Última actualización :
17/12/2025
fármacos contra el cáncer   Cyclophosphamide  
Inyectables
Cápsula Solución Oral
Estabilidad en solucion Estabilidad en mezcla Factores que influyen sobre la estabilidad Compatibilidades método de inyección Bibliografía pdf
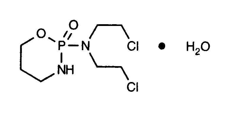
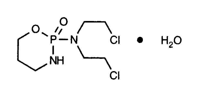
   Estructura química  

Nombre comercial   Nombre comercial     

Los nombres comerciales son orientativos y los excipientes de la formulación pueden ser distintos dependiendo del país y del laboratorio fabricante.

Alkyloxan Egipto, Malasia
Celomide India
Ciclofosfamida Argentina, Chile, Rumania
Cicloxal España
Cryofaxol México
Cycloblastin Australia
Cycloblastine Países Bajos
Cyclophosphamid Alemania, Dinamarca
Cyclophosphamide Arabia Saudita, Estados Unidos de América, Gran Bretaña, Nueva Zelanda
Cyclostin Alemania
Cycloxan Malasia
Cycram Egipto
Cytoxan Canadá, Estados Unidos de América, Hungría
Eldamide India
Endoxan Alemania, Arabia Saudita, Australia, Austria, Bélgica, Chile, Colombia, Croacia, Ecuador, Emiratos Árabes Unidos, Eslovenia, Francia, Grecia, Hungría, India, Irán, Italia, Luxemburgo, Marruecos, Nueva Zelanda, Países Bajos, Polonia, Portugal, Suiza, Tailandia, Túnez, Turquía, Venezuela
Endoxana Gran Bretaña, Irlanda
Formitex Colombia, México
Genoxal España
Genuxal Brasil
Hidrofosmin México
Ledoxan Colombia
Ledoxina Colombia, México
Neophos Egipto
Neosar Estados Unidos de América
Procytox Canadá
Sendoxan Dinamarca, Finlandia, Islandia, Noruega, Suecia
Syklofosfamid Finlandia, Turquía
Estabilidad en solucion   Inyectables   Estabilidad en solucion : Cyclophosphamide     
Envase Solvente Concentración Temperatura Conservación Duración de la estabilidad Bibliografía
Vidrio Agua para preparación inyectable 20 mg/ml 24-27°C No precisada
4 Día
1728
Nivel de evidencia B

Vidrio Agua para preparación inyectable 20 mg/ml 4°C A cubierto de la luz
7 Día
172
Nivel de evidencia A

Vidrio Agua para preparación inyectable 20 mg/ml 5°C A cubierto de la luz
14 Día
1728
Nivel de evidencia B

Vidrio Cloruro de sodio 0,9% 0,4 mg/ml 2-8°C A cubierto de la luz
14 Día
1728
Nivel de evidencia B

Vidrio Cloruro de sodio 0,9% 0,4 mg/ml 21-25°C No precisada
6 Día
1728
Nivel de evidencia B

Vidrio Cloruro de sodio 0,9% 1 mg/ml 25°C A cubierto de la luz
7 Día
172
Nivel de evidencia A

Vidrio Cloruro de sodio 0,9% 1 mg/ml 4°C A cubierto de la luz
7 Día
172
Nivel de evidencia A

Vidrio Glucosa 5% 1 mg/ml 25°C A cubierto de la luz
7 Día
172
Nivel de evidencia A

Vidrio Glucosa 5% 1 mg/ml 4°C A cubierto de la luz
7 Día
172
Nivel de evidencia A

Cloruro de polivinilo Agua para preparación inyectable 20 mg/ml 4°C A cubierto de la luz
7 Día
172
Nivel de evidencia A

Cloruro de polivinilo Cloruro de sodio 0,9% 1 mg/ml 25°C A cubierto de la luz
7 Día
172
Nivel de evidencia A

Cloruro de polivinilo Cloruro de sodio 0,9% 1 mg/ml 4°C A cubierto de la luz
7 Día
172
Nivel de evidencia A

Cloruro de polivinilo Cloruro de sodio 0,9% 10 mg/ml 4°C A cubierto de la luz
30 Día
40
Nivel de evidencia D

Cloruro de polivinilo Glucosa 5% 1 mg/ml 25°C A cubierto de la luz
2 Día
172
Nivel de evidencia A

Cloruro de polivinilo Glucosa 5% 1 mg/ml 4°C A cubierto de la luz
7 Día
172
Nivel de evidencia A

Cloruro de polivinilo Glucosa 5% 10 mg/ml 4°C A cubierto de la luz
30 Día
40
Nivel de evidencia D

Polietileno Cloruro de sodio 0,9% 0,24 & 6,4 mg/ml 25°C A cubierto de la luz
7 Día
1520
Datos de estabilidad del fabricante

Polietileno Glucosa 5% 0,24 & 6,4 mg/ml 25°C A cubierto de la luz
7 Día
1520
Datos de estabilidad del fabricante

Poliolefina Cloruro de sodio 0,9% 2 mg/ml 2-8°C A cubierto de la luz
5 Día
4989
Datos de estabilidad del fabricante

Poliolefina Cloruro de sodio 0,9% 2 mg/ml 25°C Luz
60 Hora
4989
Datos de estabilidad del fabricante

Poliolefina Cloruro de sodio 0,9% 20 mg/ml 2-8°C A cubierto de la luz
6 Día
4989
Datos de estabilidad del fabricante

Poliolefina Cloruro de sodio 0,9% 20 mg/ml 25°C Luz
24 Hora
4989
Datos de estabilidad del fabricante

Poliolefina Glucosa 5% 2 mg/ml 2-8°C A cubierto de la luz
6 Día
4989
Datos de estabilidad del fabricante

Poliolefina Glucosa 5% 2 mg/ml 25°C Luz
60 Hora
4989
Datos de estabilidad del fabricante

Poliolefina Glucosa 5% 20 mg/ml 2-8°C A cubierto de la luz
3 Día
4989
Datos de estabilidad del fabricante

Poliolefina Glucosa 5% 20 mg/ml 25°C Luz
24 Hora
4989
Datos de estabilidad del fabricante

No precisado Cloruro de sodio 0,9% 20 mg/ml 2-8°C No precisada
6 Día
4865
Datos de estabilidad del fabricante

No precisado Cloruro de sodio 0,9% 20 mg/ml 25°C No precisada
24 Hora
4865
Datos de estabilidad del fabricante

No precisado Glucosa 5% 2 mg/ml 2-8°C No precisada
36 Hora
4865
Datos de estabilidad del fabricante

No precisado Glucosa 5% 2 mg/ml 25°C No precisada
24 Hora
4865
Datos de estabilidad del fabricante

No precisado Cloruro de sodio 0,45% 2 mg/ml 2-8°C No precisada
6 Día
4865
Datos de estabilidad del fabricante

No precisado Cloruro de sodio 0,45% 2 mg/ml 25°C No precisada
24 Hora
4865
Datos de estabilidad del fabricante


  Mentions Légales