Posledná aktualizácia :
18/03/2026
Protinádorová liečba   Cyclophosphamide  
Injekcia
Kapsula Perorálny roztok
Stabilita roztokov Stabilita v zmesiach Faktory ovplyvňujúce stabilitu Kompatibility spôsob podania Odkazy na literatúru PDF
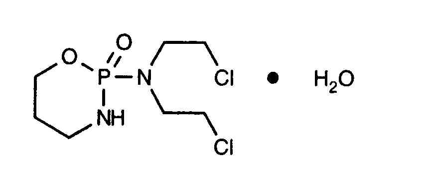
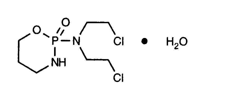
   Chemický vzorec  

Obchodný názov   Obchodný názov     

Obchodné názvy sú orientačné, a zloženie pomocných látok sa môže líšiť v závislosti od krajiny a výrobcu.

Alkyloxan Egypt, Malajzia
Celomide India
Ciclofosfamida Argentína, Čile, Rumunsko
Cicloxal Španielsko
Cryofaxol Mexiko
Cycloblastin Austrália
Cycloblastine Holandsko
Cyclophosphamid Dánsko, Nemecko
Cyclophosphamide nový Zéland, Saudská Arábia, Spojené štáty Americké, Veľká Británia
Cyclostin Nemecko
Cycloxan Malajzia
Cycram Egypt
Cytoxan Kanada, Maďarsko, Spojené štáty Americké
Eldamide India
Endoxan Austrália, Belgicko, Chorvátsko, Čile, Ekvádor, Francúzsko, Grécko, Holandsko, India, Irán, Kolumbia, Luxembursko, Maďarsko, Maroko, Nemecko, nový Zéland, Poľsko, Portugalsko, Rakúsko, Saudská Arábia, Slovinsko, Spojené arabské emiráty, Švajčiarsko, Taliansko, Thajsko, Tunisko, Turecko, Venezuela
Endoxana Írsko, Veľká Británia
Formitex Kolumbia, Mexiko
Genoxal Španielsko
Genuxal Brazília
Hidrofosmin Mexiko
Ledoxan Kolumbia
Ledoxina Kolumbia, Mexiko
Neophos Egypt
Neosar Spojené štáty Americké
Procytox Kanada
Sendoxan Dánsko, Fínsko, Island, Nórsko, Švédsko
Syklofosfamid Fínsko, Turecko
Kompatibility   Injekcia   Kompatibility : Cyclophosphamide              
Toto okno zobrazuje kompatibility alebo inkombatibility, v prípade inkompatibility aj jej typ (vyzrážanie, zmena farby, zmena emulzie atď.). Tu vymenované kompatibility sú väčšinou len fyzikálne, chemická stabilita každej zo zlúčenín sa hodnotila len zriedkavo. Tieto zmesi sa skúmali za účelom možnosti súbežného podávania pacientovi cez infúznu spojku Y. Údaje sa nedajú použiť na prípravu zmesí vo vakoch alebo striekačkách. Taká informácia sa nachádza v okne „Stabilita v zmesiach“.
Zlúčenina rozpúšťadlo odkazy na lieteratúru
kompatibilný
Injekcia Cyclophosphamide 20 mg/ml
NaHCO3 150
kompatibilný
Injekcia Cyclophosphamide
0,9% chlorid sodný 4865
kompatibilný
Injekcia Cyclophosphamide
0,45% chlorid sodný (a) 5% glukóza 4865
kompatibilný
Injekcia Cyclophosphamide 10 mg/ml
parenterálna výživa (binárna zmes) 301
kompatibilný
Injekcia Cyclophosphamide 10 mg/ml
Parenterálna výživa (lipidy) 1415
kompatibilný
Injekcia Cyclophosphamide
5% glukóza 4989
kompatibilný
Injekcia Cyclophosphamide 10 mg/ml
Injekcia Allopurinol sodium 3 mg/ml
0,9% chlorid sodný 307
kompatibilný
Injekcia Cyclophosphamide 10 mg/ml
Injekcia Amifostine 10 mg/ml
5% glukóza 3
Okamžitá zákal nezlučiteľný
Injekcia Cyclophosphamide 10 mg/ml
Injekcia Amphotericin B cholesteryl sulfate complex 0.83 mg/ml
5% glukóza 921
kompatibilný
Injekcia Cyclophosphamide
0,9% chlorid sodný 4989
kompatibilný
Injekcia Cyclophosphamide 10 mg/ml
Injekcia Anidulafungin 0.5 mg/ml
5% glukóza 1982
kompatibilný
Injekcia Cyclophosphamide 10 mg/ml
Injekcia Aztreonam 40 mg/ml
5% glukóza 99
kompatibilný
Injekcia Cyclophosphamide 10 mg/ml
Injekcia Cladribine 0.5 mg/ml
0,9% chlorid sodný + antibakteriálna látka 1496
kompatibilný
Injekcia Cyclophosphamide 10 mg/ml
Injekcia Cladribine 0.015 mg/ml
0,9% chlorid sodný 1496
kompatibilný
Injekcia Cyclophosphamide 10 mg/ml
Injekcia Doripenem 5 mg/ml
5% glukóza 2262
kompatibilný
Injekcia Cyclophosphamide 10 mg/ml
Injekcia Doripenem 5 mg/ml
0,9% chlorid sodný 2262
kompatibilný
Injekcia Cyclophosphamide 10 mg/ml
Injekcia Doxorubicin hydrochloride liposome peg 0.4 mg/ml
5% glukóza 251
kompatibilný
Injekcia Cyclophosphamide 10 mg/ml
Injekcia Etoposide phosphate 5 mg/ml
5% glukóza 1410
kompatibilný
Injekcia Cyclophosphamide 10 mg/ml
Injekcia Filgrastim 30 µg/ml
5% glukóza 244
kompatibilný
Injekcia Cyclophosphamide 10 mg/ml
Injekcia Fludarabine phosphate 1 mg/ml
5% glukóza 492
kompatibilný
Injekcia Cyclophosphamide 20 mg/ml
Injekcia Gallium nitrate 1 mg/ml
0,9% chlorid sodný 91
kompatibilný
Injekcia Cyclophosphamide 10 mg/ml
Injekcia Gemcitabine hydrochloride 10 mg/ml
0,9% chlorid sodný 1423
kompatibilný
Injekcia Cyclophosphamide 2 mg/ml
Injekcia Granisetron hydrochloride 1 mg/ml
voda na injekciu 57
kompatibilný
Injekcia Cyclophosphamide 1 mg/ml
Injekcia Hydroxyzine dihydrochloride 0.5 mg/ml
5% glukóza 331
kompatibilný
Injekcia Cyclophosphamide 4 mg/ml
Injekcia Idarubicin hydrochloride 1 mg/ml
0,9% chlorid sodný 491
Zrážky po 4 hodinách nezlučiteľný
Injekcia Cyclophosphamide 10 mg/ml
Injekcia Lansoprazole 0.55 mg/ml
0,9% chlorid sodný 1625
kompatibilný
Injekcia Cyclophosphamide 10 mg/ml
Injekcia Linezolid 2 mg/ml
Žiadny 1925
kompatibilný
Injekcia Cyclophosphamide 10 mg/ml
Injekcia Melphalan 0.1 mg/ml
0,9% chlorid sodný 169
kompatibilný
Injekcia Cyclophosphamide 1.8 mg/ml
Injekcia Mesna 0.54 mg/ml
5% glukóza 1833
kompatibilný
Injekcia Cyclophosphamide 10.8 mg/ml
Injekcia Mesna 3.2 mg/ml
5% glukóza 1833
kompatibilný
Injekcia Cyclophosphamide 1 >> 10 mg/ml
Injekcia Mesna 0.2 >> 10 mg/ml
0,9% chlorid sodný 2104
kompatibilný
Injekcia Cyclophosphamide 20 mg/ml
Injekcia Methotrexate sodium 30 mg/ml
0,9% chlorid sodný 150
Nešpecifikovaná nekompatibilita nezlučiteľný
Injekcia Cyclophosphamide
Injekcia Mitomycin
4471
Chemická nestabilita nezlučiteľný
Injekcia Cyclophosphamide
Injekcia Mitomycin
3128
kompatibilný
Injekcia Cyclophosphamide 2 mg/ml
Injekcia Ondansetron hydrochloride 0,4 mg/ml
0,9% chlorid sodný 50
kompatibilný
Injekcia Cyclophosphamide 0,3 mg/ml
Injekcia Ondansetron hydrochloride 0,05 mg/ml
0,9% chlorid sodný 50
kompatibilný
Injekcia Cyclophosphamide 20 mg/ml
Injekcia Ondansetron hydrochloride 0,016 >> 0,16 mg/ml
voda na injekciu 3574
kompatibilný
Injekcia Cyclophosphamide 0,3 mg/ml
Injekcia Ondansetron hydrochloride 0,05 mg/ml
5% glukóza 50
kompatibilný
Injekcia Cyclophosphamide 2 mg/ml
Injekcia Ondansetron hydrochloride 0,4 mg/ml
5% glukóza 50
kompatibilný
Injekcia Cyclophosphamide 10 mg/ml
Injekcia Ondansetron hydrochloride 1 mg/ml
0,9% chlorid sodný 334
kompatibilný
Injekcia Cyclophosphamide 10 mg/ml
Injekcia Oxaliplatin 0,5 mg/ml
5% glukóza 1662
kompatibilný
Injekcia Cyclophosphamide 10 mg/ml
Injekcia Paclitaxel 1.2 mg/ml
5% glukóza 85
kompatibilný
Injekcia Cyclophosphamide 10 mg/ml
Injekcia Palonosetron hydrochloride 50 µg/ml
5% glukóza 2016
kompatibilný
Injekcia Cyclophosphamide 10 mg/ml
Injekcia Pemetrexed disodium 20 mg/ml
0,9% chlorid sodný 1953
kompatibilný
Injekcia Cyclophosphamide 10 mg/ml
Injekcia Piperacillin sodium / tazobactam 40/5 mg/ml
5% glukóza 81
kompatibilný
Injekcia Cyclophosphamide 10 mg/ml
Injekcia Propofol 10 mg/ml
Žiadny 300
Nestabilita emulzie po 24 hodinách nezlučiteľný
Injekcia Cyclophosphamide 4 mg/ml
Injekcia Propofol
660
kompatibilný
Injekcia Cyclophosphamide 10 mg/ml
Injekcia Sargramostim 10 µg/ml
0,9% chlorid sodný 335
kompatibilný
Injekcia Cyclophosphamide 20 mg/ml
Injekcia Sodium bicarbonate 14 mg/ml
Žiadny 150
kompatibilný
Injekcia Cyclophosphamide 10 mg/ml
Injekcia Teniposide 0.1 mg/ml
5% glukóza 905
kompatibilný
Injekcia Cyclophosphamide 10 mg/ml
Injekcia Thiotepa 1 mg/ml
5% glukóza 249
kompatibilný
Injekcia Cyclophosphamide 20 mg/ml
Injekcia Topotecan 0.056 mg/ml
5% glukóza 1026
kompatibilný
Injekcia Cyclophosphamide 20 mg/ml
Injekcia Topotecan 0.056 mg/ml
0,9% chlorid sodný 1026
kompatibilný
Injekcia Cyclophosphamide 10 mg/ml
Injekcia Vinorelbine tartrate 1 mg/ml
0,9% chlorid sodný 84

  Mentions Légales