Senaste uppdateringen :
18/03/2026
cancerläkemedel   Cyclophosphamide  
injektion
Kapsel Oral lösning
Lösningars stabilitet Stabilitet i blandningar Faktorer som påverkar stabiliteten Kompatibilitet Administreringssätt Hänvisningar pdf
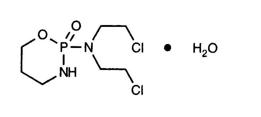
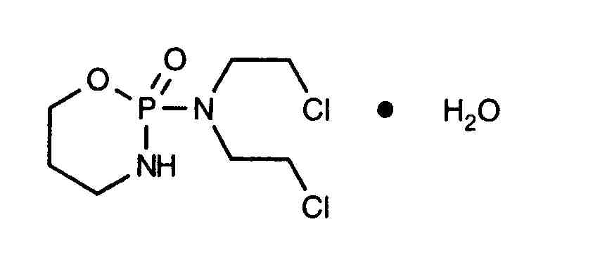
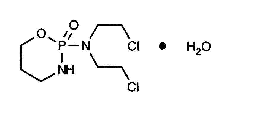
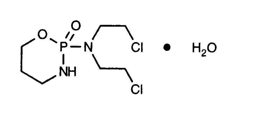
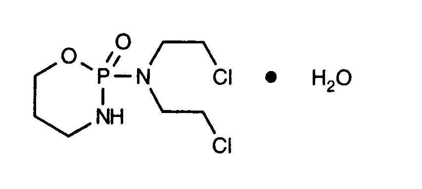
   Molekylstruktur  

Varunamn   Varunamn     

Angivna handelsnamn på läkemedel är enbart vägledande då formulering inklusive hjälpämnen kan variera mellan länder och tillverkare

Alkyloxan Egypten, Malaysia
Celomide Indien
Ciclofosfamida Argentina, Chile, Rumänien
Cicloxal Spanien
Cryofaxol Mexiko
Cycloblastin Australien
Cycloblastine Nederländerna
Cyclophosphamid Danmark, Tyskland
Cyclophosphamide Förenta Staterna, nya Zeeland, Saudi-Arabien, Storbritannien
Cyclostin Tyskland
Cycloxan Malaysia
Cycram Egypten
Cytoxan Förenta Staterna, Kanada, Ungern
Eldamide Indien
Endoxan Australien, Belgien, Chile, Colombia, Ecuador, Förenade Arabemiraten, Frankrike, Grekland, Indien, Iran, Italien, Kroatien, Luxemburg, Marocko, Nederländerna, nya Zeeland, Österrike, Polen, Portugal, Saudi-Arabien, Schweiz, Slovenien, Thailand, Tunisien, Turkiet, Tyskland, Ungern, Venezuela
Endoxana Irland, Storbritannien
Formitex Colombia, Mexiko
Genoxal Spanien
Genuxal Brasilien
Hidrofosmin Mexiko
Ledoxan Colombia
Ledoxina Colombia, Mexiko
Neophos Egypten
Neosar Förenta Staterna
Procytox Kanada
Sendoxan Danmark, Finland, Island, Norge, Sverige
Syklofosfamid Finland, Turkiet
Kompatibilitet   injektion   Kompatibilitet : Cyclophosphamide              
Den här skärmen visar kompatibiliteten eller inkompatibiliteten med, i detta fall, typen av inkompatibilitet (utfällning, färgförändring, modifiering av en emulsion, etc.). De kompatibiliteter som visas här är oftast endast fysiska, varvid den kemiska stabiliteten för varje molekyl sällan utvärderas. Utvärderingen av dessa blandningar studerades för att överväga möjligheten för Y-platsadministrering till patienten. Dessa data kan inte användas för att göra blandningar i förväg i påsar eller sprutor. Denna typ av information finns på skärmen "Stabilitet i blandning".
Substans Lösningsmedel Hänvisningar
Kompatibel
injektion Cyclophosphamide 20 mg/ml
NaHCO3 150
Kompatibel
injektion Cyclophosphamide
Natriumklorid 0,9 % 4865
Kompatibel
injektion Cyclophosphamide
NaCl 0,45 % Glukos 5 % 4865
Kompatibel
injektion Cyclophosphamide 10 mg/ml
Parenteral nutrition (binär blandning) 301
Kompatibel
injektion Cyclophosphamide 10 mg/ml
Parenteral nutrition (med lipider) 1415
Kompatibel
injektion Cyclophosphamide
Glukos 5 % 4989
Kompatibel
injektion Cyclophosphamide 10 mg/ml
injektion Allopurinol sodium 3 mg/ml
Natriumklorid 0,9 % 307
Kompatibel
injektion Cyclophosphamide 10 mg/ml
injektion Amifostine 10 mg/ml
Glukos 5 % 3
Omedelbar grumlighet Oförenlig
injektion Cyclophosphamide 10 mg/ml
injektion Amphotericin B cholesteryl sulfate complex 0.83 mg/ml
Glukos 5 % 921
Kompatibel
injektion Cyclophosphamide
Natriumklorid 0,9 % 4989
Kompatibel
injektion Cyclophosphamide 10 mg/ml
injektion Anidulafungin 0.5 mg/ml
Glukos 5 % 1982
Kompatibel
injektion Cyclophosphamide 10 mg/ml
injektion Aztreonam 40 mg/ml
Glukos 5 % 99
Kompatibel
injektion Cyclophosphamide 10 mg/ml
injektion Cladribine 0.5 mg/ml
NaCl 0,9 % + bakteriostatisk substans 1496
Kompatibel
injektion Cyclophosphamide 10 mg/ml
injektion Cladribine 0.015 mg/ml
Natriumklorid 0,9 % 1496
Kompatibel
injektion Cyclophosphamide 10 mg/ml
injektion Doripenem 5 mg/ml
Glukos 5 % 2262
Kompatibel
injektion Cyclophosphamide 10 mg/ml
injektion Doripenem 5 mg/ml
Natriumklorid 0,9 % 2262
Kompatibel
injektion Cyclophosphamide 10 mg/ml
injektion Doxorubicin hydrochloride liposome peg 0.4 mg/ml
Glukos 5 % 251
Kompatibel
injektion Cyclophosphamide 10 mg/ml
injektion Etoposide phosphate 5 mg/ml
Glukos 5 % 1410
Kompatibel
injektion Cyclophosphamide 10 mg/ml
injektion Filgrastim 30 µg/ml
Glukos 5 % 244
Kompatibel
injektion Cyclophosphamide 10 mg/ml
injektion Fludarabine phosphate 1 mg/ml
Glukos 5 % 492
Kompatibel
injektion Cyclophosphamide 20 mg/ml
injektion Gallium nitrate 1 mg/ml
Natriumklorid 0,9 % 91
Kompatibel
injektion Cyclophosphamide 10 mg/ml
injektion Gemcitabine hydrochloride 10 mg/ml
Natriumklorid 0,9 % 1423
Kompatibel
injektion Cyclophosphamide 2 mg/ml
injektion Granisetron hydrochloride 1 mg/ml
Vatten för injektion 57
Kompatibel
injektion Cyclophosphamide 1 mg/ml
injektion Hydroxyzine dihydrochloride 0.5 mg/ml
Glukos 5 % 331
Kompatibel
injektion Cyclophosphamide 4 mg/ml
injektion Idarubicin hydrochloride 1 mg/ml
Natriumklorid 0,9 % 491
Utfällning efter 4 timmar Oförenlig
injektion Cyclophosphamide 10 mg/ml
injektion Lansoprazole 0.55 mg/ml
Natriumklorid 0,9 % 1625
Kompatibel
injektion Cyclophosphamide 10 mg/ml
injektion Linezolid 2 mg/ml
Ingen 1925
Kompatibel
injektion Cyclophosphamide 10 mg/ml
injektion Melphalan 0.1 mg/ml
Natriumklorid 0,9 % 169
Kompatibel
injektion Cyclophosphamide 1.8 mg/ml
injektion Mesna 0.54 mg/ml
Glukos 5 % 1833
Kompatibel
injektion Cyclophosphamide 10.8 mg/ml
injektion Mesna 3.2 mg/ml
Glukos 5 % 1833
Kompatibel
injektion Cyclophosphamide 1 >> 10 mg/ml
injektion Mesna 0.2 >> 10 mg/ml
Natriumklorid 0,9 % 2104
Kompatibel
injektion Cyclophosphamide 20 mg/ml
injektion Methotrexate sodium 30 mg/ml
Natriumklorid 0,9 % 150
Ospecificerad inkompatibilitet Oförenlig
injektion Cyclophosphamide
injektion Mitomycin
4471
Kemisk instabilitet Oförenlig
injektion Cyclophosphamide
injektion Mitomycin
3128
Kompatibel
injektion Cyclophosphamide 2 mg/ml
injektion Ondansetron hydrochloride 0,4 mg/ml
Natriumklorid 0,9 % 50
Kompatibel
injektion Cyclophosphamide 0,3 mg/ml
injektion Ondansetron hydrochloride 0,05 mg/ml
Natriumklorid 0,9 % 50
Kompatibel
injektion Cyclophosphamide 20 mg/ml
injektion Ondansetron hydrochloride 0,016 >> 0,16 mg/ml
Vatten för injektion 3574
Kompatibel
injektion Cyclophosphamide 0,3 mg/ml
injektion Ondansetron hydrochloride 0,05 mg/ml
Glukos 5 % 50
Kompatibel
injektion Cyclophosphamide 2 mg/ml
injektion Ondansetron hydrochloride 0,4 mg/ml
Glukos 5 % 50
Kompatibel
injektion Cyclophosphamide 10 mg/ml
injektion Ondansetron hydrochloride 1 mg/ml
Natriumklorid 0,9 % 334
Kompatibel
injektion Cyclophosphamide 10 mg/ml
injektion Oxaliplatin 0,5 mg/ml
Glukos 5 % 1662
Kompatibel
injektion Cyclophosphamide 10 mg/ml
injektion Paclitaxel 1.2 mg/ml
Glukos 5 % 85
Kompatibel
injektion Cyclophosphamide 10 mg/ml
injektion Palonosetron hydrochloride 50 µg/ml
Glukos 5 % 2016
Kompatibel
injektion Cyclophosphamide 10 mg/ml
injektion Pemetrexed disodium 20 mg/ml
Natriumklorid 0,9 % 1953
Kompatibel
injektion Cyclophosphamide 10 mg/ml
injektion Piperacillin sodium / tazobactam 40/5 mg/ml
Glukos 5 % 81
Kompatibel
injektion Cyclophosphamide 10 mg/ml
injektion Propofol 10 mg/ml
Ingen 300
Emulsionens instabilitet efter 24 timmar Oförenlig
injektion Cyclophosphamide 4 mg/ml
injektion Propofol
660
Kompatibel
injektion Cyclophosphamide 10 mg/ml
injektion Sargramostim 10 µg/ml
Natriumklorid 0,9 % 335
Kompatibel
injektion Cyclophosphamide 20 mg/ml
injektion Sodium bicarbonate 14 mg/ml
Ingen 150
Kompatibel
injektion Cyclophosphamide 10 mg/ml
injektion Teniposide 0.1 mg/ml
Glukos 5 % 905
Kompatibel
injektion Cyclophosphamide 10 mg/ml
injektion Thiotepa 1 mg/ml
Glukos 5 % 249
Kompatibel
injektion Cyclophosphamide 20 mg/ml
injektion Topotecan 0.056 mg/ml
Glukos 5 % 1026
Kompatibel
injektion Cyclophosphamide 20 mg/ml
injektion Topotecan 0.056 mg/ml
Natriumklorid 0,9 % 1026
Kompatibel
injektion Cyclophosphamide 10 mg/ml
injektion Vinorelbine tartrate 1 mg/ml
Natriumklorid 0,9 % 84

  Mentions Légales