viimane versioon :
18/03/2026
vähiravimite   Cyclophosphamide  
Süsteravim
kapsel suukaudne lahus
Stabiilsus lahustes Stabiilsust mõjutavad tegurid stabiilsust mõjutavad faktorid Sobimatus Manustamis viis Viited pdf
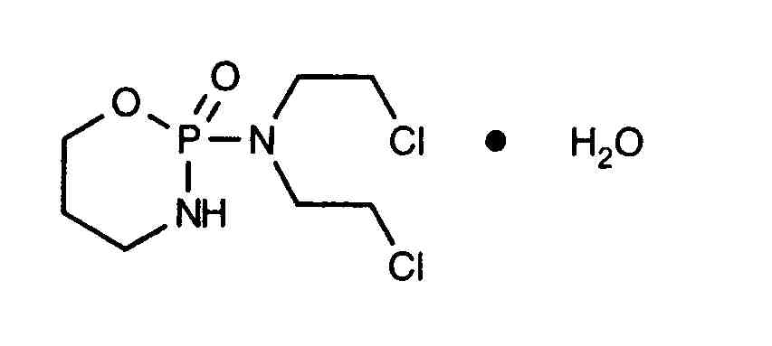
   keemiline struktuur  

Kaubanduslikud nimed erinevates maades   Kaubanduslikud nimed erinevates maades     

Preparaatide nimed on näitlikud ja abianete sisaldus võib erineda sõltuvalt riigist ja laborist

Alkyloxan Egiptus, Malaisia
Celomide India
Ciclofosfamida Argentiina, Rumeenia, Tšiili
Cicloxal Hispaania
Cryofaxol Mehhiko
Cycloblastin Austraalia
Cycloblastine Holland
Cyclophosphamid Saksamaa, Taani
Cyclophosphamide Ameerika ühendriigid, Saudi Araabia, Suurbritannia, uus-Meremaa
Cyclostin Saksamaa
Cycloxan Malaisia
Cycram Egiptus
Cytoxan Ameerika ühendriigid, Kanada, Ungari
Eldamide India
Endoxan Araabia Ühendemiraadid, Austraalia, Austria, Belgia, Ecuador, Holland, Horvaatia, India, Iraan, Itaalia, Kolumbia, Kreeka, Luksemburg, Maroko, Poola, Portugal, Prantsusmaa, Saksamaa, Saudi Araabia, Sloveenia, Sveits, Tai, Tšiili, Tuneesia, Türgi, Ungari, uus-Meremaa, Venetsueela
Endoxana Iirimaa, Suurbritannia
Formitex Kolumbia, Mehhiko
Genoxal Hispaania
Genuxal Brasiilia
Hidrofosmin Mehhiko
Ledoxan Kolumbia
Ledoxina Kolumbia, Mehhiko
Neophos Egiptus
Neosar Ameerika ühendriigid
Procytox Kanada
Sendoxan Island, Norra, Rootsi, Soome, Taani
Syklofosfamid Soome, Türgi
Sobimatus   Süsteravim   Sobimatus : Cyclophosphamide              
Sellel lehel kuvatakse sobimatusi ja sobimatuse tüüpi (sadenemine, värvuse muutus, emulsiooni modifitseerumine jne). Enamasti on siin lehel kuvatud füüsikalised sobimatused, kuna molekulide keemilist stabiilsust hinnatakse harva. Hinnatud on segude sobivust Y-liinis. Antud infot ei saa kasutada ravimite sobivuse hindamiseks juhul, kui ravimid on segatud süstaldes või infusioonikottides. See info on lehel « stabiilsus segudes ».
ingredient lahusti Viited
Ühilduv
Süsteravim Cyclophosphamide 20 mg/ml
NaHCO3 150
Ühilduv
Süsteravim Cyclophosphamide
naatriumkloriid 0.9% 4865
Ühilduv
Süsteravim Cyclophosphamide
NaCl 0,45%+ glükoos 5% 4865
Ühilduv
Süsteravim Cyclophosphamide 10 mg/ml
Parenteraalse toitmise (lipiide tasuta) 301
Ühilduv
Süsteravim Cyclophosphamide 10 mg/ml
Parenteraalse toitmise (lipiidide) 1415
Ühilduv
Süsteravim Cyclophosphamide
glükoos 5% 4989
Ühilduv
Süsteravim Cyclophosphamide 10 mg/ml
Süsteravim Allopurinol sodium 3 mg/ml
naatriumkloriid 0.9% 307
Ühilduv
Süsteravim Cyclophosphamide 10 mg/ml
Süsteravim Amifostine 10 mg/ml
glükoos 5% 3
Kohene hägusus Sobimatu
Süsteravim Cyclophosphamide 10 mg/ml
Süsteravim Amphotericin B cholesteryl sulfate complex 0.83 mg/ml
glükoos 5% 921
Ühilduv
Süsteravim Cyclophosphamide
naatriumkloriid 0.9% 4989
Ühilduv
Süsteravim Cyclophosphamide 10 mg/ml
Süsteravim Anidulafungin 0.5 mg/ml
glükoos 5% 1982
Ühilduv
Süsteravim Cyclophosphamide 10 mg/ml
Süsteravim Aztreonam 40 mg/ml
glükoos 5% 99
Ühilduv
Süsteravim Cyclophosphamide 10 mg/ml
Süsteravim Cladribine 0.5 mg/ml
NaCl 0,9%+  apürogeenne vesi 1496
Ühilduv
Süsteravim Cyclophosphamide 10 mg/ml
Süsteravim Cladribine 0.015 mg/ml
naatriumkloriid 0.9% 1496
Ühilduv
Süsteravim Cyclophosphamide 10 mg/ml
Süsteravim Doripenem 5 mg/ml
glükoos 5% 2262
Ühilduv
Süsteravim Cyclophosphamide 10 mg/ml
Süsteravim Doripenem 5 mg/ml
naatriumkloriid 0.9% 2262
Ühilduv
Süsteravim Cyclophosphamide 10 mg/ml
Süsteravim Doxorubicin hydrochloride liposome peg 0.4 mg/ml
glükoos 5% 251
Ühilduv
Süsteravim Cyclophosphamide 10 mg/ml
Süsteravim Etoposide phosphate 5 mg/ml
glükoos 5% 1410
Ühilduv
Süsteravim Cyclophosphamide 10 mg/ml
Süsteravim Filgrastim 30 µg/ml
glükoos 5% 244
Ühilduv
Süsteravim Cyclophosphamide 10 mg/ml
Süsteravim Fludarabine phosphate 1 mg/ml
glükoos 5% 492
Ühilduv
Süsteravim Cyclophosphamide 20 mg/ml
Süsteravim Gallium nitrate 1 mg/ml
naatriumkloriid 0.9% 91
Ühilduv
Süsteravim Cyclophosphamide 10 mg/ml
Süsteravim Gemcitabine hydrochloride 10 mg/ml
naatriumkloriid 0.9% 1423
Ühilduv
Süsteravim Cyclophosphamide 2 mg/ml
Süsteravim Granisetron hydrochloride 1 mg/ml
süstevesi 57
Ühilduv
Süsteravim Cyclophosphamide 1 mg/ml
Süsteravim Hydroxyzine dihydrochloride 0.5 mg/ml
glükoos 5% 331
Ühilduv
Süsteravim Cyclophosphamide 4 mg/ml
Süsteravim Idarubicin hydrochloride 1 mg/ml
naatriumkloriid 0.9% 491
Sade 4 tunni pärast Sobimatu
Süsteravim Cyclophosphamide 10 mg/ml
Süsteravim Lansoprazole 0.55 mg/ml
naatriumkloriid 0.9% 1625
Ühilduv
Süsteravim Cyclophosphamide 10 mg/ml
Süsteravim Linezolid 2 mg/ml
mitte ükski 1925
Ühilduv
Süsteravim Cyclophosphamide 10 mg/ml
Süsteravim Melphalan 0.1 mg/ml
naatriumkloriid 0.9% 169
Ühilduv
Süsteravim Cyclophosphamide 1.8 mg/ml
Süsteravim Mesna 0.54 mg/ml
glükoos 5% 1833
Ühilduv
Süsteravim Cyclophosphamide 10.8 mg/ml
Süsteravim Mesna 3.2 mg/ml
glükoos 5% 1833
Ühilduv
Süsteravim Cyclophosphamide 1 >> 10 mg/ml
Süsteravim Mesna 0.2 >> 10 mg/ml
naatriumkloriid 0.9% 2104
Ühilduv
Süsteravim Cyclophosphamide 20 mg/ml
Süsteravim Methotrexate sodium 30 mg/ml
naatriumkloriid 0.9% 150
Täpsustamata sobimatus Sobimatu
Süsteravim Cyclophosphamide
Süsteravim Mitomycin
4471
Keemiline ebastabiilsus Sobimatu
Süsteravim Cyclophosphamide
Süsteravim Mitomycin
3128
Ühilduv
Süsteravim Cyclophosphamide 2 mg/ml
Süsteravim Ondansetron hydrochloride 0,4 mg/ml
naatriumkloriid 0.9% 50
Ühilduv
Süsteravim Cyclophosphamide 0,3 mg/ml
Süsteravim Ondansetron hydrochloride 0,05 mg/ml
naatriumkloriid 0.9% 50
Ühilduv
Süsteravim Cyclophosphamide 20 mg/ml
Süsteravim Ondansetron hydrochloride 0,016 >> 0,16 mg/ml
süstevesi 3574
Ühilduv
Süsteravim Cyclophosphamide 0,3 mg/ml
Süsteravim Ondansetron hydrochloride 0,05 mg/ml
glükoos 5% 50
Ühilduv
Süsteravim Cyclophosphamide 2 mg/ml
Süsteravim Ondansetron hydrochloride 0,4 mg/ml
glükoos 5% 50
Ühilduv
Süsteravim Cyclophosphamide 10 mg/ml
Süsteravim Ondansetron hydrochloride 1 mg/ml
naatriumkloriid 0.9% 334
Ühilduv
Süsteravim Cyclophosphamide 10 mg/ml
Süsteravim Oxaliplatin 0,5 mg/ml
glükoos 5% 1662
Ühilduv
Süsteravim Cyclophosphamide 10 mg/ml
Süsteravim Paclitaxel 1.2 mg/ml
glükoos 5% 85
Ühilduv
Süsteravim Cyclophosphamide 10 mg/ml
Süsteravim Palonosetron hydrochloride 50 µg/ml
glükoos 5% 2016
Ühilduv
Süsteravim Cyclophosphamide 10 mg/ml
Süsteravim Pemetrexed disodium 20 mg/ml
naatriumkloriid 0.9% 1953
Ühilduv
Süsteravim Cyclophosphamide 10 mg/ml
Süsteravim Piperacillin sodium / tazobactam 40/5 mg/ml
glükoos 5% 81
Ühilduv
Süsteravim Cyclophosphamide 10 mg/ml
Süsteravim Propofol 10 mg/ml
mitte ükski 300
Emulsiooni ebastabiilsus 24 tunni pärast Sobimatu
Süsteravim Cyclophosphamide 4 mg/ml
Süsteravim Propofol
660
Ühilduv
Süsteravim Cyclophosphamide 10 mg/ml
Süsteravim Sargramostim 10 µg/ml
naatriumkloriid 0.9% 335
Ühilduv
Süsteravim Cyclophosphamide 20 mg/ml
Süsteravim Sodium bicarbonate 14 mg/ml
mitte ükski 150
Ühilduv
Süsteravim Cyclophosphamide 10 mg/ml
Süsteravim Teniposide 0.1 mg/ml
glükoos 5% 905
Ühilduv
Süsteravim Cyclophosphamide 10 mg/ml
Süsteravim Thiotepa 1 mg/ml
glükoos 5% 249
Ühilduv
Süsteravim Cyclophosphamide 20 mg/ml
Süsteravim Topotecan 0.056 mg/ml
glükoos 5% 1026
Ühilduv
Süsteravim Cyclophosphamide 20 mg/ml
Süsteravim Topotecan 0.056 mg/ml
naatriumkloriid 0.9% 1026
Ühilduv
Süsteravim Cyclophosphamide 10 mg/ml
Süsteravim Vinorelbine tartrate 1 mg/ml
naatriumkloriid 0.9% 84

  Mentions Légales