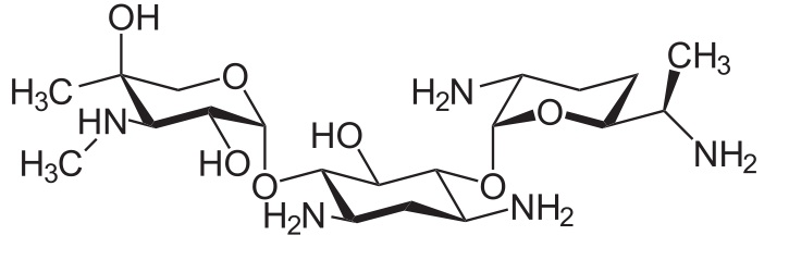
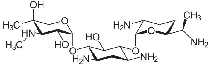
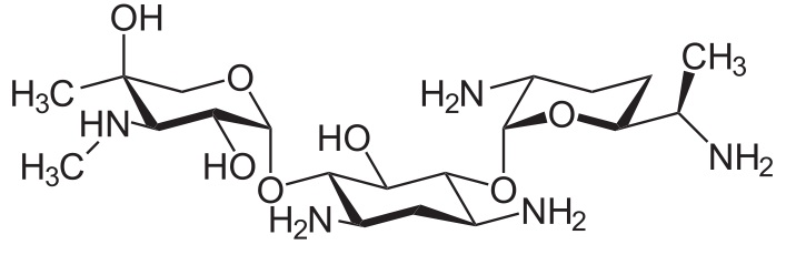
   Kemiallinen rakenne  

Silmätipat
Vakaus lääkevalmisteen   Silmätipat   Vakaus lääkevalmisteen : Gentamicin sulfate     
Astia Origine Apuaine Lämpötila Säilytys Vakauden kesto Viitteet
Lasi Injektionestepullo 80 mg
®=?
NaCl 0,9 % >>10 ml
2-8°C Suojattava valolta
42 Päivä
2547

Lasi Injektionestepullo 140 mg
®=?
NaCl 0,9 % >>10 ml
2-8°C Suojattava valolta
42 Päivä
2547

Lasi Injektionestepullo 80 mg
®=?
NaCl 0,9 % >>10 ml
26°C Ei määritetty
7 Päivä
2547

Lasi Injektionestepullo 140 mg
®=?
NaCl 0,9 % >>10 ml
26°C Ei määritetty
7 Päivä
2547

Muovipullo Injektionestepullo 5 ml
gentamycine sulfate 40 mg/ml ®=? (Lyphomed)
Genoptic®-silmätipat 3 mg/ml 2 ml
4-8°C Suojattava valolta
90 Päivä
2487


  Mentions Légales