Letztes “update” :
17/12/2025
Antikrebsmittel   Cyclophosphamide  
Injektion
Kapsel (Singular !) Lösung zum Einnehmen
Stabilität der Lösung Gemengestabilität Stabilitätbeeinflussende Faktoren Kompatibilitäten Applikationsart Literaturverzeichnis pdf
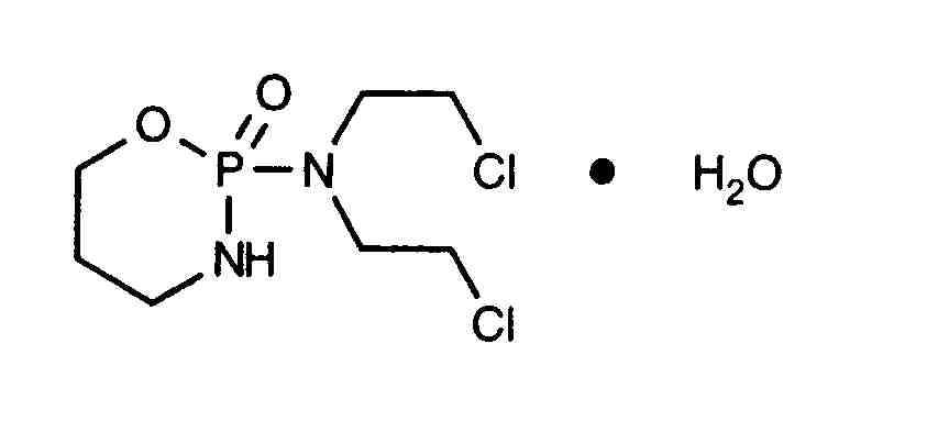
   Chemische Struktur  

Handelsmarke   Handelsmarke     

Handelsnamen sind als beispielhaft anzusehen. Sonstige Bestandteile können je nach Hersteller oder Land verschieden sein

Alkyloxan Ägypten, Malaysia
Celomide Indien
Ciclofosfamida Argentinien, Chile, Rumänien
Cicloxal Spanien
Cryofaxol Mexiko
Cycloblastin Australien
Cycloblastine Niederlande
Cyclophosphamid Dänemark, Deutschland
Cyclophosphamide Großbritannien, Neuseeland, Saudi-Arabien, Vereinigte Staaten von Amerika
Cyclostin Deutschland
Cycloxan Malaysia
Cycram Ägypten
Cytoxan Kanada, Ungarn, Vereinigte Staaten von Amerika
Eldamide Indien
Endoxan Australien, Belgien, Chile, Deutschland, Ecuador, Frankreich, Griechenland, Indien, Iran, Italien, Kolumbien, Kroatien, Luxemburg, Marokko, Neuseeland, Niederlande, Österreich, Polen, Portugal, Saudi-Arabien, Schweiz, Slowenien, Thailand, Tunesien, Türkei, Ungarn, Venezuela, Vereinigte Arabische Emirate
Endoxana Großbritannien, Irland
Formitex Kolumbien, Mexiko
Genoxal Spanien
Genuxal Brasilien
Hidrofosmin Mexiko
Ledoxan Kolumbien
Ledoxina Kolumbien, Mexiko
Neophos Ägypten
Neosar Vereinigte Staaten von Amerika
Procytox Kanada
Sendoxan Dänemark, Finnland, Island, Norwegen, Schweden
Syklofosfamid Finnland, Türkei
Stabilität der Lösung   Injektion   Stabilität der Lösung : Cyclophosphamide     
Behälter Lösungsmittel Konzentration Temperatur Konservierung Dauer der Stabilität Literaturverzeichnis
Glas Wasser für injektable präparate 20 mg/ml 24-27°C Nicht genau angegeben
4 Tag
1728
Evidenzgrad B

Glas Wasser für injektable präparate 20 mg/ml 4°C Ohne Licht
7 Tag
172
Evidenzgrad A

Glas Wasser für injektable präparate 20 mg/ml 5°C Ohne Licht
14 Tag
1728
Evidenzgrad B

Glas 0,9% Natriumchlorid 0,4 mg/ml 2-8°C Ohne Licht
14 Tag
1728
Evidenzgrad B

Glas 0,9% Natriumchlorid 0,4 mg/ml 21-25°C Nicht genau angegeben
6 Tag
1728
Evidenzgrad B

Glas 0,9% Natriumchlorid 1 mg/ml 25°C Ohne Licht
7 Tag
172
Evidenzgrad A

Glas 0,9% Natriumchlorid 1 mg/ml 4°C Ohne Licht
7 Tag
172
Evidenzgrad A

Glas 5% Glucose 1 mg/ml 25°C Ohne Licht
7 Tag
172
Evidenzgrad A

Glas 5% Glucose 1 mg/ml 4°C Ohne Licht
7 Tag
172
Evidenzgrad A

Polyvinylchlorid Wasser für injektable präparate 20 mg/ml 4°C Ohne Licht
7 Tag
172
Evidenzgrad A

Polyvinylchlorid 0,9% Natriumchlorid 1 mg/ml 25°C Ohne Licht
7 Tag
172
Evidenzgrad A

Polyvinylchlorid 0,9% Natriumchlorid 1 mg/ml 4°C Ohne Licht
7 Tag
172
Evidenzgrad A

Polyvinylchlorid 0,9% Natriumchlorid 10 mg/ml 4°C Ohne Licht
30 Tag
40
Evidenzgrad D

Polyvinylchlorid 5% Glucose 1 mg/ml 25°C Ohne Licht
2 Tag
172
Evidenzgrad A

Polyvinylchlorid 5% Glucose 1 mg/ml 4°C Ohne Licht
7 Tag
172
Evidenzgrad A

Polyvinylchlorid 5% Glucose 10 mg/ml 4°C Ohne Licht
30 Tag
40
Evidenzgrad D

Polyäthylen 0,9% Natriumchlorid 0,24 & 6,4 mg/ml 25°C Ohne Licht
7 Tag
1520
Stabilitätsdaten des Herstellers

Polyäthylen 5% Glucose 0,24 & 6,4 mg/ml 25°C Ohne Licht
7 Tag
1520
Stabilitätsdaten des Herstellers

Polyolefin 0,9% Natriumchlorid 2 mg/ml 2-8°C Ohne Licht
5 Tag
4989
Stabilitätsdaten des Herstellers

Polyolefin 0,9% Natriumchlorid 2 mg/ml 25°C Licht
60 Stunde
4989
Stabilitätsdaten des Herstellers

Polyolefin 0,9% Natriumchlorid 20 mg/ml 2-8°C Ohne Licht
6 Tag
4989
Stabilitätsdaten des Herstellers

Polyolefin 0,9% Natriumchlorid 20 mg/ml 25°C Licht
24 Stunde
4989
Stabilitätsdaten des Herstellers

Polyolefin 5% Glucose 2 mg/ml 2-8°C Ohne Licht
6 Tag
4989
Stabilitätsdaten des Herstellers

Polyolefin 5% Glucose 2 mg/ml 25°C Licht
60 Stunde
4989
Stabilitätsdaten des Herstellers

Polyolefin 5% Glucose 20 mg/ml 2-8°C Ohne Licht
3 Tag
4989
Stabilitätsdaten des Herstellers

Polyolefin 5% Glucose 20 mg/ml 25°C Licht
24 Stunde
4989
Stabilitätsdaten des Herstellers

Nicht genau angegeben 0,9% Natriumchlorid 20 mg/ml 2-8°C Nicht genau angegeben
6 Tag
4865
Stabilitätsdaten des Herstellers

Nicht genau angegeben 0,9% Natriumchlorid 20 mg/ml 25°C Nicht genau angegeben
24 Stunde
4865
Stabilitätsdaten des Herstellers

Nicht genau angegeben 5% Glucose 2 mg/ml 2-8°C Nicht genau angegeben
36 Stunde
4865
Stabilitätsdaten des Herstellers

Nicht genau angegeben 5% Glucose 2 mg/ml 25°C Nicht genau angegeben
24 Stunde
4865
Stabilitätsdaten des Herstellers

Nicht genau angegeben 0,45% Natriumchlorid 2 mg/ml 2-8°C Nicht genau angegeben
6 Tag
4865
Stabilitätsdaten des Herstellers

Nicht genau angegeben 0,45% Natriumchlorid 2 mg/ml 25°C Nicht genau angegeben
24 Stunde
4865
Stabilitätsdaten des Herstellers


  Mentions Légales