最新更新 :
17/12/2025
其它   Baclofen  
口服剂
注射液 药膏
制剂的稳定性 混合物稳定性 影响稳定性的因素 兼容性 引用文献 PDF
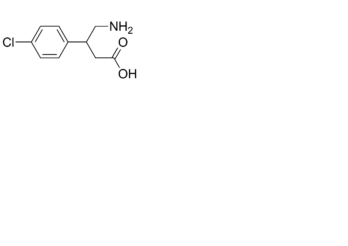
   化学式  

口服剂
混合物稳定性   口服剂   混合物稳定性 : Baclofen     
无数据

  Mentions Légales