آخر تحديث :
18/03/2026
المضادة للسرطان المخدرات   Cyclophosphamide  
حقن
عن طريق الفم  كبسولة
الاستقرار في حلول استقرار مخاليط العوامل التي تؤثر على الاستقرار التوافق طريقة التعاطي مراجع pdf
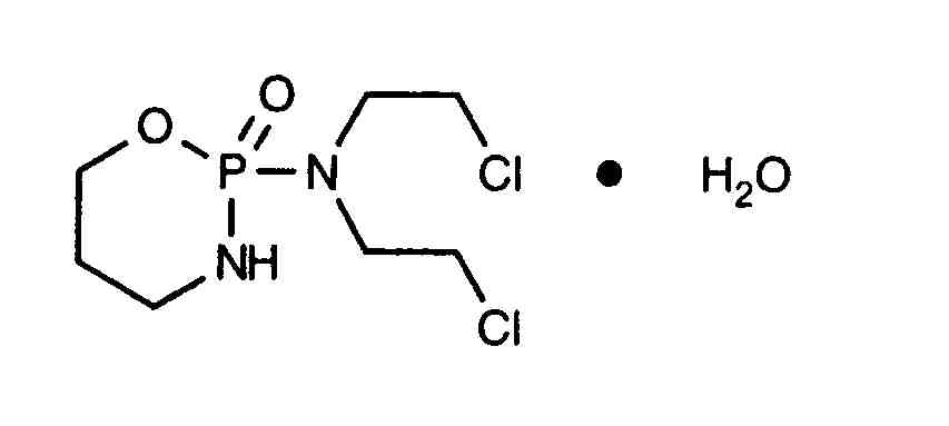
   التركيب الكيميائي  

حجز الاسم التجاري   حجز الاسم التجاري     

تحذير الأسماء التجاريه المختلفه قد تحتوي علي محتوي إضافات مختلفة حسب الدوله و المعمل

Alkyloxan ماليزيا, مصر
Celomide الهند
Ciclofosfamida الأرجنتين, تشيلي, رومانيا
Cicloxal إسبانيا
Cryofaxol المكسيك
Cycloblastin أستراليا
Cycloblastine هولندا
Cyclophosphamid ألمانيا, الدنمارك
Cyclophosphamide العربية السعودية, الولايات المتحدة, بريطانيا العظمي, زيلاندا الجديدة
Cyclostin ألمانيا
Cycloxan ماليزيا
Cycram مصر
Cytoxan الولايات المتحدة, كندا, هنغاريا
Eldamide الهند
Endoxan أستراليا, ألمانيا, إيران, إيطاليا, الإكوادور, الإمارات العربية المتحدة, البرتغال, العربية السعودية, المغرب, النمسا, الهند, بلجيكا, بولندا, تايلاند, تركيا, تشيلي, تونس, زيلاندا الجديدة, سلوفينيا, سويسرا, فرنسا, فنزويلا, كرواتيا, كولومبيا, لوكسمبورغ, هنغاريا, هولندا, يونان
Endoxana ايرلندا, بريطانيا العظمي
Formitex المكسيك, كولومبيا
Genoxal إسبانيا
Genuxal البرازيل
Hidrofosmin المكسيك
Ledoxan كولومبيا
Ledoxina المكسيك, كولومبيا
Neophos مصر
Neosar الولايات المتحدة
Procytox كندا
Sendoxan أيسلندا, الدنمارك, السويد, النرويج, فنلندا
Syklofosfamid تركيا, فنلندا
التوافق   حقن   التوافق : Cyclophosphamide              
This screen indicates the compatibilities or incompatibilities with, in this case, the type of incompatibility (precipitation, color change, modification of an emulsion, etc.). The compatibilities shown here are mostly physical only, with the chemical stability of each molecule rarely being assessed. The evaluation of these mixtures was studied to consider the possibility of Y-site administration to the patient. These data cannot be used for making mixtures in advance in bags or syringes. This type of information is available in the screen "Stability in mixture ».
مركب مذيب مراجع
kompatibel
حقن Cyclophosphamide 20 mg/ml
NaHCO3 150
kompatibel
حقن Cyclophosphamide
كلوريد الصوديوم 0.9% 4865
kompatibel
حقن Cyclophosphamide
كلوريد الصوديوم 0.45% جلوكوز 5% 4865
kompatibel
حقن Cyclophosphamide 10 mg/ml
 التغذية الوريدية (خالية من الدهن) 301
kompatibel
حقن Cyclophosphamide 10 mg/ml
التغذية الوريدية (مع الدهون) 1415
kompatibel
حقن Cyclophosphamide
الجلوكوز %5 4989
kompatibel
حقن Cyclophosphamide 10 mg/ml
حقن Allopurinol sodium 3 mg/ml
كلوريد الصوديوم 0.9% 307
kompatibel
حقن Cyclophosphamide 10 mg/ml
حقن Amifostine 10 mg/ml
الجلوكوز %5 3
التعكر الفوري غير متوافق
حقن Cyclophosphamide 10 mg/ml
حقن Amphotericin B cholesteryl sulfate complex 0.83 mg/ml
الجلوكوز %5 921
kompatibel
حقن Cyclophosphamide
كلوريد الصوديوم 0.9% 4989
kompatibel
حقن Cyclophosphamide 10 mg/ml
حقن Anidulafungin 0.5 mg/ml
الجلوكوز %5 1982
kompatibel
حقن Cyclophosphamide 10 mg/ml
حقن Aztreonam 40 mg/ml
الجلوكوز %5 99
kompatibel
حقن Cyclophosphamide 10 mg/ml
حقن Cladribine 0.5 mg/ml
كلوريد الصوديوم 0.9% + مضاد للجراثيم 1496
kompatibel
حقن Cyclophosphamide 10 mg/ml
حقن Cladribine 0.015 mg/ml
كلوريد الصوديوم 0.9% 1496
kompatibel
حقن Cyclophosphamide 10 mg/ml
حقن Doripenem 5 mg/ml
الجلوكوز %5 2262
kompatibel
حقن Cyclophosphamide 10 mg/ml
حقن Doripenem 5 mg/ml
كلوريد الصوديوم 0.9% 2262
kompatibel
حقن Cyclophosphamide 10 mg/ml
حقن Doxorubicin hydrochloride liposome peg 0.4 mg/ml
الجلوكوز %5 251
kompatibel
حقن Cyclophosphamide 10 mg/ml
حقن Etoposide phosphate 5 mg/ml
الجلوكوز %5 1410
kompatibel
حقن Cyclophosphamide 10 mg/ml
حقن Filgrastim 30 µg/ml
الجلوكوز %5 244
kompatibel
حقن Cyclophosphamide 10 mg/ml
حقن Fludarabine phosphate 1 mg/ml
الجلوكوز %5 492
kompatibel
حقن Cyclophosphamide 20 mg/ml
حقن Gallium nitrate 1 mg/ml
كلوريد الصوديوم 0.9% 91
kompatibel
حقن Cyclophosphamide 10 mg/ml
حقن Gemcitabine hydrochloride 10 mg/ml
كلوريد الصوديوم 0.9% 1423
kompatibel
حقن Cyclophosphamide 2 mg/ml
حقن Granisetron hydrochloride 1 mg/ml
حقن المياه لل 57
kompatibel
حقن Cyclophosphamide 1 mg/ml
حقن Hydroxyzine dihydrochloride 0.5 mg/ml
الجلوكوز %5 331
kompatibel
حقن Cyclophosphamide 4 mg/ml
حقن Idarubicin hydrochloride 1 mg/ml
كلوريد الصوديوم 0.9% 491
هطول الأمطار بعد 4 ساعات غير متوافق
حقن Cyclophosphamide 10 mg/ml
حقن Lansoprazole 0.55 mg/ml
كلوريد الصوديوم 0.9% 1625
kompatibel
حقن Cyclophosphamide 10 mg/ml
حقن Linezolid 2 mg/ml
لا شيء 1925
kompatibel
حقن Cyclophosphamide 10 mg/ml
حقن Melphalan 0.1 mg/ml
كلوريد الصوديوم 0.9% 169
kompatibel
حقن Cyclophosphamide 1.8 mg/ml
حقن Mesna 0.54 mg/ml
الجلوكوز %5 1833
kompatibel
حقن Cyclophosphamide 10.8 mg/ml
حقن Mesna 3.2 mg/ml
الجلوكوز %5 1833
kompatibel
حقن Cyclophosphamide 1 >> 10 mg/ml
حقن Mesna 0.2 >> 10 mg/ml
كلوريد الصوديوم 0.9% 2104
kompatibel
حقن Cyclophosphamide 20 mg/ml
حقن Methotrexate sodium 30 mg/ml
كلوريد الصوديوم 0.9% 150
عدم توافق غير محدد غير متوافق
حقن Cyclophosphamide
حقن Mitomycin
4471
عدم الاستقرار الكيميائي غير متوافق
حقن Cyclophosphamide
حقن Mitomycin
3128
kompatibel
حقن Cyclophosphamide 2 mg/ml
حقن Ondansetron hydrochloride 0,4 mg/ml
كلوريد الصوديوم 0.9% 50
kompatibel
حقن Cyclophosphamide 0,3 mg/ml
حقن Ondansetron hydrochloride 0,05 mg/ml
كلوريد الصوديوم 0.9% 50
kompatibel
حقن Cyclophosphamide 20 mg/ml
حقن Ondansetron hydrochloride 0,016 >> 0,16 mg/ml
حقن المياه لل 3574
kompatibel
حقن Cyclophosphamide 0,3 mg/ml
حقن Ondansetron hydrochloride 0,05 mg/ml
الجلوكوز %5 50
kompatibel
حقن Cyclophosphamide 2 mg/ml
حقن Ondansetron hydrochloride 0,4 mg/ml
الجلوكوز %5 50
kompatibel
حقن Cyclophosphamide 10 mg/ml
حقن Ondansetron hydrochloride 1 mg/ml
كلوريد الصوديوم 0.9% 334
kompatibel
حقن Cyclophosphamide 10 mg/ml
حقن Oxaliplatin 0,5 mg/ml
الجلوكوز %5 1662
kompatibel
حقن Cyclophosphamide 10 mg/ml
حقن Paclitaxel 1.2 mg/ml
الجلوكوز %5 85
kompatibel
حقن Cyclophosphamide 10 mg/ml
حقن Palonosetron hydrochloride 50 µg/ml
الجلوكوز %5 2016
kompatibel
حقن Cyclophosphamide 10 mg/ml
حقن Pemetrexed disodium 20 mg/ml
كلوريد الصوديوم 0.9% 1953
kompatibel
حقن Cyclophosphamide 10 mg/ml
حقن Piperacillin sodium / tazobactam 40/5 mg/ml
الجلوكوز %5 81
kompatibel
حقن Cyclophosphamide 10 mg/ml
حقن Propofol 10 mg/ml
لا شيء 300
عدم ثبات المستحلب بعد 24 ساعة غير متوافق
حقن Cyclophosphamide 4 mg/ml
حقن Propofol
660
kompatibel
حقن Cyclophosphamide 10 mg/ml
حقن Sargramostim 10 µg/ml
كلوريد الصوديوم 0.9% 335
kompatibel
حقن Cyclophosphamide 20 mg/ml
حقن Sodium bicarbonate 14 mg/ml
لا شيء 150
kompatibel
حقن Cyclophosphamide 10 mg/ml
حقن Teniposide 0.1 mg/ml
الجلوكوز %5 905
kompatibel
حقن Cyclophosphamide 10 mg/ml
حقن Thiotepa 1 mg/ml
الجلوكوز %5 249
kompatibel
حقن Cyclophosphamide 20 mg/ml
حقن Topotecan 0.056 mg/ml
الجلوكوز %5 1026
kompatibel
حقن Cyclophosphamide 20 mg/ml
حقن Topotecan 0.056 mg/ml
كلوريد الصوديوم 0.9% 1026
kompatibel
حقن Cyclophosphamide 10 mg/ml
حقن Vinorelbine tartrate 1 mg/ml
كلوريد الصوديوم 0.9% 84

  Mentions Légales