Последнее обновление :
17/12/2025
Разное   Baclofen  
Раствор для перорального приёма
Инъекция Мази
Стабильность фармацевтических препаратов Стабильность смесей Факторы, которые влияют на стабильность Совместимость Библиография pdf
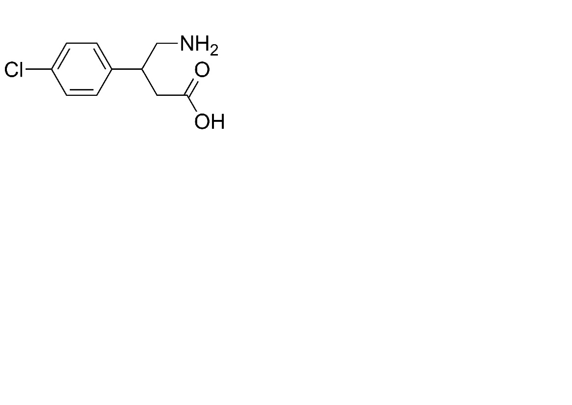
   Химическая структура  

Раствор для перорального приёма
Стабильность смесей   Раствор для перорального приёма   Стабильность смесей : Baclofen     
данных нет

  Mentions Légales