zadnja posodobitev :
27/11/2025
Različen   Baclofen  
Peroralna raztopina
Brizgalka Mazila
Stabilnost farmacevtskih preparatov Stabilnost mešanice Faktorji, ki vplivajo na stabilnost Kompatibilnost Viri pdf
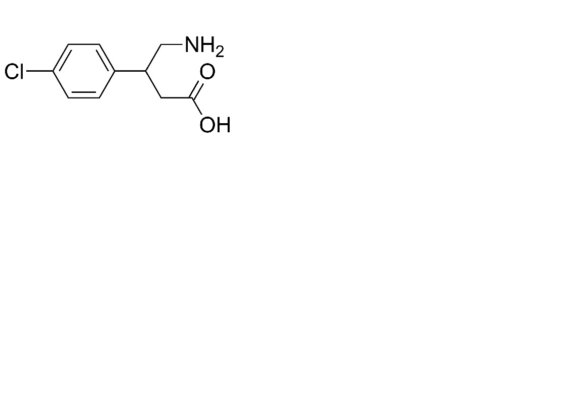
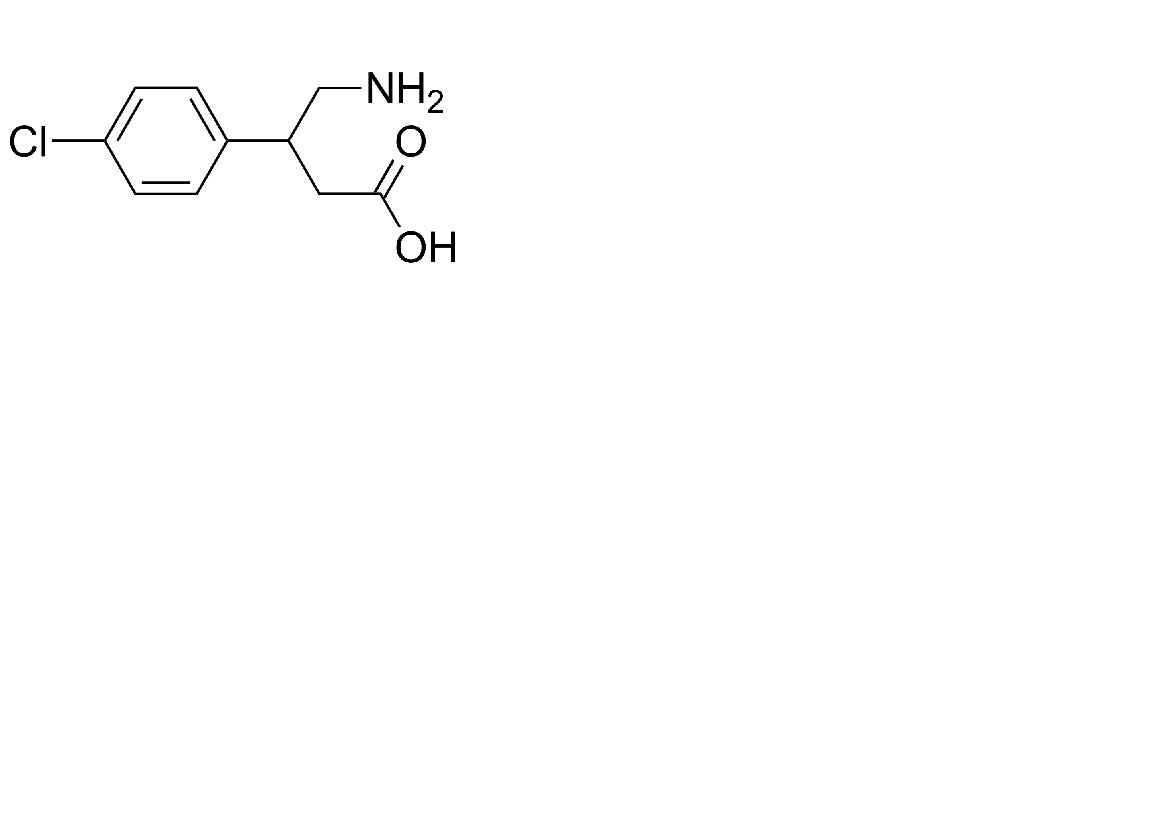
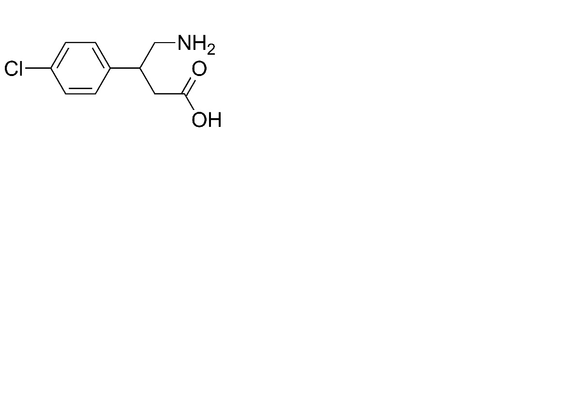
   Kemična formula  

Peroralna raztopina
Stabilnost mešanice   Peroralna raztopina   Stabilnost mešanice : Baclofen     
ni podatka

  Mentions Légales