Ostatnia aktualizacja :
27/11/2025
Różne   Baclofen  
Roztwór doustny
Injekcje Maści
Stabilność preparatów farmaceutycznych Trwałość w mieszaninie Czynnik wpływający na trwałość Zgodność Bibliografia pdf
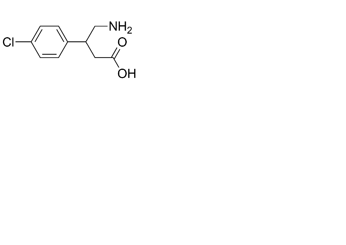
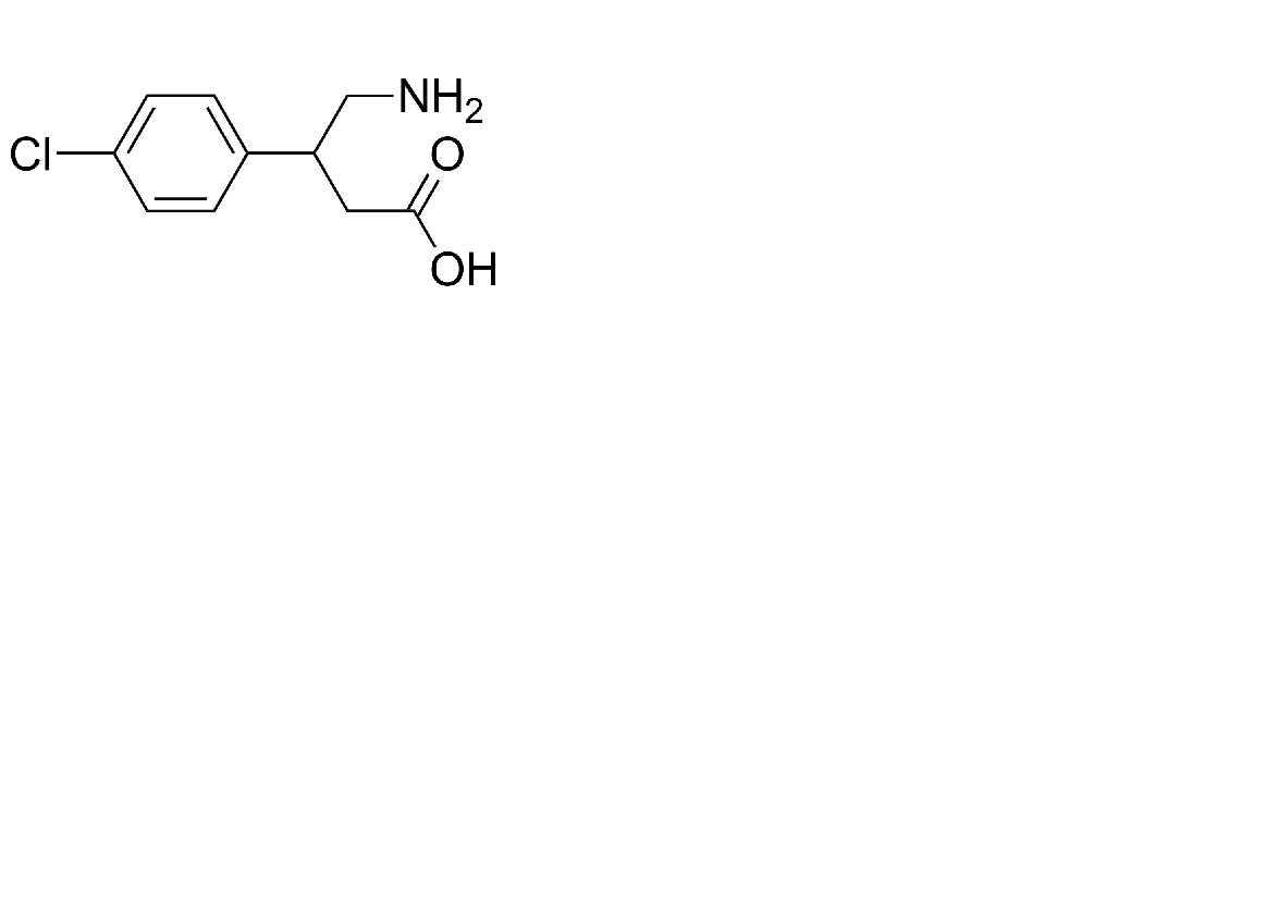
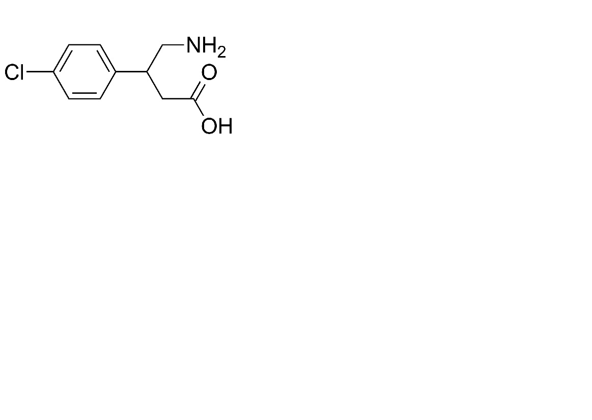
   Struktura chemiczna  

Roztwór doustny
Trwałość w mieszaninie   Roztwór doustny   Trwałość w mieszaninie : Baclofen     
Brak danych

  Mentions Légales