آخر تحديث :
17/12/2025
مختلف   Baclofen  
عن طريق الفم
المراهم حقن
استقرار المستحضرات الصيدلانية استقرار مخاليط العوامل التي تؤثر على الاستقرار التوافق مراجع pdf
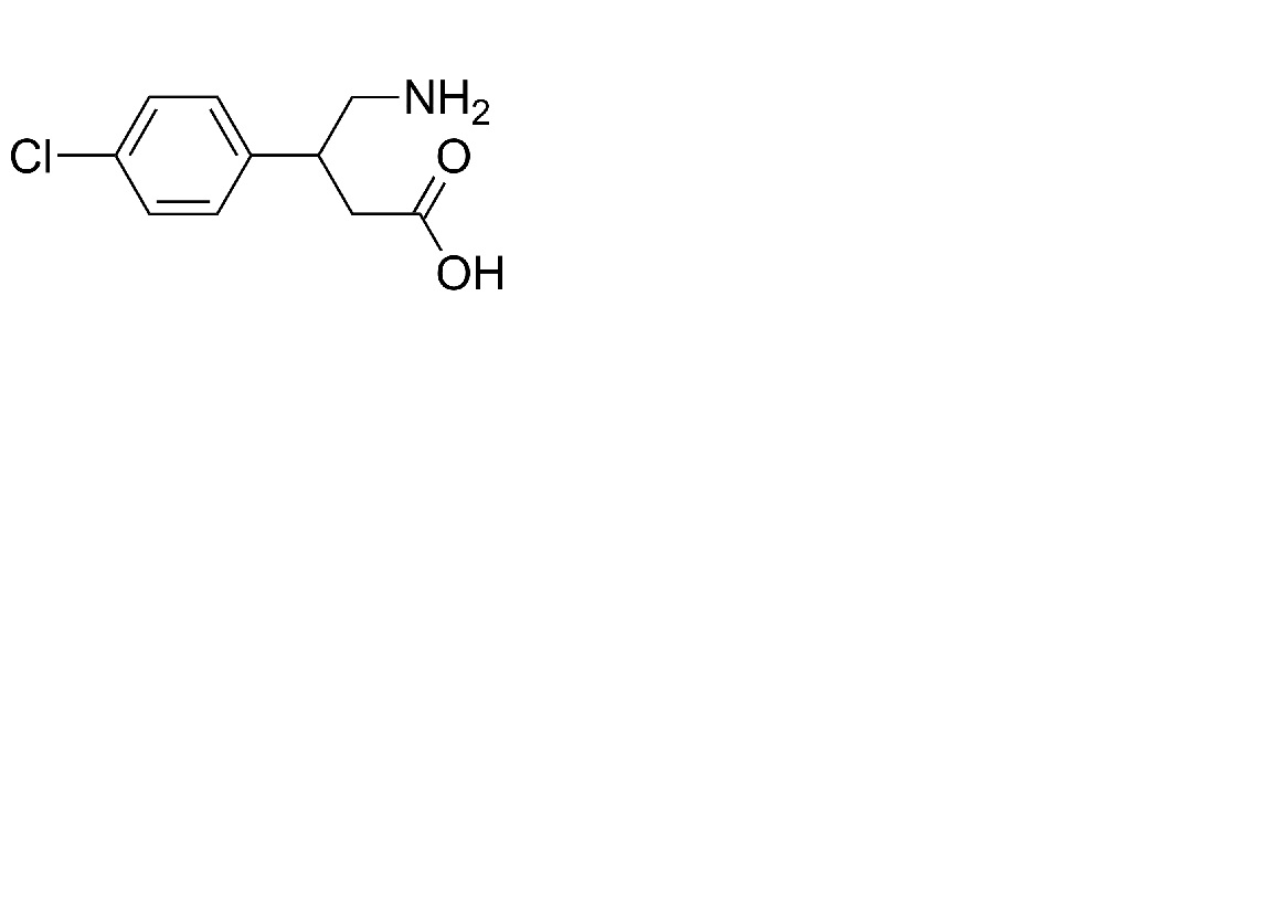
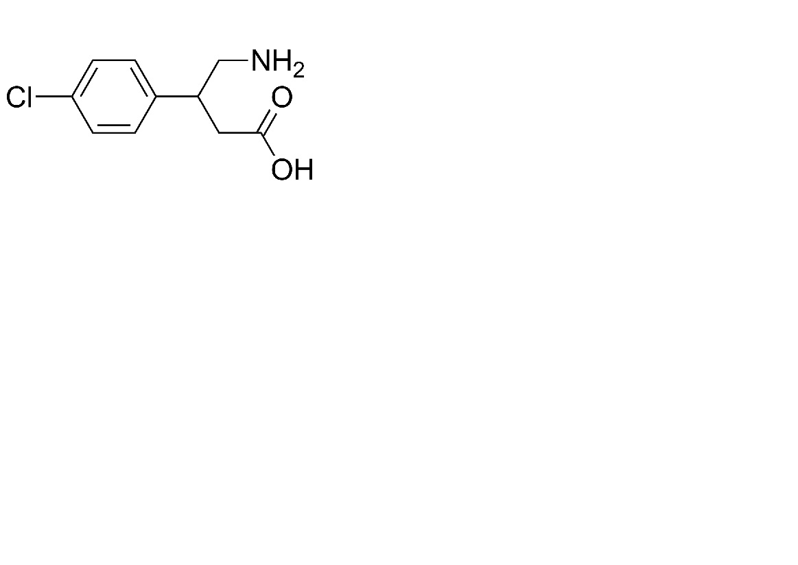
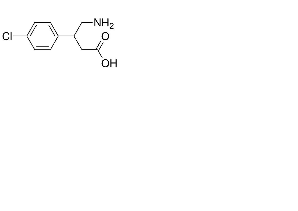
   التركيب الكيميائي  

عن طريق الفم
استقرار مخاليط   عن طريق الفم     استقرار مخاليط : Baclofen     
لا توجد بيانات

  Mentions Légales