Posledná aktualizácia :
17/12/2025
rôzne   Baclofen  
Perorálny roztok
Dermálny prípravok Injekcia
Stabilita farmaceutických prípravkov Stabilita v zmesiach Faktory ovplyvňujúce stabilitu Kompatibility Odkazy na literatúru PDF
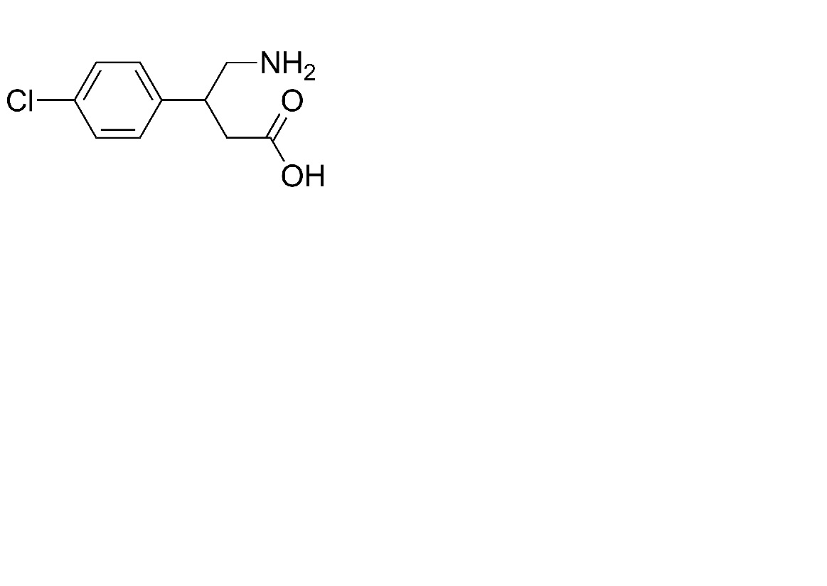
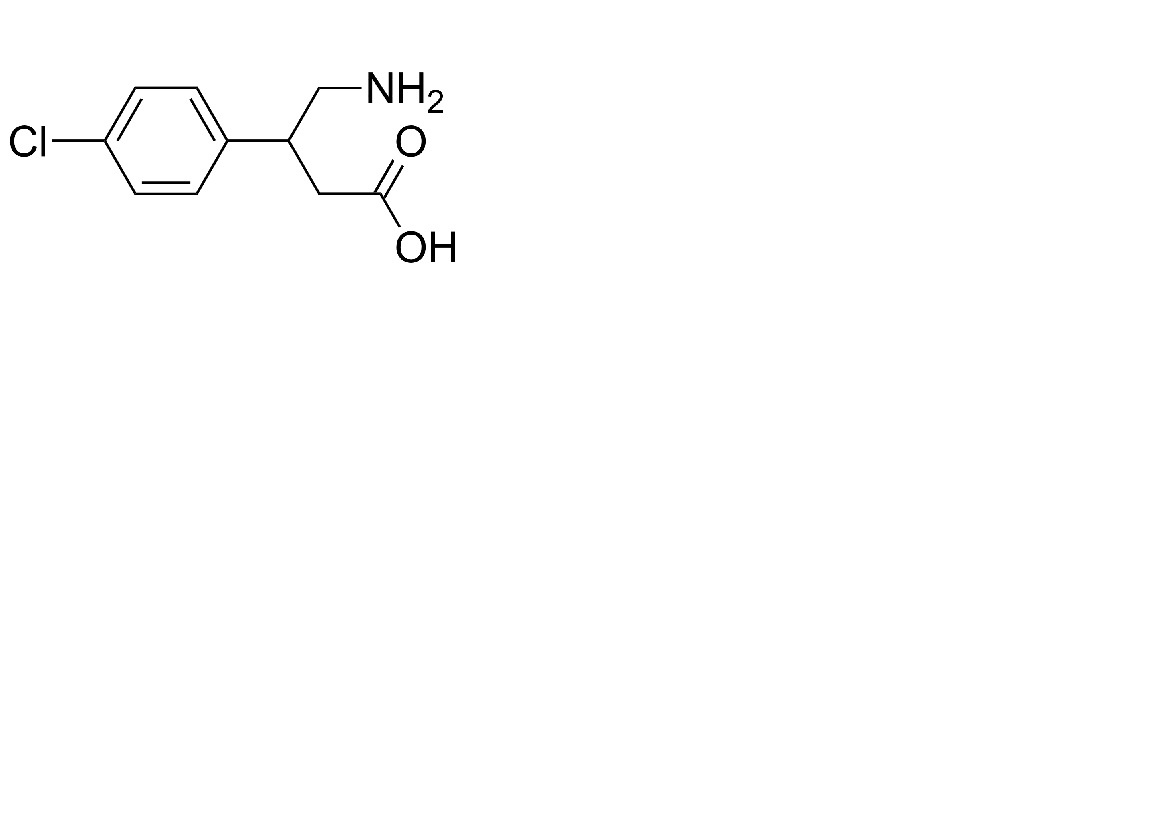
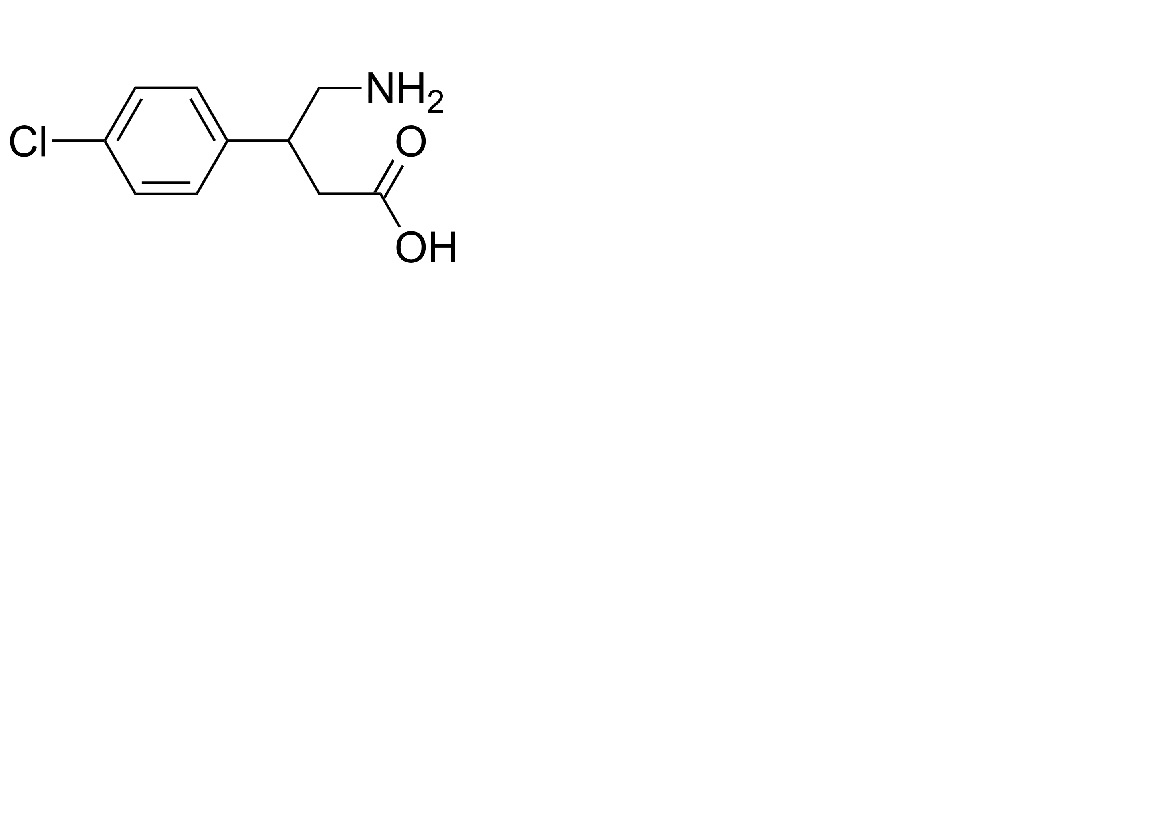
   Chemický vzorec  

Perorálny roztok
Stabilita v zmesiach   Perorálny roztok   Stabilita v zmesiach : Baclofen     
žiadne údaje

  Mentions Légales