Poslední aktualizace :
17/12/2025
Různé   Baclofen  
Perorální roztok
injekce Masti
Stabilita farmaceutických přípravků Stabilita směsí Faktory ovlivňující stabilitu Kompatibilita Odkazy pdf
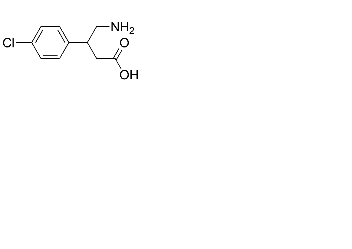
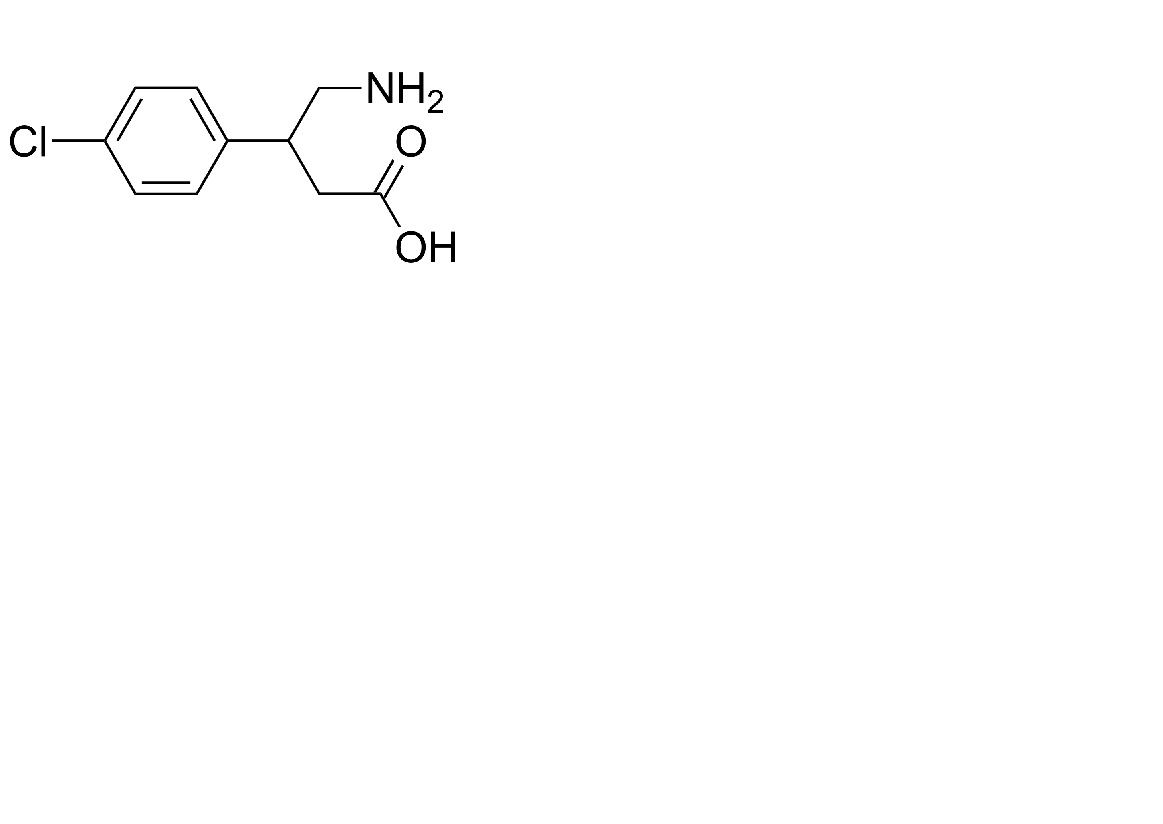
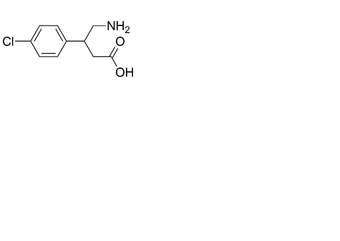
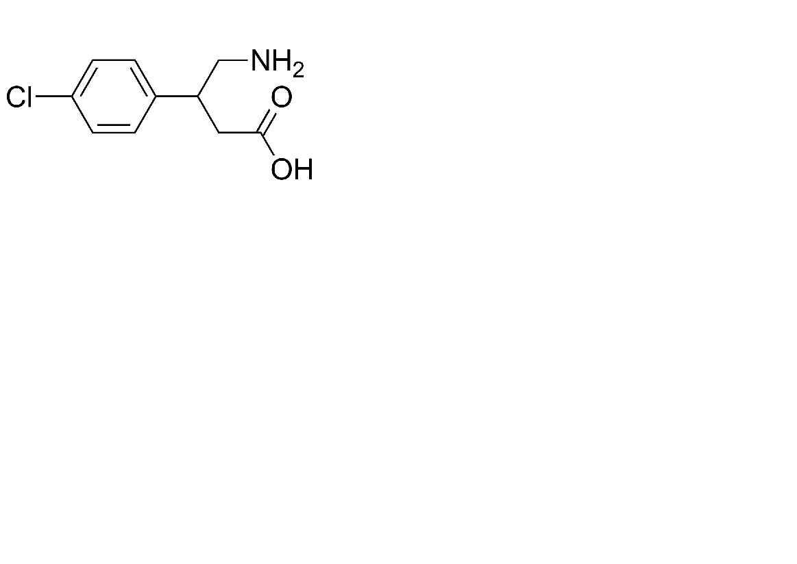
   Chemický vzorec  

Perorální roztok
Stabilita směsí   Perorální roztok   Stabilita směsí : Baclofen     
žádná data

  Mentions Légales