最新更新 :
17/12/2025
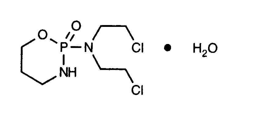
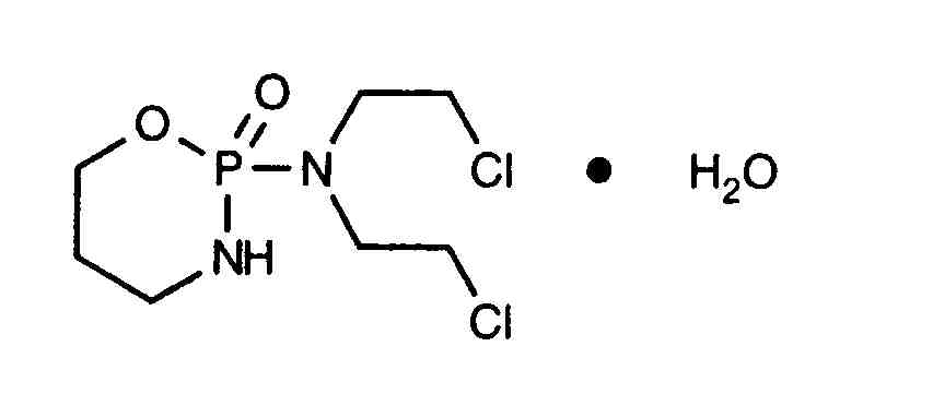
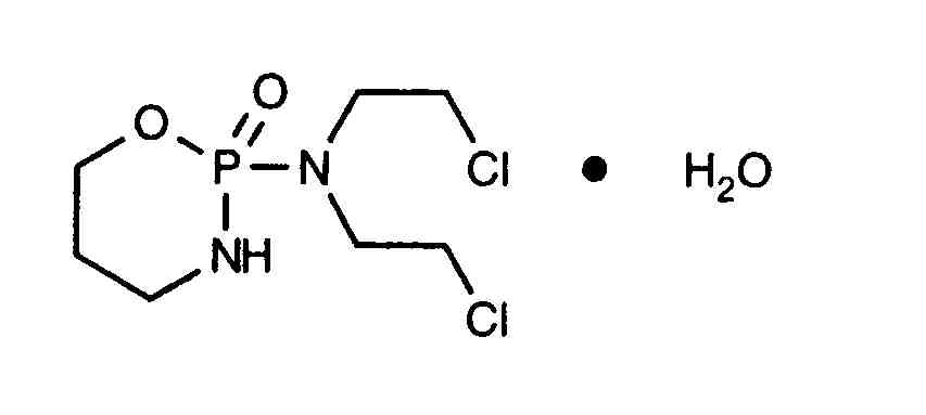
細胞増殖抑制薬   Cyclophosphamide  
注射薬
カプセル 経口液
溶媒内の安定性 混合時の安定性 安定性に影響する因子 互換性 投与経路 引用文献 PDF
   化学構造  

商品名   商品名     

商品名、賦形剤は国、製薬会社ごとに異なることがあります

Alkyloxan エジプト, マレーシア
Celomide インド
Ciclofosfamida アルゼンチン, チリ, ルーマニア
Cicloxal スペイン
Cryofaxol メキシコ
Cycloblastin アーストラリア
Cycloblastine オランダ
Cyclophosphamid デンマーク, ドイツ
Cyclophosphamide アメリカ, イギリス, サウジアラビア, ニュージーランド
Cyclostin ドイツ
Cycloxan マレーシア
Cycram エジプト
Cytoxan アメリカ, カナダ, ハンガリー
Eldamide インド
Endoxan アラブ首長国連邦, アーストラリア, イタリア, イラン, インド, エクアドル, オランダ, オーストリア, ギリシア, クロアチア, コロンビア, サウジアラビア, スイス, スロベニア, タイ, チュニジア, チリ, トルコ, ドイツ, ニュージーランド, ハンガリー, フランス, ベネズエラ, ベルギー, ポルトガル, ポーランド, モロッコ, ルクセンブルグ
Endoxana アイルランド, イギリス
Formitex コロンビア, メキシコ
Genoxal スペイン
Genuxal ブラジル
Hidrofosmin メキシコ
Ledoxan コロンビア
Ledoxina コロンビア, メキシコ
Neophos エジプト
Neosar アメリカ
Procytox カナダ
Sendoxan アイスランド, スウェーデン, デンマーク, ノルウェー, フィンランド
Syklofosfamid トルコ, フィンランド
溶媒内の安定性   注射薬   溶媒内の安定性 : Cyclophosphamide     
容器 溶媒 濃度 温度 保管 安定期間 引用文献
ガラス 注射用水 20 mg/ml 24-27°C 特記なし
4 日
1728
エビデンスレベル B

ガラス 注射用水 20 mg/ml 4°C 遮光
7 日
172
エビデンスレベル A

ガラス 注射用水 20 mg/ml 5°C 遮光
14 日
1728
エビデンスレベル B

ガラス NaCl 0,9% 0,4 mg/ml 2-8°C 遮光
14 日
1728
エビデンスレベル B

ガラス NaCl 0,9% 0,4 mg/ml 21-25°C 特記なし
6 日
1728
エビデンスレベル B

ガラス NaCl 0,9% 1 mg/ml 25°C 遮光
7 日
172
エビデンスレベル A

ガラス NaCl 0,9% 1 mg/ml 4°C 遮光
7 日
172
エビデンスレベル A

ガラス グルコース5% 1 mg/ml 25°C 遮光
7 日
172
エビデンスレベル A

ガラス グルコース5% 1 mg/ml 4°C 遮光
7 日
172
エビデンスレベル A

ポリ塩化ビニル(PVC) 注射用水 20 mg/ml 4°C 遮光
7 日
172
エビデンスレベル A

ポリ塩化ビニル(PVC) NaCl 0,9% 1 mg/ml 25°C 遮光
7 日
172
エビデンスレベル A

ポリ塩化ビニル(PVC) NaCl 0,9% 1 mg/ml 4°C 遮光
7 日
172
エビデンスレベル A

ポリ塩化ビニル(PVC) NaCl 0,9% 10 mg/ml 4°C 遮光
30 日
40
エビデンスレベル D

ポリ塩化ビニル(PVC) グルコース5% 1 mg/ml 25°C 遮光
2 日
172
エビデンスレベル A

ポリ塩化ビニル(PVC) グルコース5% 1 mg/ml 4°C 遮光
7 日
172
エビデンスレベル A

ポリ塩化ビニル(PVC) グルコース5% 10 mg/ml 4°C 遮光
30 日
40
エビデンスレベル D

ポリエチレン NaCl 0,9% 0,24 & 6,4 mg/ml 25°C 遮光
7 日
1520
製薬会社の安定性データ

ポリエチレン グルコース5% 0,24 & 6,4 mg/ml 25°C 遮光
7 日
1520
製薬会社の安定性データ

ポリオレフィン NaCl 0,9% 2 mg/ml 2-8°C 遮光
5 日
4989
製薬会社の安定性データ

ポリオレフィン NaCl 0,9% 2 mg/ml 25°C 光
60 時間
4989
製薬会社の安定性データ

ポリオレフィン NaCl 0,9% 20 mg/ml 2-8°C 遮光
6 日
4989
製薬会社の安定性データ

ポリオレフィン NaCl 0,9% 20 mg/ml 25°C 光
24 時間
4989
製薬会社の安定性データ

ポリオレフィン グルコース5% 2 mg/ml 2-8°C 遮光
6 日
4989
製薬会社の安定性データ

ポリオレフィン グルコース5% 2 mg/ml 25°C 光
60 時間
4989
製薬会社の安定性データ

ポリオレフィン グルコース5% 20 mg/ml 2-8°C 遮光
3 日
4989
製薬会社の安定性データ

ポリオレフィン グルコース5% 20 mg/ml 25°C 光
24 時間
4989
製薬会社の安定性データ

指定なし NaCl 0,9% 20 mg/ml 2-8°C 特記なし
6 日
4865
製薬会社の安定性データ

指定なし NaCl 0,9% 20 mg/ml 25°C 特記なし
24 時間
4865
製薬会社の安定性データ

指定なし グルコース5% 2 mg/ml 2-8°C 特記なし
36 時間
4865
製薬会社の安定性データ

指定なし グルコース5% 2 mg/ml 25°C 特記なし
24 時間
4865
製薬会社の安定性データ

指定なし NaCl 0.45% 2 mg/ml 2-8°C 特記なし
6 日
4865
製薬会社の安定性データ

指定なし NaCl 0.45% 2 mg/ml 25°C 特記なし
24 時間
4865
製薬会社の安定性データ


  Mentions Légales