Posledná aktualizácia :
17/12/2025
Protinádorová liečba   Cyclophosphamide  
Injekcia
Kapsula Perorálny roztok
Stabilita roztokov Stabilita v zmesiach Faktory ovplyvňujúce stabilitu Kompatibility spôsob podania Odkazy na literatúru PDF
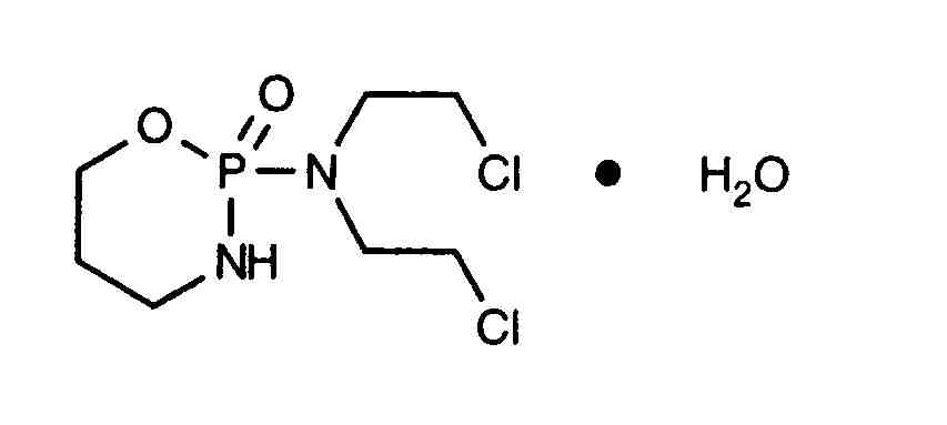
   Chemický vzorec  

Obchodný názov   Obchodný názov     

Obchodné názvy sú orientačné, a zloženie pomocných látok sa môže líšiť v závislosti od krajiny a výrobcu.

Alkyloxan Egypt, Malajzia
Celomide India
Ciclofosfamida Argentína, Čile, Rumunsko
Cicloxal Španielsko
Cryofaxol Mexiko
Cycloblastin Austrália
Cycloblastine Holandsko
Cyclophosphamid Dánsko, Nemecko
Cyclophosphamide nový Zéland, Saudská Arábia, Spojené štáty Americké, Veľká Británia
Cyclostin Nemecko
Cycloxan Malajzia
Cycram Egypt
Cytoxan Kanada, Maďarsko, Spojené štáty Americké
Eldamide India
Endoxan Austrália, Belgicko, Chorvátsko, Čile, Ekvádor, Francúzsko, Grécko, Holandsko, India, Irán, Kolumbia, Luxembursko, Maďarsko, Maroko, Nemecko, nový Zéland, Poľsko, Portugalsko, Rakúsko, Saudská Arábia, Slovinsko, Spojené arabské emiráty, Švajčiarsko, Taliansko, Thajsko, Tunisko, Turecko, Venezuela
Endoxana Írsko, Veľká Británia
Formitex Kolumbia, Mexiko
Genoxal Španielsko
Genuxal Brazília
Hidrofosmin Mexiko
Ledoxan Kolumbia
Ledoxina Kolumbia, Mexiko
Neophos Egypt
Neosar Spojené štáty Americké
Procytox Kanada
Sendoxan Dánsko, Fínsko, Island, Nórsko, Švédsko
Syklofosfamid Fínsko, Turecko
Stabilita roztokov   Injekcia   Stabilita roztokov : Cyclophosphamide     
obal rozpúšťadlo koncentrácia teplota uchovávanie Trvanie stability odkazy na lieteratúru
Sklo voda na injekciu 20 mg/ml 24-27°C nešpecifikované
4 dní
1728
Úroveň dôkazov B

Sklo voda na injekciu 20 mg/ml 4°C Chránené pred svetlom
7 dní
172
Úroveň dôkazov A

Sklo voda na injekciu 20 mg/ml 5°C Chránené pred svetlom
14 dní
1728
Úroveň dôkazov B

Sklo 0,9% chlorid sodný 0,4 mg/ml 2-8°C Chránené pred svetlom
14 dní
1728
Úroveň dôkazov B

Sklo 0,9% chlorid sodný 0,4 mg/ml 21-25°C nešpecifikované
6 dní
1728
Úroveň dôkazov B

Sklo 0,9% chlorid sodný 1 mg/ml 25°C Chránené pred svetlom
7 dní
172
Úroveň dôkazov A

Sklo 0,9% chlorid sodný 1 mg/ml 4°C Chránené pred svetlom
7 dní
172
Úroveň dôkazov A

Sklo 5% glukóza 1 mg/ml 25°C Chránené pred svetlom
7 dní
172
Úroveň dôkazov A

Sklo 5% glukóza 1 mg/ml 4°C Chránené pred svetlom
7 dní
172
Úroveň dôkazov A

polyvinylchlorid (PVC) voda na injekciu 20 mg/ml 4°C Chránené pred svetlom
7 dní
172
Úroveň dôkazov A

polyvinylchlorid (PVC) 0,9% chlorid sodný 1 mg/ml 25°C Chránené pred svetlom
7 dní
172
Úroveň dôkazov A

polyvinylchlorid (PVC) 0,9% chlorid sodný 1 mg/ml 4°C Chránené pred svetlom
7 dní
172
Úroveň dôkazov A

polyvinylchlorid (PVC) 0,9% chlorid sodný 10 mg/ml 4°C Chránené pred svetlom
30 dní
40
Úroveň dôkazov D

polyvinylchlorid (PVC) 5% glukóza 1 mg/ml 25°C Chránené pred svetlom
2 dní
172
Úroveň dôkazov A

polyvinylchlorid (PVC) 5% glukóza 1 mg/ml 4°C Chránené pred svetlom
7 dní
172
Úroveň dôkazov A

polyvinylchlorid (PVC) 5% glukóza 10 mg/ml 4°C Chránené pred svetlom
30 dní
40
Úroveň dôkazov D

polyetylén 0,9% chlorid sodný 0,24 & 6,4 mg/ml 25°C Chránené pred svetlom
7 dní
1520
Údaje o stabilite od výrobcu

polyetylén 5% glukóza 0,24 & 6,4 mg/ml 25°C Chránené pred svetlom
7 dní
1520
Údaje o stabilite od výrobcu

polyolefín 0,9% chlorid sodný 2 mg/ml 2-8°C Chránené pred svetlom
5 dní
4989
Údaje o stabilite od výrobcu

polyolefín 0,9% chlorid sodný 2 mg/ml 25°C Za svetla
60 hodín
4989
Údaje o stabilite od výrobcu

polyolefín 0,9% chlorid sodný 20 mg/ml 2-8°C Chránené pred svetlom
6 dní
4989
Údaje o stabilite od výrobcu

polyolefín 0,9% chlorid sodný 20 mg/ml 25°C Za svetla
24 hodín
4989
Údaje o stabilite od výrobcu

polyolefín 5% glukóza 2 mg/ml 2-8°C Chránené pred svetlom
6 dní
4989
Údaje o stabilite od výrobcu

polyolefín 5% glukóza 2 mg/ml 25°C Za svetla
60 hodín
4989
Údaje o stabilite od výrobcu

polyolefín 5% glukóza 20 mg/ml 2-8°C Chránené pred svetlom
3 dní
4989
Údaje o stabilite od výrobcu

polyolefín 5% glukóza 20 mg/ml 25°C Za svetla
24 hodín
4989
Údaje o stabilite od výrobcu

nešpecifikované 0,9% chlorid sodný 20 mg/ml 2-8°C nešpecifikované
6 dní
4865
Údaje o stabilite od výrobcu

nešpecifikované 0,9% chlorid sodný 20 mg/ml 25°C nešpecifikované
24 hodín
4865
Údaje o stabilite od výrobcu

nešpecifikované 5% glukóza 2 mg/ml 2-8°C nešpecifikované
36 hodín
4865
Údaje o stabilite od výrobcu

nešpecifikované 5% glukóza 2 mg/ml 25°C nešpecifikované
24 hodín
4865
Údaje o stabilite od výrobcu

nešpecifikované 0,45 % chlorid sodný 2 mg/ml 2-8°C nešpecifikované
6 dní
4865
Údaje o stabilite od výrobcu

nešpecifikované 0,45 % chlorid sodný 2 mg/ml 25°C nešpecifikované
24 hodín
4865
Údaje o stabilite od výrobcu


  Mentions Légales