Viimeisin päivitys :
17/12/2025
Muut   Baclofen  
Oraaliliuos
Injektioneste Salvat
Vakaus lääkevalmisteen Stabilius seoksissa Tekijät, jotka vaikuttavat stabiliuteen Yhteensopivuus Viitteet pdf
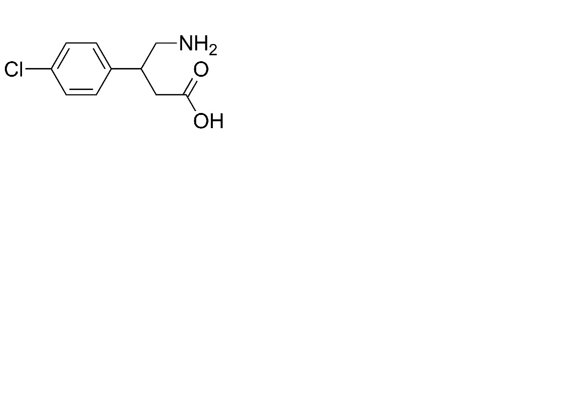
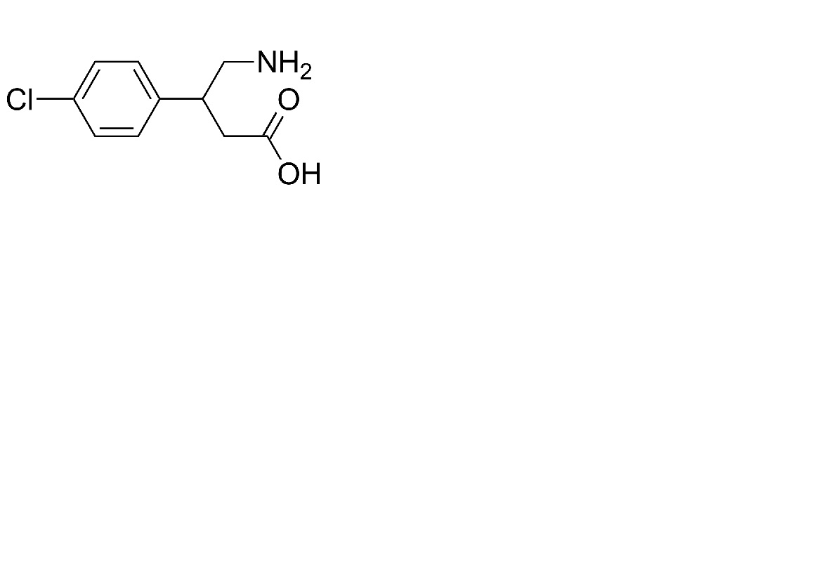
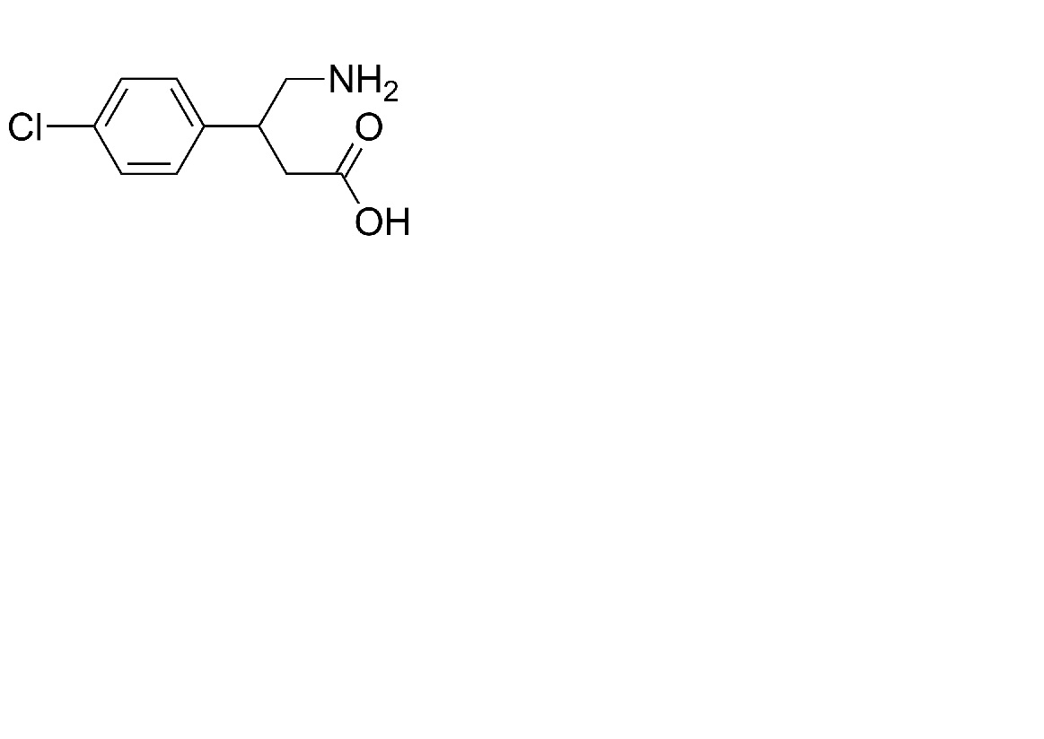
   Kemiallinen rakenne  

Oraaliliuos
Stabilius seoksissa   Oraaliliuos   Stabilius seoksissa : Baclofen     
ei tietoa

  Mentions Légales