Ostatnia aktualizacja :
18/03/2026
Lek cytostatyk   Cyclophosphamide  
Injekcje
Kapsułka Roztwór doustny
Trwałość roztworów Trwałość w mieszaninie Czynnik wpływający na trwałość Zgodność Sposób podania Bibliografia pdf
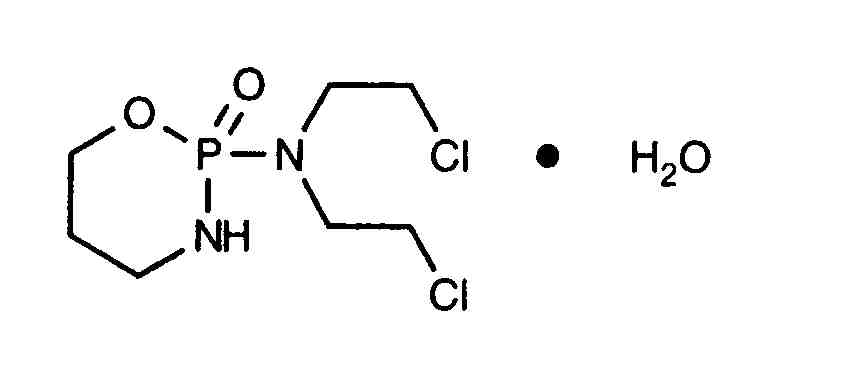
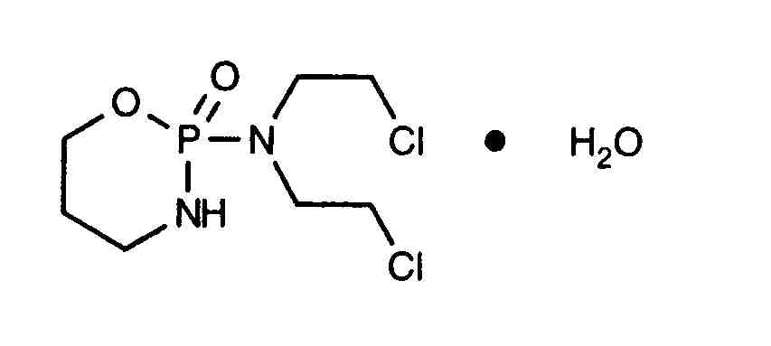
   Struktura chemiczna  

Nazwa handlowa   Nazwa handlowa     

Trade names are indicative and excipients composition can be different depending on the country and manufacturers

Alkyloxan Egipt, Malezja
Celomide Indie
Ciclofosfamida Argentyna, Chile, Rumunia
Cicloxal Hiszpania
Cryofaxol Meksyk
Cycloblastin Australia
Cycloblastine Holandia
Cyclophosphamid Dania, Niemcy
Cyclophosphamide Arabia Saudyjska, nowa Zelandia, Stany Zjednoczone Ameryki, Wielka Brytania
Cyclostin Niemcy
Cycloxan Malezja
Cycram Egipt
Cytoxan Kanada, Stany Zjednoczone Ameryki, Węgry
Eldamide Indie
Endoxan Arabia Saudyjska, Australia, Austria, Belgia, Chile, Chorwacja, Ekwador, Francja , Grecja, Holandia, Indie, Iran, KolumbiaKolumbia, Luksemburg, Maroko, Niemcy, nowa Zelandia, Polska, Portugalia, Szwajcaria, Słowenia, Tajlandia, Tunisie, Turcja, Węgry, Wenezuela, Włochy, Zjednoczone Emiraty Arabskie
Endoxana Irlandia, Wielka Brytania
Formitex KolumbiaKolumbia, Meksyk
Genoxal Hiszpania
Genuxal Brazylia
Hidrofosmin Meksyk
Ledoxan KolumbiaKolumbia
Ledoxina KolumbiaKolumbia, Meksyk
Neophos Egipt
Neosar Stany Zjednoczone Ameryki
Procytox Kanada
Sendoxan Dania, Finlandia, Islandia, Norwegia, Szwecja
Syklofosfamid Finlandia, Turcja
Zgodność   Injekcje   Zgodność : Cyclophosphamide              
Ekran ten wskazuje na kompatybilności lub niezgodności z, w tym przypadku, rodzajem niezgodności (strącanie, zmiana koloru, modyfikacja emulsji, itp.). Przedstawione tutaj kompatybilności są głównie fizyczne, a stabilność chemiczna każdej cząsteczki jest rzadko oceniana. Ocenę tych mieszanin badano w celu rozważenia możliwości podania pacjentowi w miejscu Y. Dane te nie mogą być wykorzystywane do sporządzania mieszanin z wyprzedzeniem w workach lub strzykawkach. Tego typu informacje są dostępne na ekranie „Stabilność w mieszaninie”.
Związek Rozpuszczalnik Bibliografia
Zgodny
Injekcje Cyclophosphamide 20 mg/ml
NaHCO3 150
Zgodny
Injekcje Cyclophosphamide
Chlorek sodu 0,9% 4865
Zgodny
Injekcje Cyclophosphamide
NaCl 0,45%  glukoza 5% 4865
Zgodny
Injekcje Cyclophosphamide 10 mg/ml
Odżywianie pozajelitowe (mieszanina binarny) 301
Zgodny
Injekcje Cyclophosphamide 10 mg/ml
Żywienie pozajelitowe (lipidami) 1415
Zgodny
Injekcje Cyclophosphamide
Glukoza 5% 4989
Zgodny
Injekcje Cyclophosphamide 10 mg/ml
Injekcje Allopurinol sodium 3 mg/ml
Chlorek sodu 0,9% 307
Zgodny
Injekcje Cyclophosphamide 10 mg/ml
Injekcje Amifostine 10 mg/ml
Glukoza 5% 3
Natychmiastowe zmętnienie Niekompatybilny
Injekcje Cyclophosphamide 10 mg/ml
Injekcje Amphotericin B cholesteryl sulfate complex 0.83 mg/ml
Glukoza 5% 921
Zgodny
Injekcje Cyclophosphamide
Chlorek sodu 0,9% 4989
Zgodny
Injekcje Cyclophosphamide 10 mg/ml
Injekcje Anidulafungin 0.5 mg/ml
Glukoza 5% 1982
Zgodny
Injekcje Cyclophosphamide 10 mg/ml
Injekcje Aztreonam 40 mg/ml
Glukoza 5% 99
Zgodny
Injekcje Cyclophosphamide 10 mg/ml
Injekcje Cladribine 0.5 mg/ml
NaCl 0,9% + bakteriostatyk 1496
Zgodny
Injekcje Cyclophosphamide 10 mg/ml
Injekcje Cladribine 0.015 mg/ml
Chlorek sodu 0,9% 1496
Zgodny
Injekcje Cyclophosphamide 10 mg/ml
Injekcje Doripenem 5 mg/ml
Glukoza 5% 2262
Zgodny
Injekcje Cyclophosphamide 10 mg/ml
Injekcje Doripenem 5 mg/ml
Chlorek sodu 0,9% 2262
Zgodny
Injekcje Cyclophosphamide 10 mg/ml
Injekcje Doxorubicin hydrochloride liposome peg 0.4 mg/ml
Glukoza 5% 251
Zgodny
Injekcje Cyclophosphamide 10 mg/ml
Injekcje Etoposide phosphate 5 mg/ml
Glukoza 5% 1410
Zgodny
Injekcje Cyclophosphamide 10 mg/ml
Injekcje Filgrastim 30 µg/ml
Glukoza 5% 244
Zgodny
Injekcje Cyclophosphamide 10 mg/ml
Injekcje Fludarabine phosphate 1 mg/ml
Glukoza 5% 492
Zgodny
Injekcje Cyclophosphamide 20 mg/ml
Injekcje Gallium nitrate 1 mg/ml
Chlorek sodu 0,9% 91
Zgodny
Injekcje Cyclophosphamide 10 mg/ml
Injekcje Gemcitabine hydrochloride 10 mg/ml
Chlorek sodu 0,9% 1423
Zgodny
Injekcje Cyclophosphamide 2 mg/ml
Injekcje Granisetron hydrochloride 1 mg/ml
Woda do wstrzyknięć 57
Zgodny
Injekcje Cyclophosphamide 1 mg/ml
Injekcje Hydroxyzine dihydrochloride 0.5 mg/ml
Glukoza 5% 331
Zgodny
Injekcje Cyclophosphamide 4 mg/ml
Injekcje Idarubicin hydrochloride 1 mg/ml
Chlorek sodu 0,9% 491
Opady po 4 godzinach Niekompatybilny
Injekcje Cyclophosphamide 10 mg/ml
Injekcje Lansoprazole 0.55 mg/ml
Chlorek sodu 0,9% 1625
Zgodny
Injekcje Cyclophosphamide 10 mg/ml
Injekcje Linezolid 2 mg/ml
Żaden 1925
Zgodny
Injekcje Cyclophosphamide 10 mg/ml
Injekcje Melphalan 0.1 mg/ml
Chlorek sodu 0,9% 169
Zgodny
Injekcje Cyclophosphamide 1.8 mg/ml
Injekcje Mesna 0.54 mg/ml
Glukoza 5% 1833
Zgodny
Injekcje Cyclophosphamide 10.8 mg/ml
Injekcje Mesna 3.2 mg/ml
Glukoza 5% 1833
Zgodny
Injekcje Cyclophosphamide 1 >> 10 mg/ml
Injekcje Mesna 0.2 >> 10 mg/ml
Chlorek sodu 0,9% 2104
Zgodny
Injekcje Cyclophosphamide 20 mg/ml
Injekcje Methotrexate sodium 30 mg/ml
Chlorek sodu 0,9% 150
Nieokreślona niezgodność Niekompatybilny
Injekcje Cyclophosphamide
Injekcje Mitomycin
4471
Niestabilność chemiczna Niekompatybilny
Injekcje Cyclophosphamide
Injekcje Mitomycin
3128
Zgodny
Injekcje Cyclophosphamide 2 mg/ml
Injekcje Ondansetron hydrochloride 0,4 mg/ml
Chlorek sodu 0,9% 50
Zgodny
Injekcje Cyclophosphamide 0,3 mg/ml
Injekcje Ondansetron hydrochloride 0,05 mg/ml
Chlorek sodu 0,9% 50
Zgodny
Injekcje Cyclophosphamide 20 mg/ml
Injekcje Ondansetron hydrochloride 0,016 >> 0,16 mg/ml
Woda do wstrzyknięć 3574
Zgodny
Injekcje Cyclophosphamide 0,3 mg/ml
Injekcje Ondansetron hydrochloride 0,05 mg/ml
Glukoza 5% 50
Zgodny
Injekcje Cyclophosphamide 2 mg/ml
Injekcje Ondansetron hydrochloride 0,4 mg/ml
Glukoza 5% 50
Zgodny
Injekcje Cyclophosphamide 10 mg/ml
Injekcje Ondansetron hydrochloride 1 mg/ml
Chlorek sodu 0,9% 334
Zgodny
Injekcje Cyclophosphamide 10 mg/ml
Injekcje Oxaliplatin 0,5 mg/ml
Glukoza 5% 1662
Zgodny
Injekcje Cyclophosphamide 10 mg/ml
Injekcje Paclitaxel 1.2 mg/ml
Glukoza 5% 85
Zgodny
Injekcje Cyclophosphamide 10 mg/ml
Injekcje Palonosetron hydrochloride 50 µg/ml
Glukoza 5% 2016
Zgodny
Injekcje Cyclophosphamide 10 mg/ml
Injekcje Pemetrexed disodium 20 mg/ml
Chlorek sodu 0,9% 1953
Zgodny
Injekcje Cyclophosphamide 10 mg/ml
Injekcje Piperacillin sodium / tazobactam 40/5 mg/ml
Glukoza 5% 81
Zgodny
Injekcje Cyclophosphamide 10 mg/ml
Injekcje Propofol 10 mg/ml
Żaden 300
Niestabilność emulsji po 24 godzinach Niekompatybilny
Injekcje Cyclophosphamide 4 mg/ml
Injekcje Propofol
660
Zgodny
Injekcje Cyclophosphamide 10 mg/ml
Injekcje Sargramostim 10 µg/ml
Chlorek sodu 0,9% 335
Zgodny
Injekcje Cyclophosphamide 20 mg/ml
Injekcje Sodium bicarbonate 14 mg/ml
Żaden 150
Zgodny
Injekcje Cyclophosphamide 10 mg/ml
Injekcje Teniposide 0.1 mg/ml
Glukoza 5% 905
Zgodny
Injekcje Cyclophosphamide 10 mg/ml
Injekcje Thiotepa 1 mg/ml
Glukoza 5% 249
Zgodny
Injekcje Cyclophosphamide 20 mg/ml
Injekcje Topotecan 0.056 mg/ml
Glukoza 5% 1026
Zgodny
Injekcje Cyclophosphamide 20 mg/ml
Injekcje Topotecan 0.056 mg/ml
Chlorek sodu 0,9% 1026
Zgodny
Injekcje Cyclophosphamide 10 mg/ml
Injekcje Vinorelbine tartrate 1 mg/ml
Chlorek sodu 0,9% 84

  Mentions Légales