Utolsó frissítés :
18/03/2026
rákellenes gyógyszer   Cyclophosphamide  
Injekció
belsőleges oldat kapszula
Az oldatok stabilitása A keverékek stabilitása Stabilitást befolyásoló tényezők Kompatibilitás Az alkalmazás módja Irodalom pdf
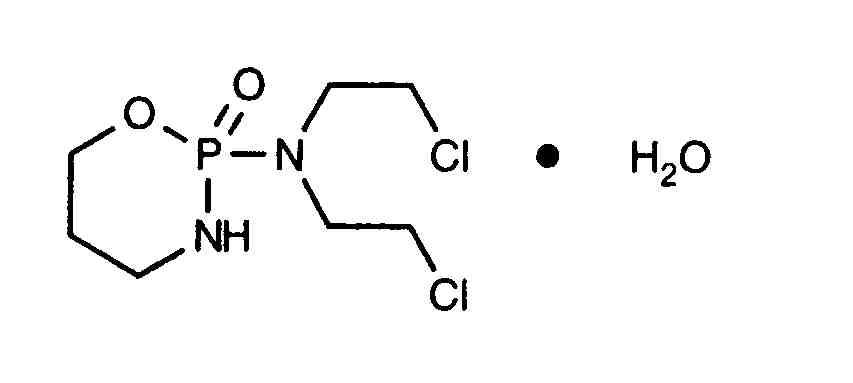
   Kémiai szerkezet   

Kereskedelmi név   Kereskedelmi név     

A kereskedelmi név meghatározó jelentőségű: a készítmények összetétele országonként, előállítóként eltérő lehet

Alkyloxan Egyiptom, Malaysia
Celomide India
Ciclofosfamida Argentína, Chile, Románia
Cicloxal Spanyolország
Cryofaxol Mexikó
Cycloblastin Ausztrália
Cycloblastine Hollandia
Cyclophosphamid Dánia, Németország
Cyclophosphamide Amerikai Egyesült Államok, Nagy-Britannia, Szaúd-Arábiában, új-Zéland
Cyclostin Németország
Cycloxan Malaysia
Cycram Egyiptom
Cytoxan Amerikai Egyesült Államok, Kanada, Magyarország
Eldamide India
Endoxan Ausztrália, Ausztria, Belgium, Chile, Colombia, Ecuador, Egyesült Arab Emírségek, Franciaország, Görögország, Hollandia, Horvátország, India, Irán, Lengyelország, Luxemburg, Magyarország, Marokkó, Németország, Olaszország, Portugália, Svájc, Szaúd-Arábiában, Szlovénia, Thaiföld, Törökország, Tunézia, új-Zéland, Venezuela
Endoxana Írország, Nagy-Britannia
Formitex Colombia, Mexikó
Genoxal Spanyolország
Genuxal Brazília
Hidrofosmin Mexikó
Ledoxan Colombia
Ledoxina Colombia, Mexikó
Neophos Egyiptom
Neosar Amerikai Egyesült Államok
Procytox Kanada
Sendoxan Dánia, Finnország, Izland, Norvégia, Svédország
Syklofosfamid Finnország, Törökország
Az oldatok stabilitása   Injekció   Az oldatok stabilitása : Cyclophosphamide     
Csomagolás Oldószer Koncentráció Hőmérséklet Tárolás A stabilitás időtartama Irodalom
Üveg Injekcióhoz való víz 20 mg/ml 24-27°C Nincs meghatározva
4 Nap
1728
Szintű bizonyítékot B

Üveg Injekcióhoz való víz 20 mg/ml 4°C Fénytől védve tartandó
7 Nap
172
Szintű bizonyítékot A

Üveg Injekcióhoz való víz 20 mg/ml 5°C Fénytől védve tartandó
14 Nap
1728
Szintű bizonyítékot B

Üveg 0,9% nátrium-klorid 0,4 mg/ml 2-8°C Fénytől védve tartandó
14 Nap
1728
Szintű bizonyítékot B

Üveg 0,9% nátrium-klorid 0,4 mg/ml 21-25°C Nincs meghatározva
6 Nap
1728
Szintű bizonyítékot B

Üveg 0,9% nátrium-klorid 1 mg/ml 25°C Fénytől védve tartandó
7 Nap
172
Szintű bizonyítékot A

Üveg 0,9% nátrium-klorid 1 mg/ml 4°C Fénytől védve tartandó
7 Nap
172
Szintű bizonyítékot A

Üveg 5% glükóz 1 mg/ml 25°C Fénytől védve tartandó
7 Nap
172
Szintű bizonyítékot A

Üveg 5% glükóz 1 mg/ml 4°C Fénytől védve tartandó
7 Nap
172
Szintű bizonyítékot A

Poli(vinilklorid) Injekcióhoz való víz 20 mg/ml 4°C Fénytől védve tartandó
7 Nap
172
Szintű bizonyítékot A

Poli(vinilklorid) 0,9% nátrium-klorid 1 mg/ml 25°C Fénytől védve tartandó
7 Nap
172
Szintű bizonyítékot A

Poli(vinilklorid) 0,9% nátrium-klorid 1 mg/ml 4°C Fénytől védve tartandó
7 Nap
172
Szintű bizonyítékot A

Poli(vinilklorid) 0,9% nátrium-klorid 10 mg/ml 4°C Fénytől védve tartandó
30 Nap
40
Szintű bizonyítékot D

Poli(vinilklorid) 5% glükóz 1 mg/ml 25°C Fénytől védve tartandó
2 Nap
172
Szintű bizonyítékot A

Poli(vinilklorid) 5% glükóz 1 mg/ml 4°C Fénytől védve tartandó
7 Nap
172
Szintű bizonyítékot A

Poli(vinilklorid) 5% glükóz 10 mg/ml 4°C Fénytől védve tartandó
30 Nap
40
Szintű bizonyítékot D

Polietilén 0,9% nátrium-klorid 0,24 & 6,4 mg/ml 25°C Fénytől védve tartandó
7 Nap
1520
Gyártó stabilitási adatokra

Polietilén 5% glükóz 0,24 & 6,4 mg/ml 25°C Fénytől védve tartandó
7 Nap
1520
Gyártó stabilitási adatokra

Poliolefin 0,9% nátrium-klorid 2 mg/ml 2-8°C Fénytől védve tartandó
5 Nap
4989
Gyártó stabilitási adatokra

Poliolefin 0,9% nátrium-klorid 2 mg/ml 25°C Fény
60 Óra
4989
Gyártó stabilitási adatokra

Poliolefin 0,9% nátrium-klorid 20 mg/ml 2-8°C Fénytől védve tartandó
6 Nap
4989
Gyártó stabilitási adatokra

Poliolefin 0,9% nátrium-klorid 20 mg/ml 25°C Fény
24 Óra
4989
Gyártó stabilitási adatokra

Poliolefin 5% glükóz 2 mg/ml 2-8°C Fénytől védve tartandó
6 Nap
4989
Gyártó stabilitási adatokra

Poliolefin 5% glükóz 2 mg/ml 25°C Fény
60 Óra
4989
Gyártó stabilitási adatokra

Poliolefin 5% glükóz 20 mg/ml 2-8°C Fénytől védve tartandó
3 Nap
4989
Gyártó stabilitási adatokra

Poliolefin 5% glükóz 20 mg/ml 25°C Fény
24 Óra
4989
Gyártó stabilitási adatokra

Nincs meghatározva 0,9% nátrium-klorid 20 mg/ml 2-8°C Nincs meghatározva
6 Nap
4865
Gyártó stabilitási adatokra

Nincs meghatározva 0,9% nátrium-klorid 20 mg/ml 25°C Nincs meghatározva
24 Óra
4865
Gyártó stabilitási adatokra

Nincs meghatározva 5% glükóz 2 mg/ml 2-8°C Nincs meghatározva
36 Óra
4865
Gyártó stabilitási adatokra

Nincs meghatározva 5% glükóz 2 mg/ml 25°C Nincs meghatározva
24 Óra
4865
Gyártó stabilitási adatokra

Nincs meghatározva 0,45% nátrium-klorid 2 mg/ml 2-8°C Nincs meghatározva
6 Nap
4865
Gyártó stabilitási adatokra

Nincs meghatározva 0,45% nátrium-klorid 2 mg/ml 25°C Nincs meghatározva
24 Óra
4865
Gyártó stabilitási adatokra


  Mentions Légales