آخر تحديث :
17/12/2025
المضادة للسرطان المخدرات   Cyclophosphamide  
حقن
عن طريق الفم  كبسولة
الاستقرار في حلول استقرار مخاليط العوامل التي تؤثر على الاستقرار التوافق طريقة التعاطي مراجع pdf
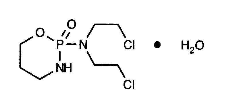
   التركيب الكيميائي  

حجز الاسم التجاري   حجز الاسم التجاري     

تحذير الأسماء التجاريه المختلفه قد تحتوي علي محتوي إضافات مختلفة حسب الدوله و المعمل

Alkyloxan ماليزيا, مصر
Celomide الهند
Ciclofosfamida الأرجنتين, تشيلي, رومانيا
Cicloxal إسبانيا
Cryofaxol المكسيك
Cycloblastin أستراليا
Cycloblastine هولندا
Cyclophosphamid ألمانيا, الدنمارك
Cyclophosphamide العربية السعودية, الولايات المتحدة, بريطانيا العظمي, زيلاندا الجديدة
Cyclostin ألمانيا
Cycloxan ماليزيا
Cycram مصر
Cytoxan الولايات المتحدة, كندا, هنغاريا
Eldamide الهند
Endoxan أستراليا, ألمانيا, إيران, إيطاليا, الإكوادور, الإمارات العربية المتحدة, البرتغال, العربية السعودية, المغرب, النمسا, الهند, بلجيكا, بولندا, تايلاند, تركيا, تشيلي, تونس, زيلاندا الجديدة, سلوفينيا, سويسرا, فرنسا, فنزويلا, كرواتيا, كولومبيا, لوكسمبورغ, هنغاريا, هولندا, يونان
Endoxana ايرلندا, بريطانيا العظمي
Formitex المكسيك, كولومبيا
Genoxal إسبانيا
Genuxal البرازيل
Hidrofosmin المكسيك
Ledoxan كولومبيا
Ledoxina المكسيك, كولومبيا
Neophos مصر
Neosar الولايات المتحدة
Procytox كندا
Sendoxan أيسلندا, الدنمارك, السويد, النرويج, فنلندا
Syklofosfamid تركيا, فنلندا
الاستقرار في حلول   حقن   الاستقرار في حلول : Cyclophosphamide     
حاوية مذيب تركيز درجة الحرارة تخزين مدة الاستقرار مراجع
زجاج حقن المياه لل 20 mg/ml 24-27°C لم يتم تحديد
4 يوم
1728
B مستوى الأدلة

زجاج حقن المياه لل 20 mg/ml 4°C بعيدا عن الضوء
7 يوم
172
A مستوى الأدلة

زجاج حقن المياه لل 20 mg/ml 5°C بعيدا عن الضوء
14 يوم
1728
B مستوى الأدلة

زجاج كلوريد الصوديوم 0.9% 0,4 mg/ml 2-8°C بعيدا عن الضوء
14 يوم
1728
B مستوى الأدلة

زجاج كلوريد الصوديوم 0.9% 0,4 mg/ml 21-25°C لم يتم تحديد
6 يوم
1728
B مستوى الأدلة

زجاج كلوريد الصوديوم 0.9% 1 mg/ml 25°C بعيدا عن الضوء
7 يوم
172
A مستوى الأدلة

زجاج كلوريد الصوديوم 0.9% 1 mg/ml 4°C بعيدا عن الضوء
7 يوم
172
A مستوى الأدلة

زجاج الجلوكوز %5 1 mg/ml 25°C بعيدا عن الضوء
7 يوم
172
A مستوى الأدلة

زجاج الجلوكوز %5 1 mg/ml 4°C بعيدا عن الضوء
7 يوم
172
A مستوى الأدلة

البولي فينيل كلوريد حقن المياه لل 20 mg/ml 4°C بعيدا عن الضوء
7 يوم
172
A مستوى الأدلة

البولي فينيل كلوريد كلوريد الصوديوم 0.9% 1 mg/ml 25°C بعيدا عن الضوء
7 يوم
172
A مستوى الأدلة

البولي فينيل كلوريد كلوريد الصوديوم 0.9% 1 mg/ml 4°C بعيدا عن الضوء
7 يوم
172
A مستوى الأدلة

البولي فينيل كلوريد كلوريد الصوديوم 0.9% 10 mg/ml 4°C بعيدا عن الضوء
30 يوم
40
D مستوى الأدلة

البولي فينيل كلوريد الجلوكوز %5 1 mg/ml 25°C بعيدا عن الضوء
2 يوم
172
A مستوى الأدلة

البولي فينيل كلوريد الجلوكوز %5 1 mg/ml 4°C بعيدا عن الضوء
7 يوم
172
A مستوى الأدلة

البولي فينيل كلوريد الجلوكوز %5 10 mg/ml 4°C بعيدا عن الضوء
30 يوم
40
D مستوى الأدلة

البولي ايثيلين كلوريد الصوديوم 0.9% 0,24 & 6,4 mg/ml 25°C بعيدا عن الضوء
7 يوم
1520
بيانات الشركة المصنعة \\ \'ق الاستقرار

البولي ايثيلين الجلوكوز %5 0,24 & 6,4 mg/ml 25°C بعيدا عن الضوء
7 يوم
1520
بيانات الشركة المصنعة \\ \'ق الاستقرار

البولي فين كلوريد الصوديوم 0.9% 2 mg/ml 2-8°C بعيدا عن الضوء
5 يوم
4989
بيانات الشركة المصنعة \\ \'ق الاستقرار

البولي فين كلوريد الصوديوم 0.9% 2 mg/ml 25°C ضوء
60 ساعة
4989
بيانات الشركة المصنعة \\ \'ق الاستقرار

البولي فين كلوريد الصوديوم 0.9% 20 mg/ml 2-8°C بعيدا عن الضوء
6 يوم
4989
بيانات الشركة المصنعة \\ \'ق الاستقرار

البولي فين كلوريد الصوديوم 0.9% 20 mg/ml 25°C ضوء
24 ساعة
4989
بيانات الشركة المصنعة \\ \'ق الاستقرار

البولي فين الجلوكوز %5 2 mg/ml 2-8°C بعيدا عن الضوء
6 يوم
4989
بيانات الشركة المصنعة \\ \'ق الاستقرار

البولي فين الجلوكوز %5 2 mg/ml 25°C ضوء
60 ساعة
4989
بيانات الشركة المصنعة \\ \'ق الاستقرار

البولي فين الجلوكوز %5 20 mg/ml 2-8°C بعيدا عن الضوء
3 يوم
4989
بيانات الشركة المصنعة \\ \'ق الاستقرار

البولي فين الجلوكوز %5 20 mg/ml 25°C ضوء
24 ساعة
4989
بيانات الشركة المصنعة \\ \'ق الاستقرار

لم يتم تحديد كلوريد الصوديوم 0.9% 20 mg/ml 2-8°C لم يتم تحديد
6 يوم
4865
بيانات الشركة المصنعة \\ \'ق الاستقرار

لم يتم تحديد كلوريد الصوديوم 0.9% 20 mg/ml 25°C لم يتم تحديد
24 ساعة
4865
بيانات الشركة المصنعة \\ \'ق الاستقرار

لم يتم تحديد الجلوكوز %5 2 mg/ml 2-8°C لم يتم تحديد
36 ساعة
4865
بيانات الشركة المصنعة \\ \'ق الاستقرار

لم يتم تحديد الجلوكوز %5 2 mg/ml 25°C لم يتم تحديد
24 ساعة
4865
بيانات الشركة المصنعة \\ \'ق الاستقرار

لم يتم تحديد كلوريد الصوديوم 0.45% 2 mg/ml 2-8°C لم يتم تحديد
6 يوم
4865
بيانات الشركة المصنعة \\ \'ق الاستقرار

لم يتم تحديد كلوريد الصوديوم 0.45% 2 mg/ml 25°C لم يتم تحديد
24 ساعة
4865
بيانات الشركة المصنعة \\ \'ق الاستقرار


  Mentions Légales