Viimeisin päivitys :
18/03/2026
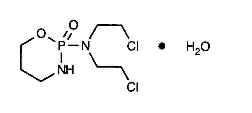
syöpälääke   Cyclophosphamide  
Injektioneste
Kapseli Oraaliliuos
Stabilius liuoksessa Stabilius seoksissa Tekijät, jotka vaikuttavat stabiliuteen Yhteensopivuus Antotapa Viitteet pdf
   Kemiallinen rakenne  

Kauppanimi   Kauppanimi     

Trade names are indicative and excipients composition can be different depending on the country and manufacturers

Alkyloxan Egypti, Malesia
Celomide Intia
Ciclofosfamida Argentiina, Chile, Romania
Cicloxal Espanja
Cryofaxol Meksiko
Cycloblastin Australia
Cycloblastine Hollanti
Cyclophosphamid Saksa, Tanska
Cyclophosphamide Iso-Britannia, New Zealand, Saudi-Arabia, Yhdysvallat
Cyclostin Saksa
Cycloxan Malesia
Cycram Egypti
Cytoxan Kanada, Unkari, Yhdysvallat
Eldamide Intia
Endoxan Australia, Belgia, Chile, Ecuador, Hollanti, Intia, Iran, Italia, Itävalta, Kolumbia, Kreikka, Kroatia, Luxemburg, Marokko, New Zealand, Portugali, Puola, Ranska, Saksa, Saudi-Arabia, Slovenia, Sveitsi, Thaimaa, Tunisia, Turkki, Unkari, Venezuela, Yhdistyneet arabiemiirikunnat
Endoxana Irlanti, Iso-Britannia
Formitex Kolumbia, Meksiko
Genoxal Espanja
Genuxal Brasilia
Hidrofosmin Meksiko
Ledoxan Kolumbia
Ledoxina Kolumbia, Meksiko
Neophos Egypti
Neosar Yhdysvallat
Procytox Kanada
Sendoxan Islanti, Norja, Ruotsi, Suomi, Tanska
Syklofosfamid Suomi, Turkki
Stabilius liuoksessa   Injektioneste   Stabilius liuoksessa : Cyclophosphamide     
Astia Liuotin Konsentraatio Lämpötila Säilytys Vakauden kesto Viitteet
Lasi Injektionesteisiin käytettävä vesi 20 mg/ml 24-27°C Ei määritetty
4 Päivä
1728
Näytön laajuus B

Lasi Injektionesteisiin käytettävä vesi 20 mg/ml 4°C Suojattava valolta
7 Päivä
172
Näytön laajuus A

Lasi Injektionesteisiin käytettävä vesi 20 mg/ml 5°C Suojattava valolta
14 Päivä
1728
Näytön laajuus B

Lasi Natriumkloridi 0,9% 0,4 mg/ml 2-8°C Suojattava valolta
14 Päivä
1728
Näytön laajuus B

Lasi Natriumkloridi 0,9% 0,4 mg/ml 21-25°C Ei määritetty
6 Päivä
1728
Näytön laajuus B

Lasi Natriumkloridi 0,9% 1 mg/ml 25°C Suojattava valolta
7 Päivä
172
Näytön laajuus A

Lasi Natriumkloridi 0,9% 1 mg/ml 4°C Suojattava valolta
7 Päivä
172
Näytön laajuus A

Lasi Glukoosi 5% 1 mg/ml 25°C Suojattava valolta
7 Päivä
172
Näytön laajuus A

Lasi Glukoosi 5% 1 mg/ml 4°C Suojattava valolta
7 Päivä
172
Näytön laajuus A

Polyvinyylikloridi Injektionesteisiin käytettävä vesi 20 mg/ml 4°C Suojattava valolta
7 Päivä
172
Näytön laajuus A

Polyvinyylikloridi Natriumkloridi 0,9% 1 mg/ml 25°C Suojattava valolta
7 Päivä
172
Näytön laajuus A

Polyvinyylikloridi Natriumkloridi 0,9% 1 mg/ml 4°C Suojattava valolta
7 Päivä
172
Näytön laajuus A

Polyvinyylikloridi Natriumkloridi 0,9% 10 mg/ml 4°C Suojattava valolta
30 Päivä
40
Näytön laajuus D

Polyvinyylikloridi Glukoosi 5% 1 mg/ml 25°C Suojattava valolta
2 Päivä
172
Näytön laajuus A

Polyvinyylikloridi Glukoosi 5% 1 mg/ml 4°C Suojattava valolta
7 Päivä
172
Näytön laajuus A

Polyvinyylikloridi Glukoosi 5% 10 mg/ml 4°C Suojattava valolta
30 Päivä
40
Näytön laajuus D

Polyetyleeni Natriumkloridi 0,9% 0,24 & 6,4 mg/ml 25°C Suojattava valolta
7 Päivä
1520
Valmistajan antamat stabiiliustiedot

Polyetyleeni Glukoosi 5% 0,24 & 6,4 mg/ml 25°C Suojattava valolta
7 Päivä
1520
Valmistajan antamat stabiiliustiedot

Polyolefiini Natriumkloridi 0,9% 2 mg/ml 2-8°C Suojattava valolta
5 Päivä
4989
Valmistajan antamat stabiiliustiedot

Polyolefiini Natriumkloridi 0,9% 2 mg/ml 25°C Valo
60 tunti
4989
Valmistajan antamat stabiiliustiedot

Polyolefiini Natriumkloridi 0,9% 20 mg/ml 2-8°C Suojattava valolta
6 Päivä
4989
Valmistajan antamat stabiiliustiedot

Polyolefiini Natriumkloridi 0,9% 20 mg/ml 25°C Valo
24 tunti
4989
Valmistajan antamat stabiiliustiedot

Polyolefiini Glukoosi 5% 2 mg/ml 2-8°C Suojattava valolta
6 Päivä
4989
Valmistajan antamat stabiiliustiedot

Polyolefiini Glukoosi 5% 2 mg/ml 25°C Valo
60 tunti
4989
Valmistajan antamat stabiiliustiedot

Polyolefiini Glukoosi 5% 20 mg/ml 2-8°C Suojattava valolta
3 Päivä
4989
Valmistajan antamat stabiiliustiedot

Polyolefiini Glukoosi 5% 20 mg/ml 25°C Valo
24 tunti
4989
Valmistajan antamat stabiiliustiedot

Ei määritetty Natriumkloridi 0,9% 20 mg/ml 2-8°C Ei määritetty
6 Päivä
4865
Valmistajan antamat stabiiliustiedot

Ei määritetty Natriumkloridi 0,9% 20 mg/ml 25°C Ei määritetty
24 tunti
4865
Valmistajan antamat stabiiliustiedot

Ei määritetty Glukoosi 5% 2 mg/ml 2-8°C Ei määritetty
36 tunti
4865
Valmistajan antamat stabiiliustiedot

Ei määritetty Glukoosi 5% 2 mg/ml 25°C Ei määritetty
24 tunti
4865
Valmistajan antamat stabiiliustiedot

Ei määritetty Natriumkloridi 0,45% 2 mg/ml 2-8°C Ei määritetty
6 Päivä
4865
Valmistajan antamat stabiiliustiedot

Ei määritetty Natriumkloridi 0,45% 2 mg/ml 25°C Ei määritetty
24 tunti
4865
Valmistajan antamat stabiiliustiedot


  Mentions Légales