Last update :
17/12/2025
Various   Baclofen  
Oral solution
injection Ointments
Stability of pharmaceutical preparations Stability of mixtures Factors which affect stability Compatibility References pdf
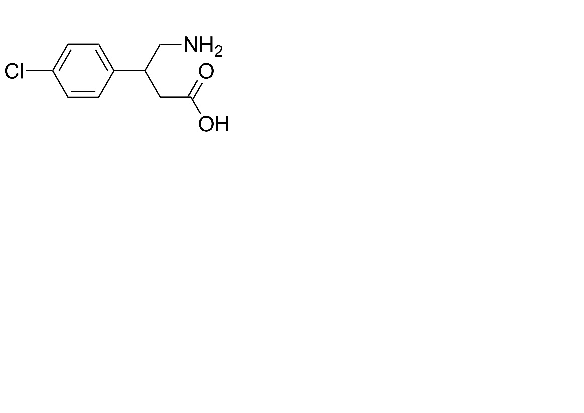
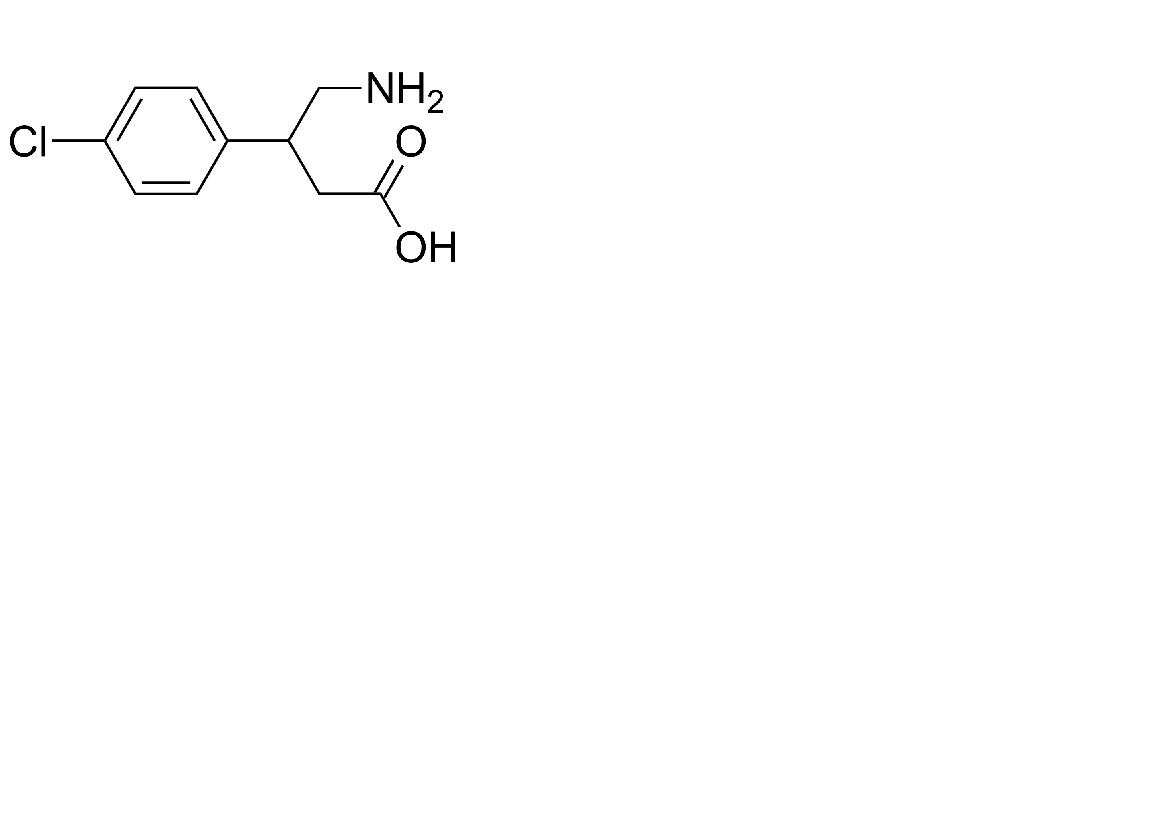
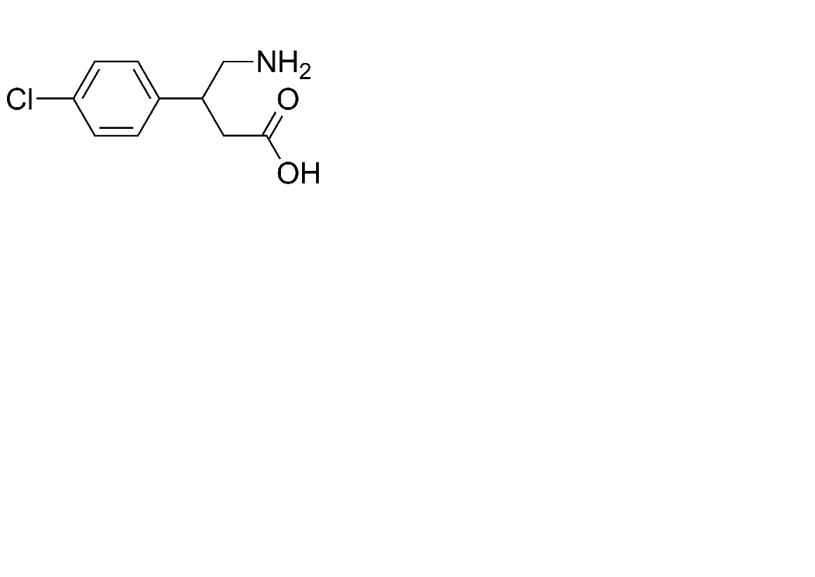
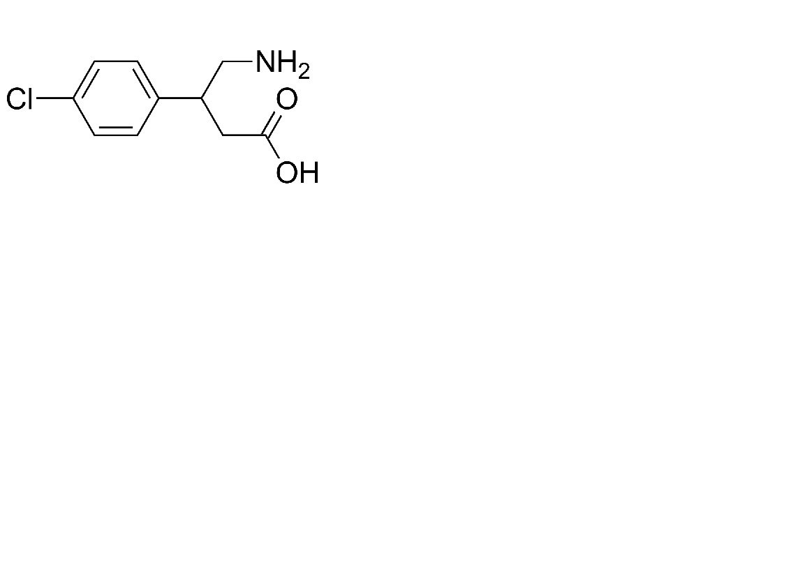
   Chemical structure  

Oral solution
Stability of mixtures   Oral solution   Stability of mixtures : Baclofen     
No data

  Mentions Légales