Ostatnia aktualizacja :
17/12/2025
Lek cytostatyk   Cyclophosphamide  
Injekcje
Kapsułka Roztwór doustny
Trwałość roztworów Trwałość w mieszaninie Czynnik wpływający na trwałość Zgodność Sposób podania Bibliografia pdf
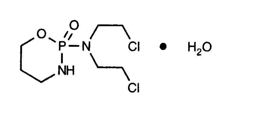
   Struktura chemiczna  

Nazwa handlowa   Nazwa handlowa     

Trade names are indicative and excipients composition can be different depending on the country and manufacturers

Alkyloxan Egipt, Malezja
Celomide Indie
Ciclofosfamida Argentyna, Chile, Rumunia
Cicloxal Hiszpania
Cryofaxol Meksyk
Cycloblastin Australia
Cycloblastine Holandia
Cyclophosphamid Dania, Niemcy
Cyclophosphamide Arabia Saudyjska, nowa Zelandia, Stany Zjednoczone Ameryki, Wielka Brytania
Cyclostin Niemcy
Cycloxan Malezja
Cycram Egipt
Cytoxan Kanada, Stany Zjednoczone Ameryki, Węgry
Eldamide Indie
Endoxan Arabia Saudyjska, Australia, Austria, Belgia, Chile, Chorwacja, Ekwador, Francja , Grecja, Holandia, Indie, Iran, KolumbiaKolumbia, Luksemburg, Maroko, Niemcy, nowa Zelandia, Polska, Portugalia, Szwajcaria, Słowenia, Tajlandia, Tunisie, Turcja, Węgry, Wenezuela, Włochy, Zjednoczone Emiraty Arabskie
Endoxana Irlandia, Wielka Brytania
Formitex KolumbiaKolumbia, Meksyk
Genoxal Hiszpania
Genuxal Brazylia
Hidrofosmin Meksyk
Ledoxan KolumbiaKolumbia
Ledoxina KolumbiaKolumbia, Meksyk
Neophos Egipt
Neosar Stany Zjednoczone Ameryki
Procytox Kanada
Sendoxan Dania, Finlandia, Islandia, Norwegia, Szwecja
Syklofosfamid Finlandia, Turcja
Trwałość roztworów   Injekcje   Trwałość roztworów : Cyclophosphamide     
Pojemnik Rozpuszczalnik Stężenie Temperatura Przechowywanie Czas trwania stabilności Bibliografia
Szkło Woda do wstrzyknięć 20 mg/ml 24-27°C Nie wyszczególniony
4 Dzień
1728
Poziom wiarygodności B

Szkło Woda do wstrzyknięć 20 mg/ml 4°C Chronić od światła
7 Dzień
172
Poziom wiarygodności A

Szkło Woda do wstrzyknięć 20 mg/ml 5°C Chronić od światła
14 Dzień
1728
Poziom wiarygodności B

Szkło Chlorek sodu 0,9% 0,4 mg/ml 2-8°C Chronić od światła
14 Dzień
1728
Poziom wiarygodności B

Szkło Chlorek sodu 0,9% 0,4 mg/ml 21-25°C Nie wyszczególniony
6 Dzień
1728
Poziom wiarygodności B

Szkło Chlorek sodu 0,9% 1 mg/ml 25°C Chronić od światła
7 Dzień
172
Poziom wiarygodności A

Szkło Chlorek sodu 0,9% 1 mg/ml 4°C Chronić od światła
7 Dzień
172
Poziom wiarygodności A

Szkło Glukoza 5% 1 mg/ml 25°C Chronić od światła
7 Dzień
172
Poziom wiarygodności A

Szkło Glukoza 5% 1 mg/ml 4°C Chronić od światła
7 Dzień
172
Poziom wiarygodności A

Polichlorek winylu Woda do wstrzyknięć 20 mg/ml 4°C Chronić od światła
7 Dzień
172
Poziom wiarygodności A

Polichlorek winylu Chlorek sodu 0,9% 1 mg/ml 25°C Chronić od światła
7 Dzień
172
Poziom wiarygodności A

Polichlorek winylu Chlorek sodu 0,9% 1 mg/ml 4°C Chronić od światła
7 Dzień
172
Poziom wiarygodności A

Polichlorek winylu Chlorek sodu 0,9% 10 mg/ml 4°C Chronić od światła
30 Dzień
40
Poziom wiarygodności D

Polichlorek winylu Glukoza 5% 1 mg/ml 25°C Chronić od światła
2 Dzień
172
Poziom wiarygodności A

Polichlorek winylu Glukoza 5% 1 mg/ml 4°C Chronić od światła
7 Dzień
172
Poziom wiarygodności A

Polichlorek winylu Glukoza 5% 10 mg/ml 4°C Chronić od światła
30 Dzień
40
Poziom wiarygodności D

Polietylen Chlorek sodu 0,9% 0,24 & 6,4 mg/ml 25°C Chronić od światła
7 Dzień
1520
Dane stabilności producenta

Polietylen Glukoza 5% 0,24 & 6,4 mg/ml 25°C Chronić od światła
7 Dzień
1520
Dane stabilności producenta

Poliolefina Chlorek sodu 0,9% 2 mg/ml 2-8°C Chronić od światła
5 Dzień
4989
Dane stabilności producenta

Poliolefina Chlorek sodu 0,9% 2 mg/ml 25°C światło
60 Godzina
4989
Dane stabilności producenta

Poliolefina Chlorek sodu 0,9% 20 mg/ml 2-8°C Chronić od światła
6 Dzień
4989
Dane stabilności producenta

Poliolefina Chlorek sodu 0,9% 20 mg/ml 25°C światło
24 Godzina
4989
Dane stabilności producenta

Poliolefina Glukoza 5% 2 mg/ml 2-8°C Chronić od światła
6 Dzień
4989
Dane stabilności producenta

Poliolefina Glukoza 5% 2 mg/ml 25°C światło
60 Godzina
4989
Dane stabilności producenta

Poliolefina Glukoza 5% 20 mg/ml 2-8°C Chronić od światła
3 Dzień
4989
Dane stabilności producenta

Poliolefina Glukoza 5% 20 mg/ml 25°C światło
24 Godzina
4989
Dane stabilności producenta

Brak informacji Chlorek sodu 0,9% 20 mg/ml 2-8°C Nie wyszczególniony
6 Dzień
4865
Dane stabilności producenta

Brak informacji Chlorek sodu 0,9% 20 mg/ml 25°C Nie wyszczególniony
24 Godzina
4865
Dane stabilności producenta

Brak informacji Glukoza 5% 2 mg/ml 2-8°C Nie wyszczególniony
36 Godzina
4865
Dane stabilności producenta

Brak informacji Glukoza 5% 2 mg/ml 25°C Nie wyszczególniony
24 Godzina
4865
Dane stabilności producenta

Brak informacji Chlorek sodu 0,45% 2 mg/ml 2-8°C Nie wyszczególniony
6 Dzień
4865
Dane stabilności producenta

Brak informacji Chlorek sodu 0,45% 2 mg/ml 25°C Nie wyszczególniony
24 Godzina
4865
Dane stabilności producenta


  Mentions Légales