zadnja posodobitev :
17/12/2025
rak drog   Cyclophosphamide  
Brizgalka
Kapsula Peroralna raztopina
Stabilnost raztopine Stabilnost mešanice Faktorji, ki vplivajo na stabilnost Kompatibilnost način aplikacije Viri pdf
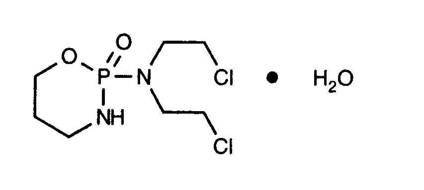
   Kemična formula  

Lastniško ime   Lastniško ime     

Sestava pomožnih snovi je med paralelami lahko različna

Alkyloxan Egipt, Malezija
Celomide Indija
Ciclofosfamida Argentina, Čile, Romunija
Cicloxal Španija
Cryofaxol Mehika
Cycloblastin Avstralija
Cycloblastine Nizozemska
Cyclophosphamid Danska, Nemčija
Cyclophosphamide nova Zelandija, Savdska Arabija, Velika Britanija, Združene države Amerike
Cyclostin Nemčija
Cycloxan Malezija
Cycram Egipt
Cytoxan Kanada, Madžarska, Združene države Amerike
Eldamide Indija
Endoxan Avstralija, Avstrija, Belgija, Čile, Ekvador, Francija, Grčija, Hrvaška, Indija, Iran, Italija, Kolumbija, Luksemburg, Madžarska, Maroko, Nemčija, Nizozemska, nova Zelandija, Poljska, Portugalska, Savdska Arabija, Slovenija, Švica, Tajska, Tunizija, Turčija, Venezuela, Združeni arabski emirati
Endoxana Irska, Velika Britanija
Formitex Kolumbija, Mehika
Genoxal Španija
Genuxal Brazilija
Hidrofosmin Mehika
Ledoxan Kolumbija
Ledoxina Kolumbija, Mehika
Neophos Egipt
Neosar Združene države Amerike
Procytox Kanada
Sendoxan Danska, Finska, Islandija, Norveška, Švedska
Syklofosfamid Finska, Turčija
Stabilnost raztopine   Brizgalka   Stabilnost raztopine : Cyclophosphamide     
Vsebnik Topilo Koncentracija Temperatura Shranjevanje Trajanje stabilnosti Viri
Steklo Voda za injekcije 20 mg/ml 24-27°C Nedoločeno
4 Dan
1728
 Stopnja dokaza B

Steklo Voda za injekcije 20 mg/ml 4°C Zaščiteno pred svetlobo
7 Dan
172
 Stopnja dokaza A

Steklo Voda za injekcije 20 mg/ml 5°C Zaščiteno pred svetlobo
14 Dan
1728
 Stopnja dokaza B

Steklo Natrijev klorid 0,9% 0,4 mg/ml 2-8°C Zaščiteno pred svetlobo
14 Dan
1728
 Stopnja dokaza B

Steklo Natrijev klorid 0,9% 0,4 mg/ml 21-25°C Nedoločeno
6 Dan
1728
 Stopnja dokaza B

Steklo Natrijev klorid 0,9% 1 mg/ml 25°C Zaščiteno pred svetlobo
7 Dan
172
 Stopnja dokaza A

Steklo Natrijev klorid 0,9% 1 mg/ml 4°C Zaščiteno pred svetlobo
7 Dan
172
 Stopnja dokaza A

Steklo Glukoza 5% 1 mg/ml 25°C Zaščiteno pred svetlobo
7 Dan
172
 Stopnja dokaza A

Steklo Glukoza 5% 1 mg/ml 4°C Zaščiteno pred svetlobo
7 Dan
172
 Stopnja dokaza A

Polivinil klorid Voda za injekcije 20 mg/ml 4°C Zaščiteno pred svetlobo
7 Dan
172
 Stopnja dokaza A

Polivinil klorid Natrijev klorid 0,9% 1 mg/ml 25°C Zaščiteno pred svetlobo
7 Dan
172
 Stopnja dokaza A

Polivinil klorid Natrijev klorid 0,9% 1 mg/ml 4°C Zaščiteno pred svetlobo
7 Dan
172
 Stopnja dokaza A

Polivinil klorid Natrijev klorid 0,9% 10 mg/ml 4°C Zaščiteno pred svetlobo
30 Dan
40
 Stopnja dokaza D

Polivinil klorid Glukoza 5% 1 mg/ml 25°C Zaščiteno pred svetlobo
2 Dan
172
 Stopnja dokaza A

Polivinil klorid Glukoza 5% 1 mg/ml 4°C Zaščiteno pred svetlobo
7 Dan
172
 Stopnja dokaza A

Polivinil klorid Glukoza 5% 10 mg/ml 4°C Zaščiteno pred svetlobo
30 Dan
40
 Stopnja dokaza D

Polietilen Natrijev klorid 0,9% 0,24 & 6,4 mg/ml 25°C Zaščiteno pred svetlobo
7 Dan
1520
Podatki stabilnosti proizvajalca

Polietilen Glukoza 5% 0,24 & 6,4 mg/ml 25°C Zaščiteno pred svetlobo
7 Dan
1520
Podatki stabilnosti proizvajalca

Poliolefin Natrijev klorid 0,9% 2 mg/ml 2-8°C Zaščiteno pred svetlobo
5 Dan
4989
Podatki stabilnosti proizvajalca

Poliolefin Natrijev klorid 0,9% 2 mg/ml 25°C Svetloba
60 čas
4989
Podatki stabilnosti proizvajalca

Poliolefin Natrijev klorid 0,9% 20 mg/ml 2-8°C Zaščiteno pred svetlobo
6 Dan
4989
Podatki stabilnosti proizvajalca

Poliolefin Natrijev klorid 0,9% 20 mg/ml 25°C Svetloba
24 čas
4989
Podatki stabilnosti proizvajalca

Poliolefin Glukoza 5% 2 mg/ml 2-8°C Zaščiteno pred svetlobo
6 Dan
4989
Podatki stabilnosti proizvajalca

Poliolefin Glukoza 5% 2 mg/ml 25°C Svetloba
60 čas
4989
Podatki stabilnosti proizvajalca

Poliolefin Glukoza 5% 20 mg/ml 2-8°C Zaščiteno pred svetlobo
3 Dan
4989
Podatki stabilnosti proizvajalca

Poliolefin Glukoza 5% 20 mg/ml 25°C Svetloba
24 čas
4989
Podatki stabilnosti proizvajalca

Nedoločeno Natrijev klorid 0,9% 20 mg/ml 2-8°C Nedoločeno
6 Dan
4865
Podatki stabilnosti proizvajalca

Nedoločeno Natrijev klorid 0,9% 20 mg/ml 25°C Nedoločeno
24 čas
4865
Podatki stabilnosti proizvajalca

Nedoločeno Glukoza 5% 2 mg/ml 2-8°C Nedoločeno
36 čas
4865
Podatki stabilnosti proizvajalca

Nedoločeno Glukoza 5% 2 mg/ml 25°C Nedoločeno
24 čas
4865
Podatki stabilnosti proizvajalca

Nedoločeno Natrijev klorid 0,45% 2 mg/ml 2-8°C Nedoločeno
6 Dan
4865
Podatki stabilnosti proizvajalca

Nedoločeno Natrijev klorid 0,45% 2 mg/ml 25°C Nedoločeno
24 čas
4865
Podatki stabilnosti proizvajalca


  Mentions Légales