Poslední aktualizace :
17/12/2025
rakovina drog   Cyclophosphamide  
injekce
kapsle Perorální roztok
Stabilita roztoků Stabilita směsí Faktory ovlivňující stabilitu Kompatibilita Způsoby aplikace Odkazy pdf
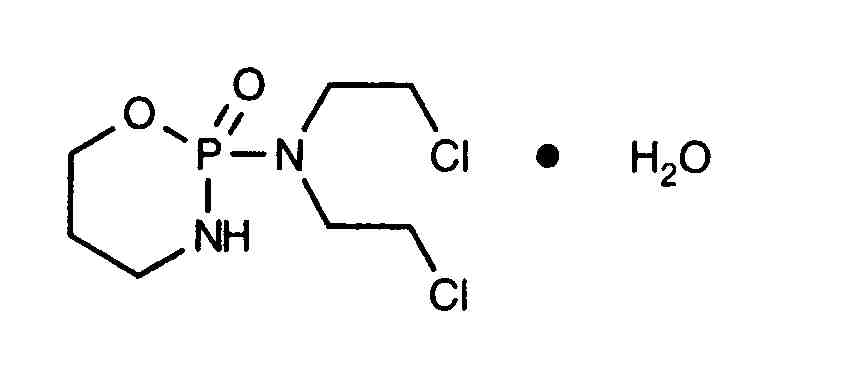
   Chemický vzorec  

Obchodní název   Obchodní název     

Trade names are indicative and excipients composition can be different depending on the country and manufacturers

Alkyloxan Egypt, Malajsie
Celomide Indie
Ciclofosfamida Argentina, Chile, Rumunsko
Cicloxal äpanÏlsko
Cryofaxol Mexiko
Cycloblastin Austrálie
Cycloblastine Nizozemsko
Cyclophosphamid Dánsko, NÏmecko
Cyclophosphamide nový Zéland, Saúdská Arábie, USA, Velká Británie
Cyclostin NÏmecko
Cycloxan Malajsie
Cycram Egypt
Cytoxan Kanada, MaÔarsko, USA
Eldamide Indie
Endoxan Austrálie, Belgie, Chile, Chorvatsko, Ekvádor, Francie, Indie, Írán, Itálie, Kolumbie, Lucembursko, MaÔarsko, Maroko, NÏmecko, Nizozemsko, nový Zéland, Polsko, Portugalsko, Rakousko, Saúdská Arábie, Slovinsko, Spojené arabské emiráty, Švýcarsko, Thajsko, Tunisko, Turecko, Venezuela, ÿecko
Endoxana Irsko, Velká Británie
Formitex Kolumbie, Mexiko
Genoxal äpanÏlsko
Genuxal BrazÌlie
Hidrofosmin Mexiko
Ledoxan Kolumbie
Ledoxina Kolumbie, Mexiko
Neophos Egypt
Neosar USA
Procytox Kanada
Sendoxan Dánsko, Finsko, Island, Norsko, Švédsko
Syklofosfamid Finsko, Turecko
Stabilita roztoků   injekce   Stabilita roztoků : Cyclophosphamide     
Obal RozpouötÏdlo Koncentrace Teplota Uchovávání Trvání stability Odkazy
Sklo Voda pro injekci 20 mg/ml 24-27°C Nespecifikováno
4 Den
1728
Úroveň zkoušky B

Sklo Voda pro injekci 20 mg/ml 4°C Chráněno před světlem
7 Den
172
Úroveň zkoušky A

Sklo Voda pro injekci 20 mg/ml 5°C Chráněno před světlem
14 Den
1728
Úroveň zkoušky B

Sklo Chlorid sodný 0,9% 0,4 mg/ml 2-8°C Chráněno před světlem
14 Den
1728
Úroveň zkoušky B

Sklo Chlorid sodný 0,9% 0,4 mg/ml 21-25°C Nespecifikováno
6 Den
1728
Úroveň zkoušky B

Sklo Chlorid sodný 0,9% 1 mg/ml 25°C Chráněno před světlem
7 Den
172
Úroveň zkoušky A

Sklo Chlorid sodný 0,9% 1 mg/ml 4°C Chráněno před světlem
7 Den
172
Úroveň zkoušky A

Sklo GlukÛza 5% 1 mg/ml 25°C Chráněno před světlem
7 Den
172
Úroveň zkoušky A

Sklo GlukÛza 5% 1 mg/ml 4°C Chráněno před světlem
7 Den
172
Úroveň zkoušky A

Polyvinyl chlorid Voda pro injekci 20 mg/ml 4°C Chráněno před světlem
7 Den
172
Úroveň zkoušky A

Polyvinyl chlorid Chlorid sodný 0,9% 1 mg/ml 25°C Chráněno před světlem
7 Den
172
Úroveň zkoušky A

Polyvinyl chlorid Chlorid sodný 0,9% 1 mg/ml 4°C Chráněno před světlem
7 Den
172
Úroveň zkoušky A

Polyvinyl chlorid Chlorid sodný 0,9% 10 mg/ml 4°C Chráněno před světlem
30 Den
40
Úroveň zkoušky D

Polyvinyl chlorid GlukÛza 5% 1 mg/ml 25°C Chráněno před světlem
2 Den
172
Úroveň zkoušky A

Polyvinyl chlorid GlukÛza 5% 1 mg/ml 4°C Chráněno před světlem
7 Den
172
Úroveň zkoušky A

Polyvinyl chlorid GlukÛza 5% 10 mg/ml 4°C Chráněno před světlem
30 Den
40
Úroveň zkoušky D

Polyethylen Chlorid sodný 0,9% 0,24 & 6,4 mg/ml 25°C Chráněno před světlem
7 Den
1520
Údaje o stabilitě od výrobce

Polyethylen GlukÛza 5% 0,24 & 6,4 mg/ml 25°C Chráněno před světlem
7 Den
1520
Údaje o stabilitě od výrobce

Polyoleofin Chlorid sodný 0,9% 2 mg/ml 2-8°C Chráněno před světlem
5 Den
4989
Údaje o stabilitě od výrobce

Polyoleofin Chlorid sodný 0,9% 2 mg/ml 25°C SvÏtlo
60 Hodina
4989
Údaje o stabilitě od výrobce

Polyoleofin Chlorid sodný 0,9% 20 mg/ml 2-8°C Chráněno před světlem
6 Den
4989
Údaje o stabilitě od výrobce

Polyoleofin Chlorid sodný 0,9% 20 mg/ml 25°C SvÏtlo
24 Hodina
4989
Údaje o stabilitě od výrobce

Polyoleofin GlukÛza 5% 2 mg/ml 2-8°C Chráněno před světlem
6 Den
4989
Údaje o stabilitě od výrobce

Polyoleofin GlukÛza 5% 2 mg/ml 25°C SvÏtlo
60 Hodina
4989
Údaje o stabilitě od výrobce

Polyoleofin GlukÛza 5% 20 mg/ml 2-8°C Chráněno před světlem
3 Den
4989
Údaje o stabilitě od výrobce

Polyoleofin GlukÛza 5% 20 mg/ml 25°C SvÏtlo
24 Hodina
4989
Údaje o stabilitě od výrobce

Nespecifikováno Chlorid sodný 0,9% 20 mg/ml 2-8°C Nespecifikováno
6 Den
4865
Údaje o stabilitě od výrobce

Nespecifikováno Chlorid sodný 0,9% 20 mg/ml 25°C Nespecifikováno
24 Hodina
4865
Údaje o stabilitě od výrobce

Nespecifikováno GlukÛza 5% 2 mg/ml 2-8°C Nespecifikováno
36 Hodina
4865
Údaje o stabilitě od výrobce

Nespecifikováno GlukÛza 5% 2 mg/ml 25°C Nespecifikováno
24 Hodina
4865
Údaje o stabilitě od výrobce

Nespecifikováno Chlorid sodný 0,45% 2 mg/ml 2-8°C Nespecifikováno
6 Den
4865
Údaje o stabilitě od výrobce

Nespecifikováno Chlorid sodný 0,45% 2 mg/ml 25°C Nespecifikováno
24 Hodina
4865
Údaje o stabilitě od výrobce


  Mentions Légales