Последнее обновление :
17/12/2025
Цитостатическое средство   Cyclophosphamide  
Инъекция
Капсула Раствор для перорального приёма
Стабильность растворов Стабильность смесей Факторы, которые влияют на стабильность Совместимость Способы введения Библиография pdf
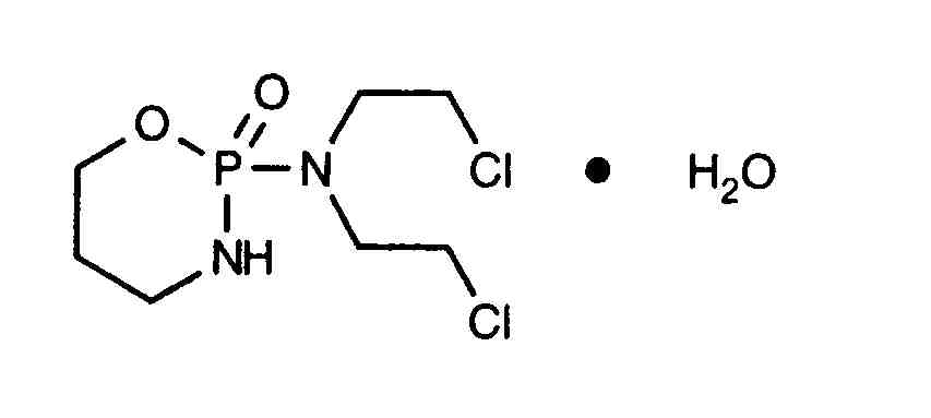
   Химическая структура  

Товарное название   Товарное название     

Trade names are indicative and excipients composition can be different depending on the country and manufacturers

Alkyloxan Египет, Малайзия
Celomide Индия
Ciclofosfamida Аргентина, Румыния, чили
Cicloxal Испания
Cryofaxol Мексика
Cycloblastin Австралия
Cycloblastine Голландия
Cyclophosphamid Германия, Дания
Cyclophosphamide Великобритания, новая Зеландия, Саудовская Аравия, Соединённые Штаты Америки
Cyclostin Германия
Cycloxan Малайзия
Cycram Египет
Cytoxan Венгрия, Канада, Соединённые Штаты Америки
Eldamide Индия
Endoxan Австралия, Австрия, Бельгия, Венгрия, Венесуэла, Германия, Голландия, Греция, Индия, Иран, Италия, Колумбия, Люксембург, Марокко, новая Зеландия, Объединенные Арабские Эмираты, Польша, Португалия, Саудовская Аравия, Словения, Таиланд, Тунис, Турция, Франция, Хорватия, чили, Швейцария, Эквадор
Endoxana Великобритания, Ирландия
Formitex Колумбия, Мексика
Genoxal Испания
Genuxal Бразилия
Hidrofosmin Мексика
Ledoxan Колумбия
Ledoxina Колумбия, Мексика
Neophos Египет
Neosar Соединённые Штаты Америки
Procytox Канада
Sendoxan Дания, Исландия, Норвегия, Финляндия, Швеция
Syklofosfamid Турция, Финляндия
Стабильность растворов   Инъекция   Стабильность растворов : Cyclophosphamide     
Упаковка Растворитель Концентрация Температура Хранение Продолжительность стабильности Ссылки
Стекло Вода для инъекций 20 mg/ml 24-27°C Не указано
4 День
1728
Уровень доказательности B

Стекло Вода для инъекций 20 mg/ml 4°C Защищён от света
7 День
172
Уровень доказательности A

Стекло Вода для инъекций 20 mg/ml 5°C Защищён от света
14 День
1728
Уровень доказательности B

Стекло Натрия хлорид 0,9% 0,4 mg/ml 2-8°C Защищён от света
14 День
1728
Уровень доказательности B

Стекло Натрия хлорид 0,9% 0,4 mg/ml 21-25°C Не указано
6 День
1728
Уровень доказательности B

Стекло Натрия хлорид 0,9% 1 mg/ml 25°C Защищён от света
7 День
172
Уровень доказательности A

Стекло Натрия хлорид 0,9% 1 mg/ml 4°C Защищён от света
7 День
172
Уровень доказательности A

Стекло Глюкоза 5% 1 mg/ml 25°C Защищён от света
7 День
172
Уровень доказательности A

Стекло Глюкоза 5% 1 mg/ml 4°C Защищён от света
7 День
172
Уровень доказательности A

Поливинилхлорид Вода для инъекций 20 mg/ml 4°C Защищён от света
7 День
172
Уровень доказательности A

Поливинилхлорид Натрия хлорид 0,9% 1 mg/ml 25°C Защищён от света
7 День
172
Уровень доказательности A

Поливинилхлорид Натрия хлорид 0,9% 1 mg/ml 4°C Защищён от света
7 День
172
Уровень доказательности A

Поливинилхлорид Натрия хлорид 0,9% 10 mg/ml 4°C Защищён от света
30 День
40
Уровень доказательности D

Поливинилхлорид Глюкоза 5% 1 mg/ml 25°C Защищён от света
2 День
172
Уровень доказательности A

Поливинилхлорид Глюкоза 5% 1 mg/ml 4°C Защищён от света
7 День
172
Уровень доказательности A

Поливинилхлорид Глюкоза 5% 10 mg/ml 4°C Защищён от света
30 День
40
Уровень доказательности D

Полиэтилен Натрия хлорид 0,9% 0,24 & 6,4 mg/ml 25°C Защищён от света
7 День
1520
Данные по стабльности от изготовителя

Полиэтилен Глюкоза 5% 0,24 & 6,4 mg/ml 25°C Защищён от света
7 День
1520
Данные по стабльности от изготовителя

Полиолефин Натрия хлорид 0,9% 2 mg/ml 2-8°C Защищён от света
5 День
4989
Данные по стабльности от изготовителя

Полиолефин Натрия хлорид 0,9% 2 mg/ml 25°C Свет
60 Час
4989
Данные по стабльности от изготовителя

Полиолефин Натрия хлорид 0,9% 20 mg/ml 2-8°C Защищён от света
6 День
4989
Данные по стабльности от изготовителя

Полиолефин Натрия хлорид 0,9% 20 mg/ml 25°C Свет
24 Час
4989
Данные по стабльности от изготовителя

Полиолефин Глюкоза 5% 2 mg/ml 2-8°C Защищён от света
6 День
4989
Данные по стабльности от изготовителя

Полиолефин Глюкоза 5% 2 mg/ml 25°C Свет
60 Час
4989
Данные по стабльности от изготовителя

Полиолефин Глюкоза 5% 20 mg/ml 2-8°C Защищён от света
3 День
4989
Данные по стабльности от изготовителя

Полиолефин Глюкоза 5% 20 mg/ml 25°C Свет
24 Час
4989
Данные по стабльности от изготовителя

Не указано Натрия хлорид 0,9% 20 mg/ml 2-8°C Не указано
6 День
4865
Данные по стабльности от изготовителя

Не указано Натрия хлорид 0,9% 20 mg/ml 25°C Не указано
24 Час
4865
Данные по стабльности от изготовителя

Не указано Глюкоза 5% 2 mg/ml 2-8°C Не указано
36 Час
4865
Данные по стабльности от изготовителя

Не указано Глюкоза 5% 2 mg/ml 25°C Не указано
24 Час
4865
Данные по стабльности от изготовителя

Не указано Натрия хлорид 0,45% 2 mg/ml 2-8°C Не указано
6 День
4865
Данные по стабльности от изготовителя

Не указано Натрия хлорид 0,45% 2 mg/ml 25°C Не указано
24 Час
4865
Данные по стабльности от изготовителя


  Mentions Légales