Siste oppdatering :
17/12/2025
Forskjellig   Baclofen  
Mikstur
Injeksjon Salver
Stabilitet av farmasøytiske preparater Stabilitet i blandinger Faktorer som påvirker stabiliteten Kompatibilitet Referanser pdf
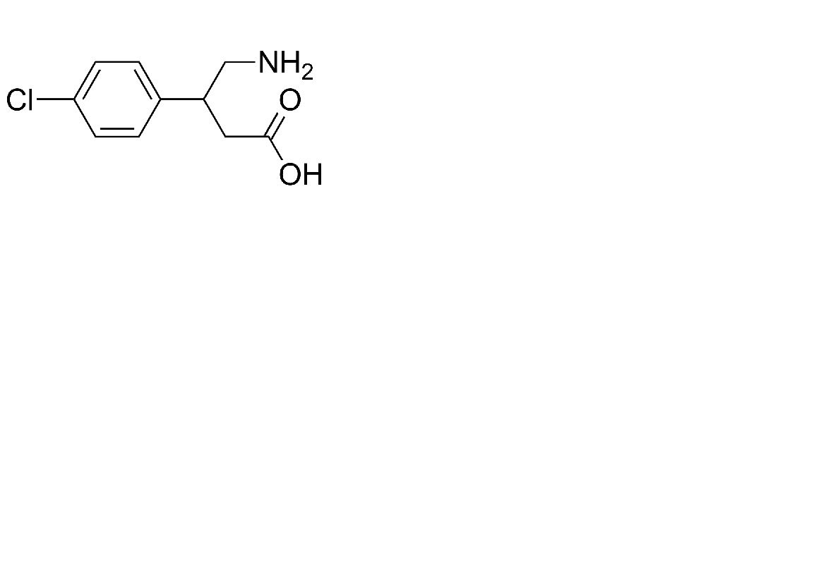
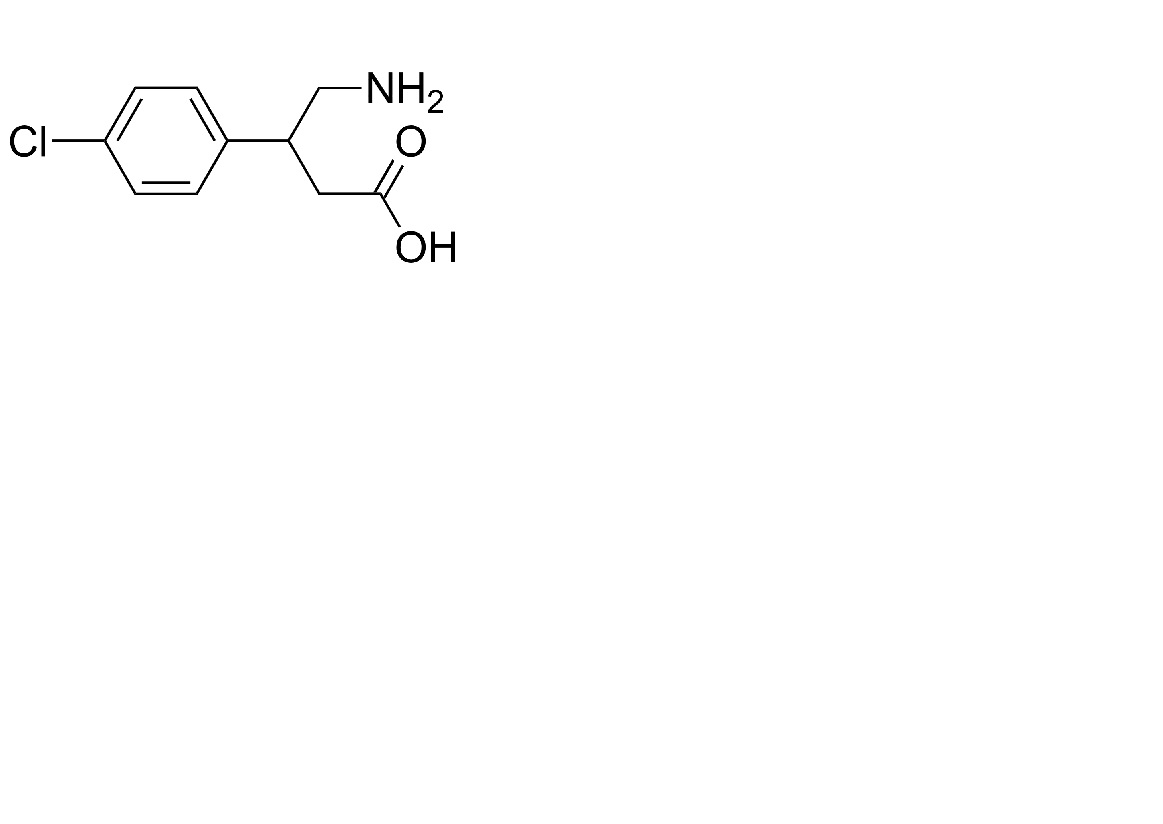
   Kjemisk struktur  

Mikstur
Stabilitet i blandinger   Mikstur   Stabilitet i blandinger : Baclofen     
Ingen opplysninger

  Mentions Légales