Última actualização :
18/03/2026
droga contra o câncer   Cyclophosphamide  
injetável
Cápsula Solução Oral
Estabilidade em soluções simples Estabilidade em misturas Factores que afectam a sua estabilidade Compatibilidade Método de administração Bibliografía pdf
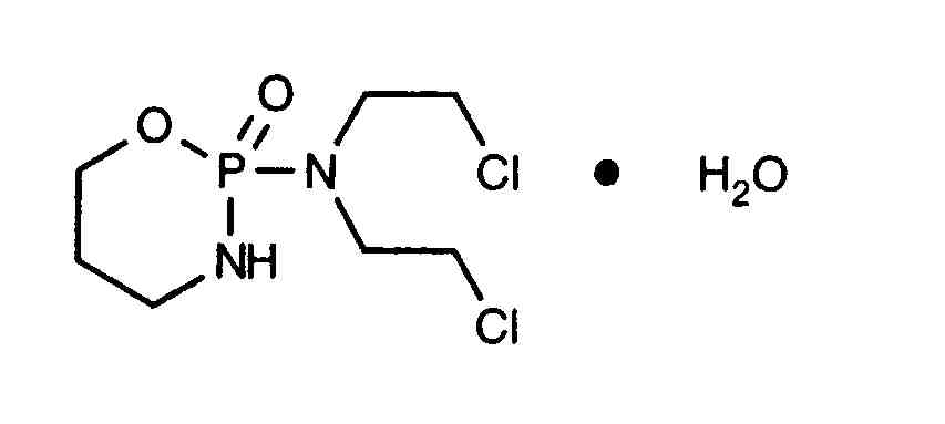
   estrutura química  

Nomes comerciais nos diversos países   Nomes comerciais nos diversos países     

OS NOMES COMERCIAIS SÃO INDICATIVOS E OS EXCIPIENTES DA FORMULAÇÃO PODEM SER DIFERENTES CONFORME O PAÍS E FABRICANTE.

Alkyloxan Egipto, Malásia
Celomide Índia
Ciclofosfamida Argentina, Chilli, Romènia
Cicloxal Espanha
Cryofaxol México
Cycloblastin Australia
Cycloblastine Países Baixos
Cyclophosphamid Alemanha, Dinamarca
Cyclophosphamide Arábia Saudita, Estados Unidos de América, Gran-bretanha, nova Zelândia
Cyclostin Alemanha
Cycloxan Malásia
Cycram Egipto
Cytoxan Canadá, Estados Unidos de América, Hungria
Eldamide Índia
Endoxan Alemanha, Arábia Saudita, Australia, Austria, Bélgica, Chilli, Colômbia, Croácia, Emirados Árabes Unidos, Equator, Eslovenia, França, Grècia, Hungria, Índia, Irã, Itália, Luxemburgo, Marrocos, nova Zelândia, Países Baixos, Polonia, Portugal, Suicia, Tailandia, Tunísia, Turquia, Venezuela
Endoxana Gran-bretanha, Irlanda
Formitex Colômbia, México
Genoxal Espanha
Genuxal Brasil
Hidrofosmin México
Ledoxan Colômbia
Ledoxina Colômbia, México
Neophos Egipto
Neosar Estados Unidos de América
Procytox Canadá
Sendoxan Dinamarca, Finlandia, Islandia, Noruega, Suècia
Syklofosfamid Finlandia, Turquia
Compatibilidade   injetável   Compatibilidade : Cyclophosphamide              
Este ecrã indica as compatibilidades ou incompatibilidades com, neste caso, o tipo de incompatibilidade (precipitação, mudança de cor, modificação de uma emulsão, etc.). As compatibilidades mostradas aqui são principalmente físicas, com a estabilidade química de cada molécula raramente sendo avaliada. A avaliação dessas misturas foi estudada para considerar a possibilidade de administração do local Y ao paciente. Estes dados não podem ser usados para fazer misturas antecipadamente em sacos ou seringas. Este tipo de informação está disponível na tela “Estabilidade na mistura».
molécula Solvente Bibliografia
Compatível
injetável Cyclophosphamide 20 mg/ml
NaHCO3 150
Compatível
injetável Cyclophosphamide
cloreto de sódio 0,9% 4865
Compatível
injetável Cyclophosphamide
NaCl 0,45% Glucose 5% 4865
Compatível
injetável Cyclophosphamide 10 mg/ml
Nutrição parenterica (mistura binária) 301
Compatível
injetável Cyclophosphamide 10 mg/ml
Nutrição parenteral (com lípidos) 1415
Compatível
injetável Cyclophosphamide
Glucose 5% 4989
Compatível
injetável Cyclophosphamide 10 mg/ml
injetável Allopurinol sodium 3 mg/ml
cloreto de sódio 0,9% 307
Compatível
injetável Cyclophosphamide 10 mg/ml
injetável Amifostine 10 mg/ml
Glucose 5% 3
Turvação imediata Incompatível
injetável Cyclophosphamide 10 mg/ml
injetável Amphotericin B cholesteryl sulfate complex 0.83 mg/ml
Glucose 5% 921
Compatível
injetável Cyclophosphamide
cloreto de sódio 0,9% 4989
Compatível
injetável Cyclophosphamide 10 mg/ml
injetável Anidulafungin 0.5 mg/ml
Glucose 5% 1982
Compatível
injetável Cyclophosphamide 10 mg/ml
injetável Aztreonam 40 mg/ml
Glucose 5% 99
Compatível
injetável Cyclophosphamide 10 mg/ml
injetável Cladribine 0.5 mg/ml
NaCl 0,9% + bacteriostático 1496
Compatível
injetável Cyclophosphamide 10 mg/ml
injetável Cladribine 0.015 mg/ml
cloreto de sódio 0,9% 1496
Compatível
injetável Cyclophosphamide 10 mg/ml
injetável Doripenem 5 mg/ml
Glucose 5% 2262
Compatível
injetável Cyclophosphamide 10 mg/ml
injetável Doripenem 5 mg/ml
cloreto de sódio 0,9% 2262
Compatível
injetável Cyclophosphamide 10 mg/ml
injetável Doxorubicin hydrochloride liposome peg 0.4 mg/ml
Glucose 5% 251
Compatível
injetável Cyclophosphamide 10 mg/ml
injetável Etoposide phosphate 5 mg/ml
Glucose 5% 1410
Compatível
injetável Cyclophosphamide 10 mg/ml
injetável Filgrastim 30 µg/ml
Glucose 5% 244
Compatível
injetável Cyclophosphamide 10 mg/ml
injetável Fludarabine phosphate 1 mg/ml
Glucose 5% 492
Compatível
injetável Cyclophosphamide 20 mg/ml
injetável Gallium nitrate 1 mg/ml
cloreto de sódio 0,9% 91
Compatível
injetável Cyclophosphamide 10 mg/ml
injetável Gemcitabine hydrochloride 10 mg/ml
cloreto de sódio 0,9% 1423
Compatível
injetável Cyclophosphamide 2 mg/ml
injetável Granisetron hydrochloride 1 mg/ml
Agua para injectaveis 57
Compatível
injetável Cyclophosphamide 1 mg/ml
injetável Hydroxyzine dihydrochloride 0.5 mg/ml
Glucose 5% 331
Compatível
injetável Cyclophosphamide 4 mg/ml
injetável Idarubicin hydrochloride 1 mg/ml
cloreto de sódio 0,9% 491
Precipitação após 4 horas Incompatível
injetável Cyclophosphamide 10 mg/ml
injetável Lansoprazole 0.55 mg/ml
cloreto de sódio 0,9% 1625
Compatível
injetável Cyclophosphamide 10 mg/ml
injetável Linezolid 2 mg/ml
nenhum 1925
Compatível
injetável Cyclophosphamide 10 mg/ml
injetável Melphalan 0.1 mg/ml
cloreto de sódio 0,9% 169
Compatível
injetável Cyclophosphamide 1.8 mg/ml
injetável Mesna 0.54 mg/ml
Glucose 5% 1833
Compatível
injetável Cyclophosphamide 10.8 mg/ml
injetável Mesna 3.2 mg/ml
Glucose 5% 1833
Compatível
injetável Cyclophosphamide 1 >> 10 mg/ml
injetável Mesna 0.2 >> 10 mg/ml
cloreto de sódio 0,9% 2104
Compatível
injetável Cyclophosphamide 20 mg/ml
injetável Methotrexate sodium 30 mg/ml
cloreto de sódio 0,9% 150
Incompatibilidade não especificada Incompatível
injetável Cyclophosphamide
injetável Mitomycin
4471
Instabilidade química Incompatível
injetável Cyclophosphamide
injetável Mitomycin
3128
Compatível
injetável Cyclophosphamide 2 mg/ml
injetável Ondansetron hydrochloride 0,4 mg/ml
cloreto de sódio 0,9% 50
Compatível
injetável Cyclophosphamide 0,3 mg/ml
injetável Ondansetron hydrochloride 0,05 mg/ml
cloreto de sódio 0,9% 50
Compatível
injetável Cyclophosphamide 20 mg/ml
injetável Ondansetron hydrochloride 0,016 >> 0,16 mg/ml
Agua para injectaveis 3574
Compatível
injetável Cyclophosphamide 0,3 mg/ml
injetável Ondansetron hydrochloride 0,05 mg/ml
Glucose 5% 50
Compatível
injetável Cyclophosphamide 2 mg/ml
injetável Ondansetron hydrochloride 0,4 mg/ml
Glucose 5% 50
Compatível
injetável Cyclophosphamide 10 mg/ml
injetável Ondansetron hydrochloride 1 mg/ml
cloreto de sódio 0,9% 334
Compatível
injetável Cyclophosphamide 10 mg/ml
injetável Oxaliplatin 0,5 mg/ml
Glucose 5% 1662
Compatível
injetável Cyclophosphamide 10 mg/ml
injetável Paclitaxel 1.2 mg/ml
Glucose 5% 85
Compatível
injetável Cyclophosphamide 10 mg/ml
injetável Palonosetron hydrochloride 50 µg/ml
Glucose 5% 2016
Compatível
injetável Cyclophosphamide 10 mg/ml
injetável Pemetrexed disodium 20 mg/ml
cloreto de sódio 0,9% 1953
Compatível
injetável Cyclophosphamide 10 mg/ml
injetável Piperacillin sodium / tazobactam 40/5 mg/ml
Glucose 5% 81
Compatível
injetável Cyclophosphamide 10 mg/ml
injetável Propofol 10 mg/ml
nenhum 300
Instabilidade da emulsão após 24 horas Incompatível
injetável Cyclophosphamide 4 mg/ml
injetável Propofol
660
Compatível
injetável Cyclophosphamide 10 mg/ml
injetável Sargramostim 10 µg/ml
cloreto de sódio 0,9% 335
Compatível
injetável Cyclophosphamide 20 mg/ml
injetável Sodium bicarbonate 14 mg/ml
nenhum 150
Compatível
injetável Cyclophosphamide 10 mg/ml
injetável Teniposide 0.1 mg/ml
Glucose 5% 905
Compatível
injetável Cyclophosphamide 10 mg/ml
injetável Thiotepa 1 mg/ml
Glucose 5% 249
Compatível
injetável Cyclophosphamide 20 mg/ml
injetável Topotecan 0.056 mg/ml
Glucose 5% 1026
Compatível
injetável Cyclophosphamide 20 mg/ml
injetável Topotecan 0.056 mg/ml
cloreto de sódio 0,9% 1026
Compatível
injetável Cyclophosphamide 10 mg/ml
injetável Vinorelbine tartrate 1 mg/ml
cloreto de sódio 0,9% 84

  Mentions Légales