Ultimele actualizari :
17/12/2025
Diverse   Baclofen  
Soluţie orală
Injectabil Unguente
Stabilitatea preparatelor farmaceutice Stabilitatea in amestec Factorii care influenteaza stabilitatea Compatibilitate Bibliografie pdf
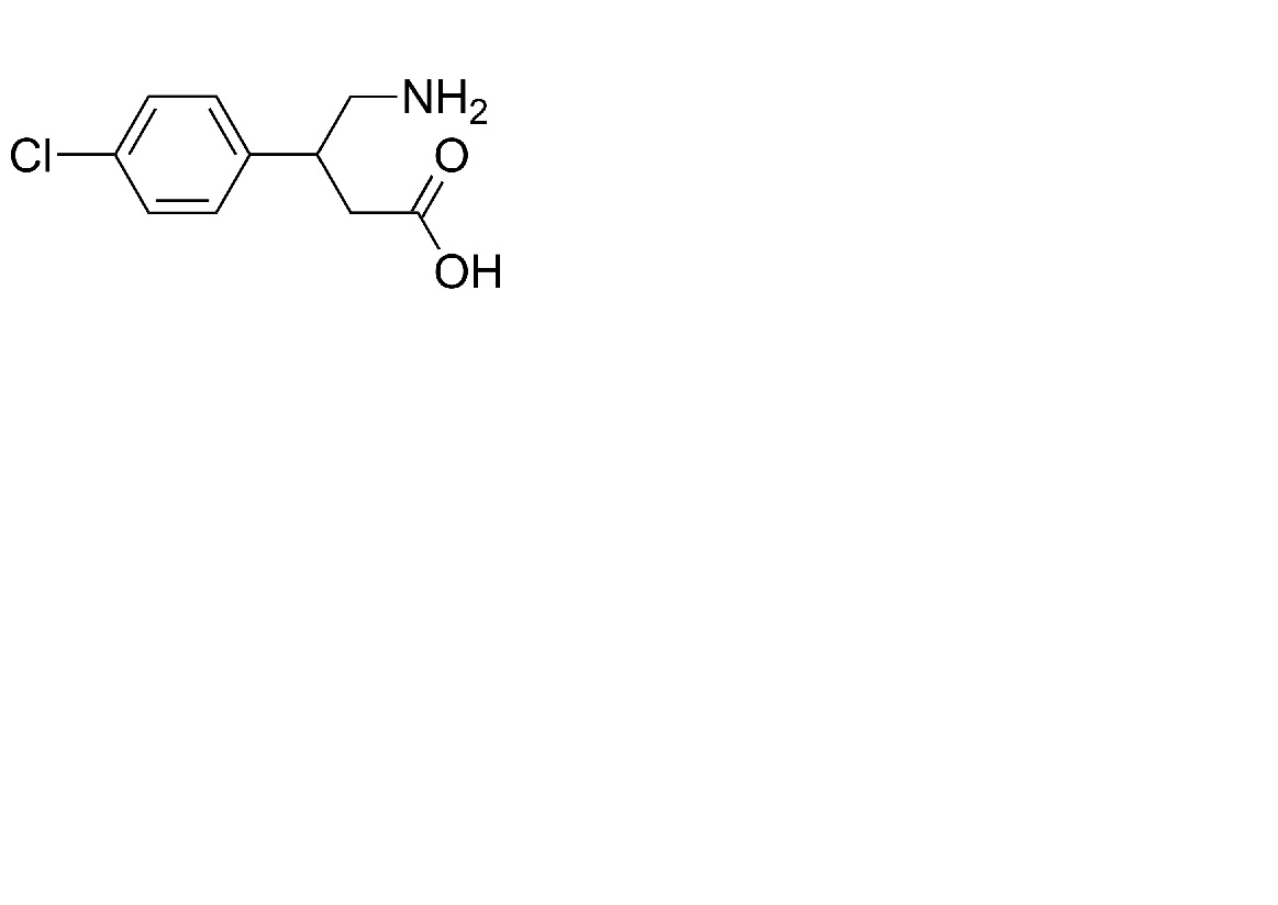
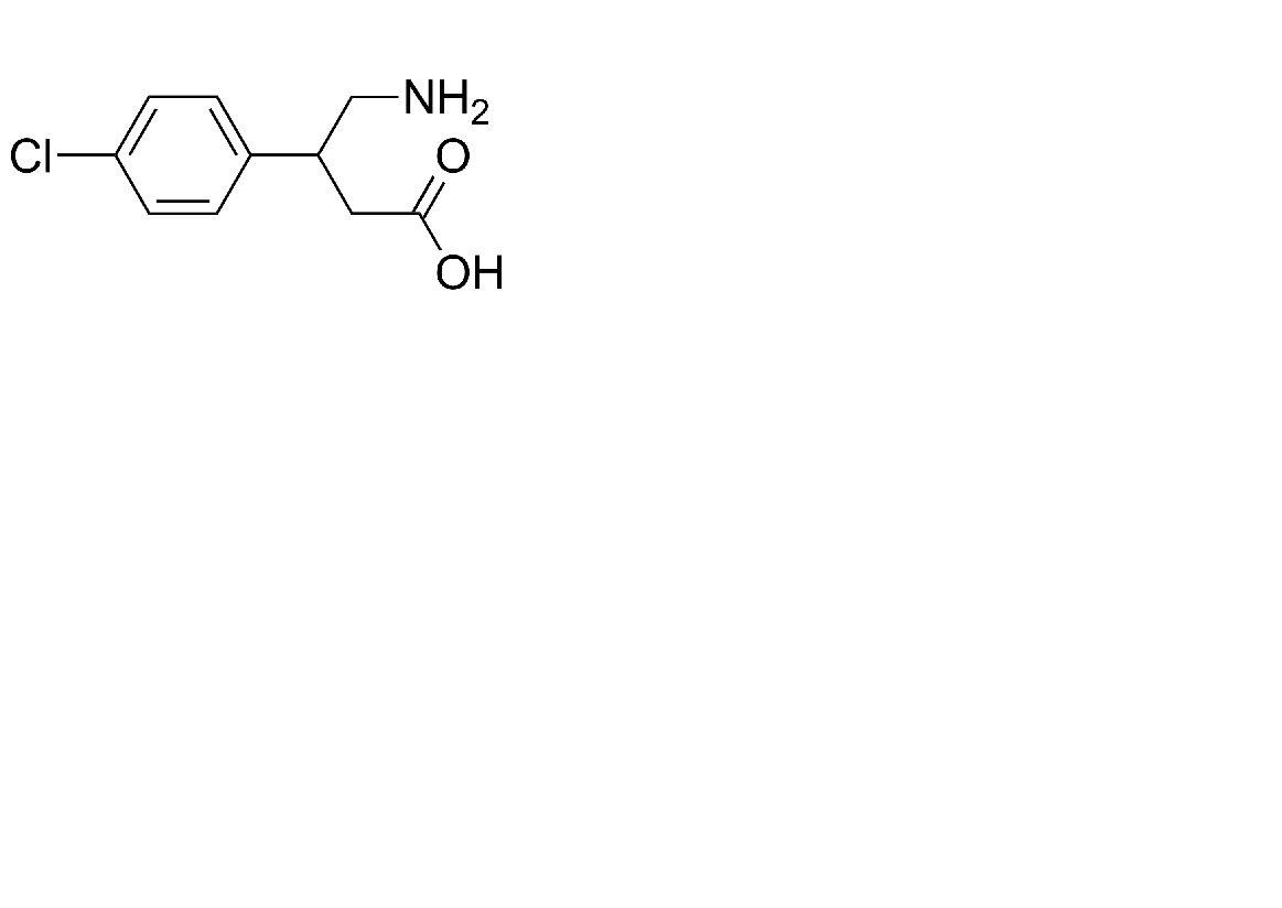
   Formula chimica  

Soluţie orală
Stabilitatea in amestec   Soluţie orală   Stabilitatea in amestec : Baclofen     
Absenta de date

  Mentions Légales