Poslední aktualizace :
27/11/2025
Įvairūs   Baclofen  
Geriamas tirpalas
Įpurškimas Tepalai
Stabilumas farmacinių preparatų Mišinių stabilumas Stabilumą lemiantys veiksniai Suderinamumas Bibliografija pdf
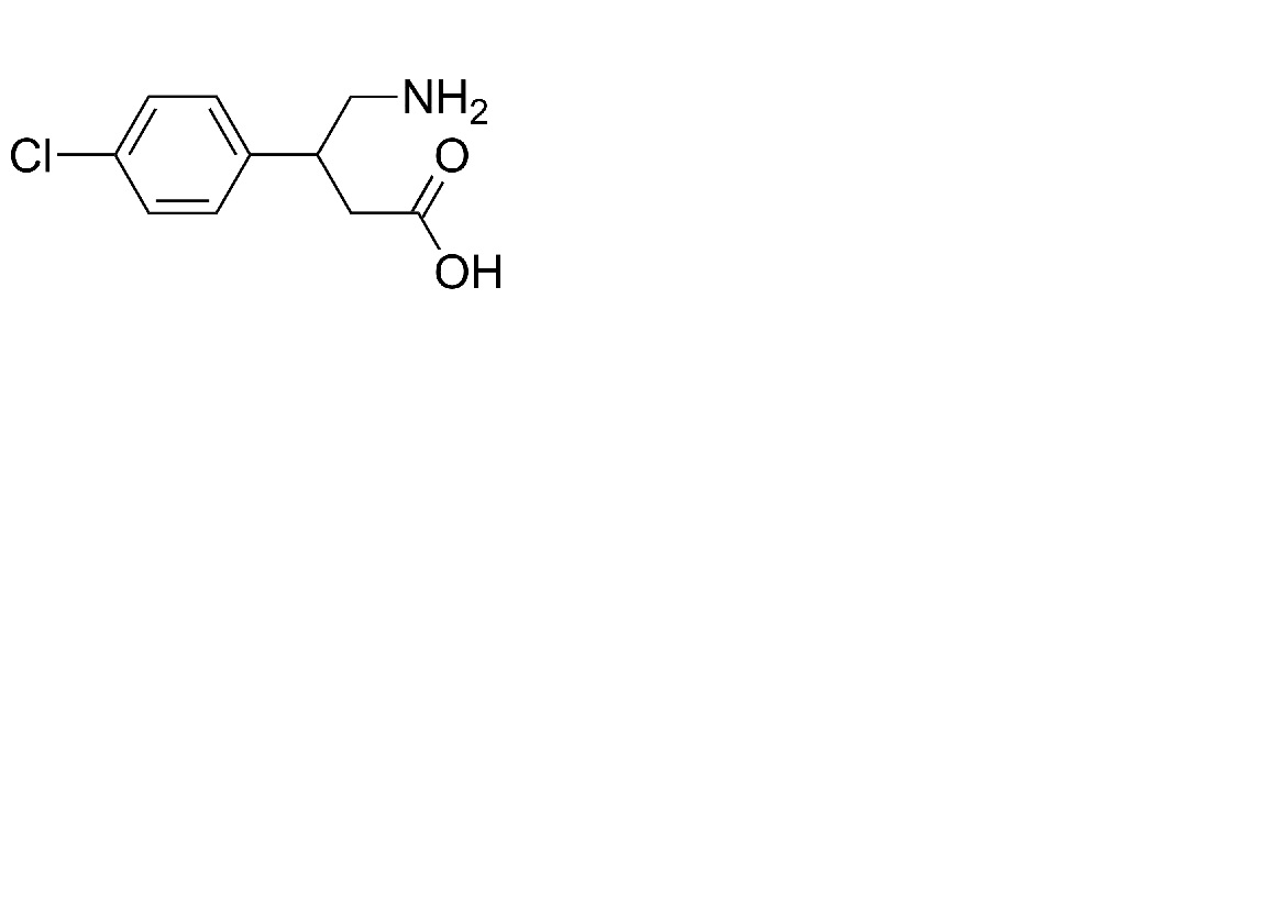
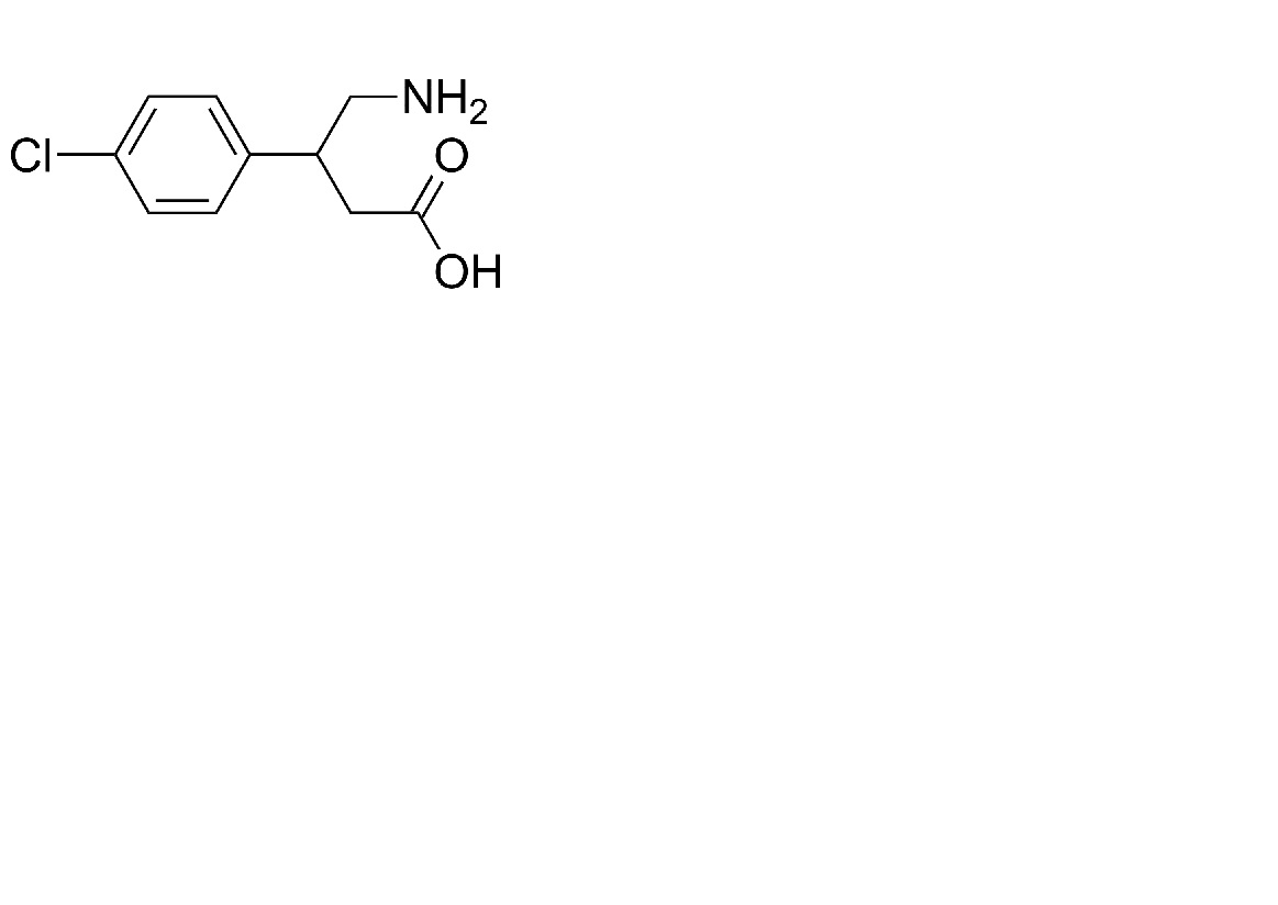
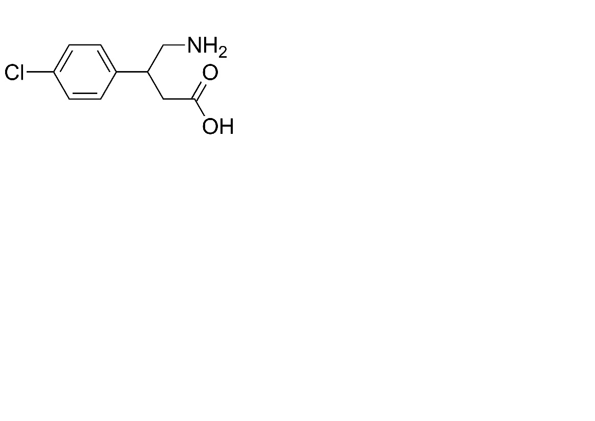
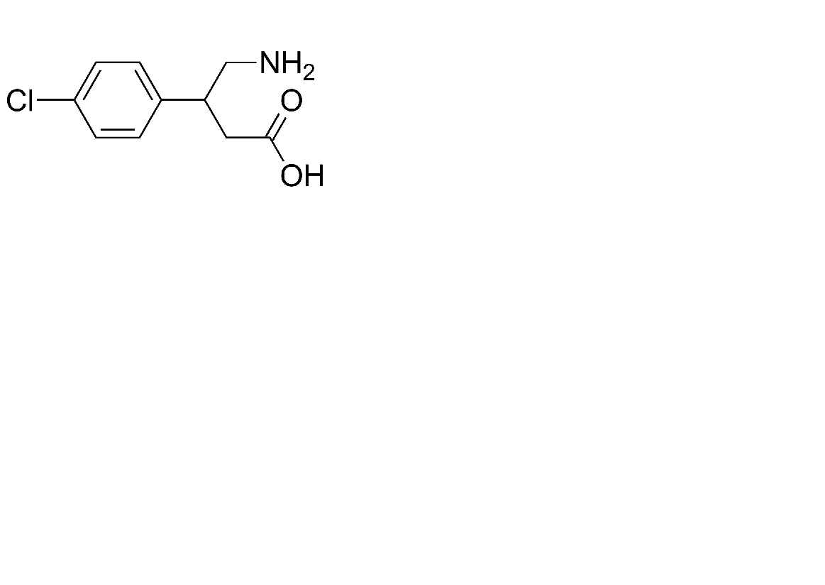
   Cheminė sandara  

Geriamas tirpalas
Mišinių stabilumas   Geriamas tirpalas   Mišinių stabilumas : Baclofen     
Nėra duomenų

  Mentions Légales