Siste oppdatering :
18/03/2026
kreft narkotika   Cyclophosphamide  
Injeksjon
Kapsel Mikstur
Oppløsningsstabilitet Stabilitet i blandinger Faktorer som påvirker stabiliteten Kompatibilitet Administrasjonsmåte Referanser pdf
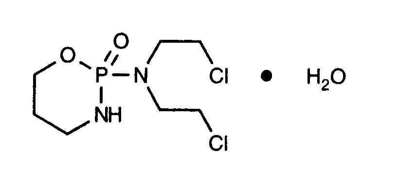
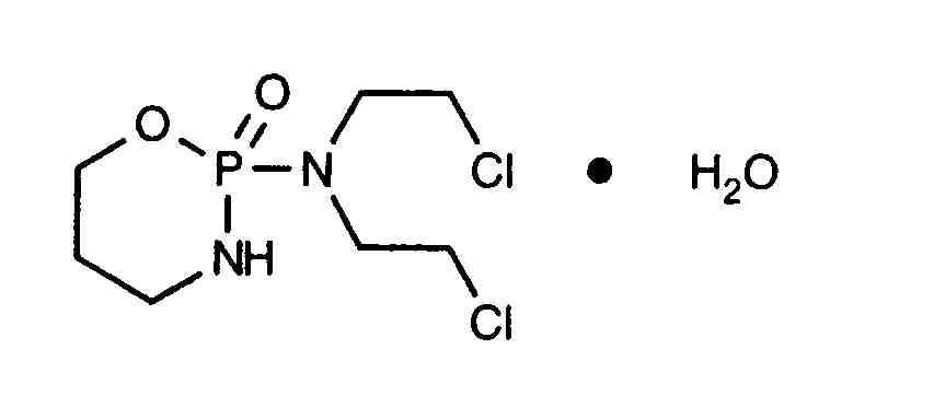
   Kjemisk struktur  

Handelsnavn   Handelsnavn     

Handelsnavn er veiledende og sammensetning av hjelpestoffer kan være forskjellig avhengig av land og produsent

Alkyloxan Egypt, Malaysia
Celomide India
Ciclofosfamida Argentina, Chile, Romania
Cicloxal Spania
Cryofaxol Mexico
Cycloblastin Australia
Cycloblastine Nederland
Cyclophosphamid Danmark, Tyskland
Cyclophosphamide New Zealand, Saudi-Arabia, Storbritannia, USA
Cyclostin Tyskland
Cycloxan Malaysia
Cycram Egypt
Cytoxan Canada, Ungarn, USA
Eldamide India
Endoxan Australia, Belgia, Chile, Colombia, De forente arabiske emirater, Ecuador, Frankrike, Hellas, India, Iran, Italia, Kroatia, Luxembourg, Marokko, Nederland, New Zealand, Polen, Portugal, Saudi-Arabia, Slovenia, Sveits, Thailand, Tunisia, Tyrkia, Tyskland, Ungarn, Venezuela, Østerrike
Endoxana Irland, Storbritannia
Formitex Colombia, Mexico
Genoxal Spania
Genuxal Brasil
Hidrofosmin Mexico
Ledoxan Colombia
Ledoxina Colombia, Mexico
Neophos Egypt
Neosar USA
Procytox Canada
Sendoxan Danmark, Finland, Island, Norge, Sverige
Syklofosfamid Finland, Tyrkia
Kompatibilitet   Injeksjon   Kompatibilitet : Cyclophosphamide              
Dette skjermbildet viser kompatibilitet eller inkompatibilitet med, i dette tilfellet, typen inkompatibilitet (nedbør, fargeendring, modifisering av en emulsjon, etc.). Kompatibilitetene som er vist her, er for det meste bare fysiske, og den kjemiske stabiliteten til hvert molekyl blir sjelden vurdert. Evalueringen av disse blandingene ble studert for å vurdere muligheten for Y-stedadministrasjon til pasienten. Disse dataene kan ikke brukes til å lage blandinger på forhånd i poser eller sprøyter. Denne typen informasjon er tilgjengelig på skjermen "Stabilitet i blanding".
Legemiddel Oppløsningsmiddel Referanser
Kompatibel
Injeksjon Cyclophosphamide 20 mg/ml
NaHCO3 150
Kompatibel
Injeksjon Cyclophosphamide
Natriumklorid 0,9 % 4865
Kompatibel
Injeksjon Cyclophosphamide
NaCl 0,45 % Glukose 5 % 4865
Kompatibel
Injeksjon Cyclophosphamide 10 mg/ml
Parenteral ernæring(lipid-free) 301
Kompatibel
Injeksjon Cyclophosphamide 10 mg/ml
Parenteral ernæring (med lipider) 1415
Kompatibel
Injeksjon Cyclophosphamide
Glukose 5 % 4989
Kompatibel
Injeksjon Cyclophosphamide 10 mg/ml
Injeksjon Allopurinol sodium 3 mg/ml
Natriumklorid 0,9 % 307
Kompatibel
Injeksjon Cyclophosphamide 10 mg/ml
Injeksjon Amifostine 10 mg/ml
Glukose 5 % 3
Umiddelbar turbiditet Uforenlig
Injeksjon Cyclophosphamide 10 mg/ml
Injeksjon Amphotericin B cholesteryl sulfate complex 0.83 mg/ml
Glukose 5 % 921
Kompatibel
Injeksjon Cyclophosphamide
Natriumklorid 0,9 % 4989
Kompatibel
Injeksjon Cyclophosphamide 10 mg/ml
Injeksjon Anidulafungin 0.5 mg/ml
Glukose 5 % 1982
Kompatibel
Injeksjon Cyclophosphamide 10 mg/ml
Injeksjon Aztreonam 40 mg/ml
Glukose 5 % 99
Kompatibel
Injeksjon Cyclophosphamide 10 mg/ml
Injeksjon Cladribine 0.5 mg/ml
NaCl 0,9% + antibakterielt middel 1496
Kompatibel
Injeksjon Cyclophosphamide 10 mg/ml
Injeksjon Cladribine 0.015 mg/ml
Natriumklorid 0,9 % 1496
Kompatibel
Injeksjon Cyclophosphamide 10 mg/ml
Injeksjon Doripenem 5 mg/ml
Glukose 5 % 2262
Kompatibel
Injeksjon Cyclophosphamide 10 mg/ml
Injeksjon Doripenem 5 mg/ml
Natriumklorid 0,9 % 2262
Kompatibel
Injeksjon Cyclophosphamide 10 mg/ml
Injeksjon Doxorubicin hydrochloride liposome peg 0.4 mg/ml
Glukose 5 % 251
Kompatibel
Injeksjon Cyclophosphamide 10 mg/ml
Injeksjon Etoposide phosphate 5 mg/ml
Glukose 5 % 1410
Kompatibel
Injeksjon Cyclophosphamide 10 mg/ml
Injeksjon Filgrastim 30 µg/ml
Glukose 5 % 244
Kompatibel
Injeksjon Cyclophosphamide 10 mg/ml
Injeksjon Fludarabine phosphate 1 mg/ml
Glukose 5 % 492
Kompatibel
Injeksjon Cyclophosphamide 20 mg/ml
Injeksjon Gallium nitrate 1 mg/ml
Natriumklorid 0,9 % 91
Kompatibel
Injeksjon Cyclophosphamide 10 mg/ml
Injeksjon Gemcitabine hydrochloride 10 mg/ml
Natriumklorid 0,9 % 1423
Kompatibel
Injeksjon Cyclophosphamide 2 mg/ml
Injeksjon Granisetron hydrochloride 1 mg/ml
Vann til injeksjon 57
Kompatibel
Injeksjon Cyclophosphamide 1 mg/ml
Injeksjon Hydroxyzine dihydrochloride 0.5 mg/ml
Glukose 5 % 331
Kompatibel
Injeksjon Cyclophosphamide 4 mg/ml
Injeksjon Idarubicin hydrochloride 1 mg/ml
Natriumklorid 0,9 % 491
Nedbør etter 4 timer Uforenlig
Injeksjon Cyclophosphamide 10 mg/ml
Injeksjon Lansoprazole 0.55 mg/ml
Natriumklorid 0,9 % 1625
Kompatibel
Injeksjon Cyclophosphamide 10 mg/ml
Injeksjon Linezolid 2 mg/ml
Ingen 1925
Kompatibel
Injeksjon Cyclophosphamide 10 mg/ml
Injeksjon Melphalan 0.1 mg/ml
Natriumklorid 0,9 % 169
Kompatibel
Injeksjon Cyclophosphamide 1.8 mg/ml
Injeksjon Mesna 0.54 mg/ml
Glukose 5 % 1833
Kompatibel
Injeksjon Cyclophosphamide 10.8 mg/ml
Injeksjon Mesna 3.2 mg/ml
Glukose 5 % 1833
Kompatibel
Injeksjon Cyclophosphamide 1 >> 10 mg/ml
Injeksjon Mesna 0.2 >> 10 mg/ml
Natriumklorid 0,9 % 2104
Kompatibel
Injeksjon Cyclophosphamide 20 mg/ml
Injeksjon Methotrexate sodium 30 mg/ml
Natriumklorid 0,9 % 150
Uspesifisert inkompatibilitet Uforenlig
Injeksjon Cyclophosphamide
Injeksjon Mitomycin
4471
Kjemisk ustabilitet Uforenlig
Injeksjon Cyclophosphamide
Injeksjon Mitomycin
3128
Kompatibel
Injeksjon Cyclophosphamide 2 mg/ml
Injeksjon Ondansetron hydrochloride 0,4 mg/ml
Natriumklorid 0,9 % 50
Kompatibel
Injeksjon Cyclophosphamide 0,3 mg/ml
Injeksjon Ondansetron hydrochloride 0,05 mg/ml
Natriumklorid 0,9 % 50
Kompatibel
Injeksjon Cyclophosphamide 20 mg/ml
Injeksjon Ondansetron hydrochloride 0,016 >> 0,16 mg/ml
Vann til injeksjon 3574
Kompatibel
Injeksjon Cyclophosphamide 0,3 mg/ml
Injeksjon Ondansetron hydrochloride 0,05 mg/ml
Glukose 5 % 50
Kompatibel
Injeksjon Cyclophosphamide 2 mg/ml
Injeksjon Ondansetron hydrochloride 0,4 mg/ml
Glukose 5 % 50
Kompatibel
Injeksjon Cyclophosphamide 10 mg/ml
Injeksjon Ondansetron hydrochloride 1 mg/ml
Natriumklorid 0,9 % 334
Kompatibel
Injeksjon Cyclophosphamide 10 mg/ml
Injeksjon Oxaliplatin 0,5 mg/ml
Glukose 5 % 1662
Kompatibel
Injeksjon Cyclophosphamide 10 mg/ml
Injeksjon Paclitaxel 1.2 mg/ml
Glukose 5 % 85
Kompatibel
Injeksjon Cyclophosphamide 10 mg/ml
Injeksjon Palonosetron hydrochloride 50 µg/ml
Glukose 5 % 2016
Kompatibel
Injeksjon Cyclophosphamide 10 mg/ml
Injeksjon Pemetrexed disodium 20 mg/ml
Natriumklorid 0,9 % 1953
Kompatibel
Injeksjon Cyclophosphamide 10 mg/ml
Injeksjon Piperacillin sodium / tazobactam 40/5 mg/ml
Glukose 5 % 81
Kompatibel
Injeksjon Cyclophosphamide 10 mg/ml
Injeksjon Propofol 10 mg/ml
Ingen 300
Ustabilitet av emulsjonen etter 24 timer Uforenlig
Injeksjon Cyclophosphamide 4 mg/ml
Injeksjon Propofol
660
Kompatibel
Injeksjon Cyclophosphamide 10 mg/ml
Injeksjon Sargramostim 10 µg/ml
Natriumklorid 0,9 % 335
Kompatibel
Injeksjon Cyclophosphamide 20 mg/ml
Injeksjon Sodium bicarbonate 14 mg/ml
Ingen 150
Kompatibel
Injeksjon Cyclophosphamide 10 mg/ml
Injeksjon Teniposide 0.1 mg/ml
Glukose 5 % 905
Kompatibel
Injeksjon Cyclophosphamide 10 mg/ml
Injeksjon Thiotepa 1 mg/ml
Glukose 5 % 249
Kompatibel
Injeksjon Cyclophosphamide 20 mg/ml
Injeksjon Topotecan 0.056 mg/ml
Glukose 5 % 1026
Kompatibel
Injeksjon Cyclophosphamide 20 mg/ml
Injeksjon Topotecan 0.056 mg/ml
Natriumklorid 0,9 % 1026
Kompatibel
Injeksjon Cyclophosphamide 10 mg/ml
Injeksjon Vinorelbine tartrate 1 mg/ml
Natriumklorid 0,9 % 84

  Mentions Légales