最新更新 :
27/11/2025
様々なもの   Baclofen  
経口液
注射薬 軟膏薬
調剤時の安定性 混合時の安定性 安定性に影響する因子 互換性 引用文献 PDF
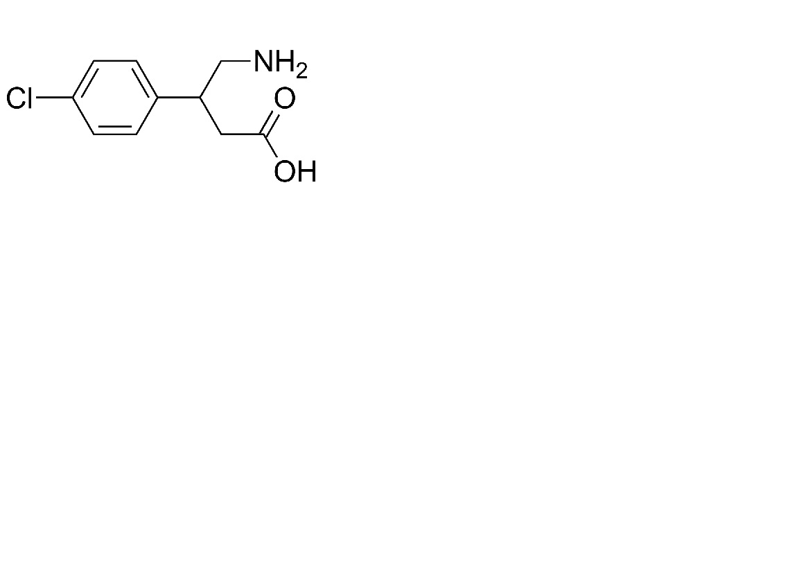
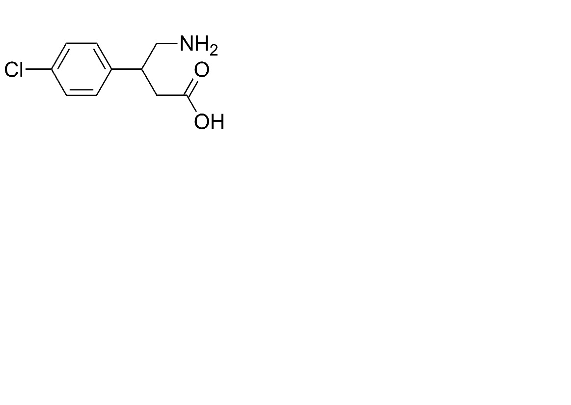
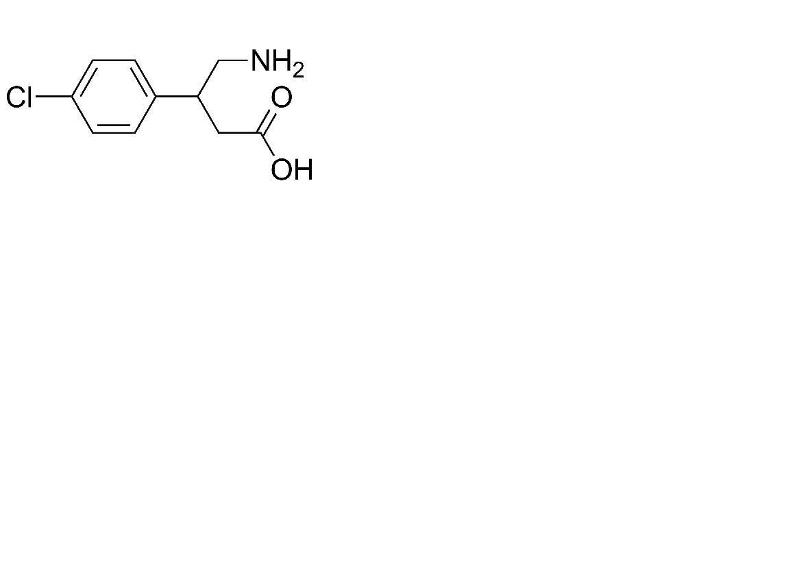
   化学構造  

経口液
混合時の安定性   経口液   混合時の安定性 : Baclofen     
データなし

  Mentions Légales