Last update :
18/03/2026
Anticancer drug   Cyclophosphamide  
injection
Capsule Oral solution
Stability in solutions Stability of mixtures Factors which affect stability Compatibility Route of administration References pdf
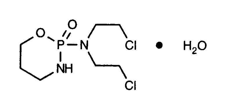
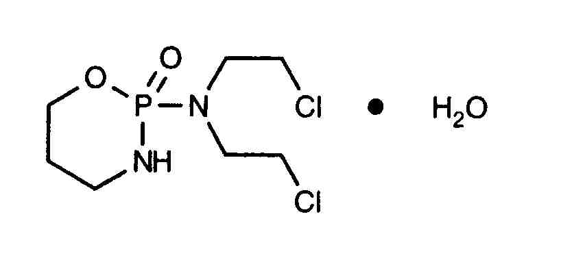
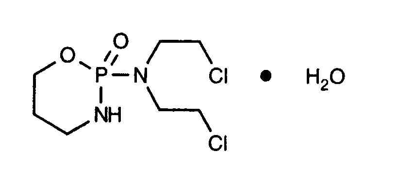
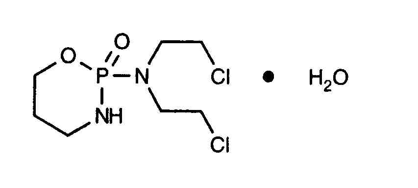
   Chemical structure  

Tradename   Tradename     

Trade names are indicative and excipients composition can be different depending on the country and manufacturers

Alkyloxan Egypt, Malaysia
Celomide India
Ciclofosfamida Argentina, Chile, Romania
Cicloxal Spain
Cryofaxol Mexico
Cycloblastin Australia
Cycloblastine Netherlands
Cyclophosphamid Denmark, Germany
Cyclophosphamide Great Britain, New Zealand, Saudi Arabia, United States of America
Cyclostin Germany
Cycloxan Malaysia
Cycram Egypt
Cytoxan Canada, Hungary, United States of America
Eldamide India
Endoxan Australia, Austria, Belgium, Chile, Colombia, Croatia, Ecuador, France, Germany, Greece, Hungary, India, Iran, Italy, Luxembourg, Morocco, Netherlands, New Zealand, Poland, Portugal, Saudi Arabia, Slovenia, Switzerland, Thailand, Tunisia, Turkey, United Arab Emirates, Venezuela
Endoxana Great Britain, Ireland
Formitex Colombia, Mexico
Genoxal Spain
Genuxal Brazil
Hidrofosmin Mexico
Ledoxan Colombia
Ledoxina Colombia, Mexico
Neophos Egypt
Neosar United States of America
Procytox Canada
Sendoxan Denmark, Finland, Iceland, Norway, Sweden
Syklofosfamid Finland, Turkey
Compatibility   injection   Compatibility : Cyclophosphamide              
This screen indicates the compatibilities or incompatibilities with, in this case, the type of incompatibility (precipitation, color change, modification of an emulsion, etc.). The compatibilities shown here are mostly physical only, with the chemical stability of each molecule rarely being assessed. The evaluation of these mixtures was studied to consider the possibility of Y-site administration to the patient. These data cannot be used for making mixtures in advance in bags or syringes. This type of information is available in the screen "Stability in mixture ».
Compound Solvent References
Compatible
injection Cyclophosphamide 20 mg/ml
NaHCO3 150
Compatible
injection Cyclophosphamide
Sodium chloride 0,9% 4865
Compatible
injection Cyclophosphamide
NaCl 0,45% Glucose 5% 4865
Compatible
injection Cyclophosphamide 10 mg/ml
Parenteral nutrition (binary mixture) 301
Compatible
injection Cyclophosphamide 10 mg/ml
Parenteral nutrition (with lipids) 1415
Compatible
injection Cyclophosphamide
Glucose 5% 4989
Compatible
injection Cyclophosphamide 10 mg/ml
injection Allopurinol sodium 3 mg/ml
Sodium chloride 0,9% 307
Compatible
injection Cyclophosphamide 10 mg/ml
injection Amifostine 10 mg/ml
Glucose 5% 3
Immediate turbidity Incompatible
injection Cyclophosphamide 10 mg/ml
injection Amphotericin B cholesteryl sulfate complex 0.83 mg/ml
Glucose 5% 921
Compatible
injection Cyclophosphamide
Sodium chloride 0,9% 4989
Compatible
injection Cyclophosphamide 10 mg/ml
injection Anidulafungin 0.5 mg/ml
Glucose 5% 1982
Compatible
injection Cyclophosphamide 10 mg/ml
injection Aztreonam 40 mg/ml
Glucose 5% 99
Compatible
injection Cyclophosphamide 10 mg/ml
injection Cladribine 0.5 mg/ml
NaCl 0,9% + antibacterial 1496
Compatible
injection Cyclophosphamide 10 mg/ml
injection Cladribine 0.015 mg/ml
Sodium chloride 0,9% 1496
Compatible
injection Cyclophosphamide 10 mg/ml
injection Doripenem 5 mg/ml
Glucose 5% 2262
Compatible
injection Cyclophosphamide 10 mg/ml
injection Doripenem 5 mg/ml
Sodium chloride 0,9% 2262
Compatible
injection Cyclophosphamide 10 mg/ml
injection Doxorubicin hydrochloride liposome peg 0.4 mg/ml
Glucose 5% 251
Compatible
injection Cyclophosphamide 10 mg/ml
injection Etoposide phosphate 5 mg/ml
Glucose 5% 1410
Compatible
injection Cyclophosphamide 10 mg/ml
injection Filgrastim 30 µg/ml
Glucose 5% 244
Compatible
injection Cyclophosphamide 10 mg/ml
injection Fludarabine phosphate 1 mg/ml
Glucose 5% 492
Compatible
injection Cyclophosphamide 20 mg/ml
injection Gallium nitrate 1 mg/ml
Sodium chloride 0,9% 91
Compatible
injection Cyclophosphamide 10 mg/ml
injection Gemcitabine hydrochloride 10 mg/ml
Sodium chloride 0,9% 1423
Compatible
injection Cyclophosphamide 2 mg/ml
injection Granisetron hydrochloride 1 mg/ml
Water for Injection 57
Compatible
injection Cyclophosphamide 1 mg/ml
injection Hydroxyzine dihydrochloride 0.5 mg/ml
Glucose 5% 331
Compatible
injection Cyclophosphamide 4 mg/ml
injection Idarubicin hydrochloride 1 mg/ml
Sodium chloride 0,9% 491
Precipitation after 4 hours Incompatible
injection Cyclophosphamide 10 mg/ml
injection Lansoprazole 0.55 mg/ml
Sodium chloride 0,9% 1625
Compatible
injection Cyclophosphamide 10 mg/ml
injection Linezolid 2 mg/ml
None 1925
Compatible
injection Cyclophosphamide 10 mg/ml
injection Melphalan 0.1 mg/ml
Sodium chloride 0,9% 169
Compatible
injection Cyclophosphamide 1.8 mg/ml
injection Mesna 0.54 mg/ml
Glucose 5% 1833
Compatible
injection Cyclophosphamide 10.8 mg/ml
injection Mesna 3.2 mg/ml
Glucose 5% 1833
Compatible
injection Cyclophosphamide 1 >> 10 mg/ml
injection Mesna 0.2 >> 10 mg/ml
Sodium chloride 0,9% 2104
Compatible
injection Cyclophosphamide 20 mg/ml
injection Methotrexate sodium 30 mg/ml
Sodium chloride 0,9% 150
Unspecified incompatibility Incompatible
injection Cyclophosphamide
injection Mitomycin
4471
Chemical instability Incompatible
injection Cyclophosphamide
injection Mitomycin
3128
Compatible
injection Cyclophosphamide 2 mg/ml
injection Ondansetron hydrochloride 0,4 mg/ml
Sodium chloride 0,9% 50
Compatible
injection Cyclophosphamide 0,3 mg/ml
injection Ondansetron hydrochloride 0,05 mg/ml
Sodium chloride 0,9% 50
Compatible
injection Cyclophosphamide 20 mg/ml
injection Ondansetron hydrochloride 0,016 >> 0,16 mg/ml
Water for Injection 3574
Compatible
injection Cyclophosphamide 0,3 mg/ml
injection Ondansetron hydrochloride 0,05 mg/ml
Glucose 5% 50
Compatible
injection Cyclophosphamide 2 mg/ml
injection Ondansetron hydrochloride 0,4 mg/ml
Glucose 5% 50
Compatible
injection Cyclophosphamide 10 mg/ml
injection Ondansetron hydrochloride 1 mg/ml
Sodium chloride 0,9% 334
Compatible
injection Cyclophosphamide 10 mg/ml
injection Oxaliplatin 0,5 mg/ml
Glucose 5% 1662
Compatible
injection Cyclophosphamide 10 mg/ml
injection Paclitaxel 1.2 mg/ml
Glucose 5% 85
Compatible
injection Cyclophosphamide 10 mg/ml
injection Palonosetron hydrochloride 50 µg/ml
Glucose 5% 2016
Compatible
injection Cyclophosphamide 10 mg/ml
injection Pemetrexed disodium 20 mg/ml
Sodium chloride 0,9% 1953
Compatible
injection Cyclophosphamide 10 mg/ml
injection Piperacillin sodium / tazobactam 40/5 mg/ml
Glucose 5% 81
Compatible
injection Cyclophosphamide 10 mg/ml
injection Propofol 10 mg/ml
None 300
Instability of the emulsion after 24 hours Incompatible
injection Cyclophosphamide 4 mg/ml
injection Propofol
660
Compatible
injection Cyclophosphamide 10 mg/ml
injection Sargramostim 10 µg/ml
Sodium chloride 0,9% 335
Compatible
injection Cyclophosphamide 20 mg/ml
injection Sodium bicarbonate 14 mg/ml
None 150
Compatible
injection Cyclophosphamide 10 mg/ml
injection Teniposide 0.1 mg/ml
Glucose 5% 905
Compatible
injection Cyclophosphamide 10 mg/ml
injection Thiotepa 1 mg/ml
Glucose 5% 249
Compatible
injection Cyclophosphamide 20 mg/ml
injection Topotecan 0.056 mg/ml
Glucose 5% 1026
Compatible
injection Cyclophosphamide 20 mg/ml
injection Topotecan 0.056 mg/ml
Sodium chloride 0,9% 1026
Compatible
injection Cyclophosphamide 10 mg/ml
injection Vinorelbine tartrate 1 mg/ml
Sodium chloride 0,9% 84

  Mentions Légales