Senaste uppdateringen :
17/12/2025
cancerläkemedel   Cyclophosphamide  
injektion
Kapsel Oral lösning
Lösningars stabilitet Stabilitet i blandningar Faktorer som påverkar stabiliteten Kompatibilitet Administreringssätt Hänvisningar pdf
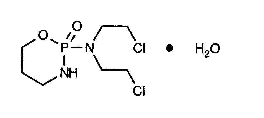
   Molekylstruktur  

Varunamn   Varunamn     

Angivna handelsnamn på läkemedel är enbart vägledande då formulering inklusive hjälpämnen kan variera mellan länder och tillverkare

Alkyloxan Egypten, Malaysia
Celomide Indien
Ciclofosfamida Argentina, Chile, Rumänien
Cicloxal Spanien
Cryofaxol Mexiko
Cycloblastin Australien
Cycloblastine Nederländerna
Cyclophosphamid Danmark, Tyskland
Cyclophosphamide Förenta Staterna, nya Zeeland, Saudi-Arabien, Storbritannien
Cyclostin Tyskland
Cycloxan Malaysia
Cycram Egypten
Cytoxan Förenta Staterna, Kanada, Ungern
Eldamide Indien
Endoxan Australien, Belgien, Chile, Colombia, Ecuador, Förenade Arabemiraten, Frankrike, Grekland, Indien, Iran, Italien, Kroatien, Luxemburg, Marocko, Nederländerna, nya Zeeland, Österrike, Polen, Portugal, Saudi-Arabien, Schweiz, Slovenien, Thailand, Tunisien, Turkiet, Tyskland, Ungern, Venezuela
Endoxana Irland, Storbritannien
Formitex Colombia, Mexiko
Genoxal Spanien
Genuxal Brasilien
Hidrofosmin Mexiko
Ledoxan Colombia
Ledoxina Colombia, Mexiko
Neophos Egypten
Neosar Förenta Staterna
Procytox Kanada
Sendoxan Danmark, Finland, Island, Norge, Sverige
Syklofosfamid Finland, Turkiet
Lösningars stabilitet   injektion   Lösningars stabilitet : Cyclophosphamide     
Behållare Lösningsmedel Koncentration Temperatur Förvaring Stabilitets varaktighet Hänvisningar
Glas Vatten för injektion 20 mg/ml 24-27°C Ej angiven
4 Dag
1728
Evidensnivå B

Glas Vatten för injektion 20 mg/ml 4°C Skyddas från ljus
7 Dag
172
Evidensnivå A

Glas Vatten för injektion 20 mg/ml 5°C Skyddas från ljus
14 Dag
1728
Evidensnivå B

Glas Natriumklorid 0,9 % 0,4 mg/ml 2-8°C Skyddas från ljus
14 Dag
1728
Evidensnivå B

Glas Natriumklorid 0,9 % 0,4 mg/ml 21-25°C Ej angiven
6 Dag
1728
Evidensnivå B

Glas Natriumklorid 0,9 % 1 mg/ml 25°C Skyddas från ljus
7 Dag
172
Evidensnivå A

Glas Natriumklorid 0,9 % 1 mg/ml 4°C Skyddas från ljus
7 Dag
172
Evidensnivå A

Glas Glukos 5 % 1 mg/ml 25°C Skyddas från ljus
7 Dag
172
Evidensnivå A

Glas Glukos 5 % 1 mg/ml 4°C Skyddas från ljus
7 Dag
172
Evidensnivå A

Polyvinylklorid Vatten för injektion 20 mg/ml 4°C Skyddas från ljus
7 Dag
172
Evidensnivå A

Polyvinylklorid Natriumklorid 0,9 % 1 mg/ml 25°C Skyddas från ljus
7 Dag
172
Evidensnivå A

Polyvinylklorid Natriumklorid 0,9 % 1 mg/ml 4°C Skyddas från ljus
7 Dag
172
Evidensnivå A

Polyvinylklorid Natriumklorid 0,9 % 10 mg/ml 4°C Skyddas från ljus
30 Dag
40
Evidensnivå D

Polyvinylklorid Glukos 5 % 1 mg/ml 25°C Skyddas från ljus
2 Dag
172
Evidensnivå A

Polyvinylklorid Glukos 5 % 1 mg/ml 4°C Skyddas från ljus
7 Dag
172
Evidensnivå A

Polyvinylklorid Glukos 5 % 10 mg/ml 4°C Skyddas från ljus
30 Dag
40
Evidensnivå D

Polyetylen Natriumklorid 0,9 % 0,24 & 6,4 mg/ml 25°C Skyddas från ljus
7 Dag
1520
Tillverkarens stabilitetsuppgifter

Polyetylen Glukos 5 % 0,24 & 6,4 mg/ml 25°C Skyddas från ljus
7 Dag
1520
Tillverkarens stabilitetsuppgifter

Polyolefin Natriumklorid 0,9 % 2 mg/ml 2-8°C Skyddas från ljus
5 Dag
4989
Tillverkarens stabilitetsuppgifter

Polyolefin Natriumklorid 0,9 % 2 mg/ml 25°C Ljus
60 Timma
4989
Tillverkarens stabilitetsuppgifter

Polyolefin Natriumklorid 0,9 % 20 mg/ml 2-8°C Skyddas från ljus
6 Dag
4989
Tillverkarens stabilitetsuppgifter

Polyolefin Natriumklorid 0,9 % 20 mg/ml 25°C Ljus
24 Timma
4989
Tillverkarens stabilitetsuppgifter

Polyolefin Glukos 5 % 2 mg/ml 2-8°C Skyddas från ljus
6 Dag
4989
Tillverkarens stabilitetsuppgifter

Polyolefin Glukos 5 % 2 mg/ml 25°C Ljus
60 Timma
4989
Tillverkarens stabilitetsuppgifter

Polyolefin Glukos 5 % 20 mg/ml 2-8°C Skyddas från ljus
3 Dag
4989
Tillverkarens stabilitetsuppgifter

Polyolefin Glukos 5 % 20 mg/ml 25°C Ljus
24 Timma
4989
Tillverkarens stabilitetsuppgifter

Ej angiven Natriumklorid 0,9 % 20 mg/ml 2-8°C Ej angiven
6 Dag
4865
Tillverkarens stabilitetsuppgifter

Ej angiven Natriumklorid 0,9 % 20 mg/ml 25°C Ej angiven
24 Timma
4865
Tillverkarens stabilitetsuppgifter

Ej angiven Glukos 5 % 2 mg/ml 2-8°C Ej angiven
36 Timma
4865
Tillverkarens stabilitetsuppgifter

Ej angiven Glukos 5 % 2 mg/ml 25°C Ej angiven
24 Timma
4865
Tillverkarens stabilitetsuppgifter

Ej angiven Natriumklorid 0,45 % 2 mg/ml 2-8°C Ej angiven
6 Dag
4865
Tillverkarens stabilitetsuppgifter

Ej angiven Natriumklorid 0,45 % 2 mg/ml 25°C Ej angiven
24 Timma
4865
Tillverkarens stabilitetsuppgifter


  Mentions Légales