Dernière mise à jour :
18/03/2026
Anticancéreux   Cyclophosphamide  
injectable
Gélule Solution buvable
Stabilité des solutions Stabilité en mélange Facteur influençant la stabilité Compatibilités Voie d’administration Bibliographie pdf
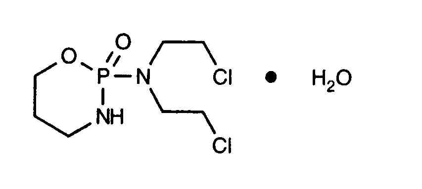
   Structure chimique  

Noms commerciaux   Noms commerciaux     

Les noms commerciaux sont donnés à titre indicatif et la composition en excipients peut être différente selon les pays et selon les laboratoires

Alkyloxan Egypte, Malaisie
Celomide Inde
Ciclofosfamida Argentine, Chili, Roumanie
Cicloxal Espagne
Cryofaxol Mexique
Cycloblastin Australie
Cycloblastine Pays bas
Cyclophosphamid Allemagne, Danemark
Cyclophosphamide Arabie Saoudite, Etats Unis d’Amérique, Grande Bretagne, Nouvelle Zélande
Cyclostin Allemagne
Cycloxan Malaisie
Cycram Egypte
Cytoxan Canada, Etats Unis d’Amérique, Hongrie
Eldamide Inde
Endoxan Allemagne, Arabie Saoudite, Australie, Autriche, Belgique, Chili, Colombie, Croatie, Emirats Arabes Unis , Equateur, France, Grèce, Hongrie, Inde, Iran, Italie, Luxembourg, Maroc, Nouvelle Zélande, Pays bas, Pologne, Portugal, Slovénie, Suisse, Thaïlande, Tunisie, Turquie, Vénézuela
Endoxana Grande Bretagne, Irlande
Formitex Colombie, Mexique
Genoxal Espagne
Genuxal Brésil
Hidrofosmin Mexique
Ledoxan Colombie
Ledoxina Colombie, Mexique
Neophos Egypte
Neosar Etats Unis d’Amérique
Procytox Canada
Sendoxan Danemark, Finlande, Islande, Norvège, Suède
Syklofosfamid Finlande, Turquie
Compatibilités   injectable   Compatibilités : Cyclophosphamide              
Cet écran indique les compatibilités ou incompatibilités avec, dans ce cas, le type d'incompatibilité (précipitation, changement de couleur, modification d'une émulsion, etc.). Les compatibilités présentées ici sont pour la plupart uniquement physiques, la stabilité chimique de chaque molécule étant rarement évaluée. L'évaluation de ces mélanges a été étudiée pour envisager la possibilité d'une administration en site Y au patient. Ces données ne peuvent pas être utilisées pour préparer des mélanges à l'avance dans des poches de perfusion ou des seringues. Ce type d'informations est disponible dans l'écran « Stabilité en mélange ».
Molécule Solvant Bibliographie
Compatible
injectable Cyclophosphamide 20 mg/ml
NaHCO3 150
Compatible
injectable Cyclophosphamide
Chlorure de sodium 0,9% 4865
Compatible
injectable Cyclophosphamide
NaCl 0,45% Glucose 5% 4865
Compatible
injectable Cyclophosphamide 10 mg/ml
Nutrition parentérale (mélange binaire) 301
Compatible
injectable Cyclophosphamide 10 mg/ml
Nutrition parentérale (mélange ternaire) 1415
Compatible
injectable Cyclophosphamide
Glucose 5% 4989
Compatible
injectable Cyclophosphamide 10 mg/ml
injectable Allopurinol sodium 3 mg/ml
Chlorure de sodium 0,9% 307
Compatible
injectable Cyclophosphamide 10 mg/ml
injectable Amifostine 10 mg/ml
Glucose 5% 3
Turbidité immédiate Incompatible
injectable Cyclophosphamide 10 mg/ml
injectable Amphotericin B cholesteryl sulfate complex 0.83 mg/ml
Glucose 5% 921
Compatible
injectable Cyclophosphamide
Chlorure de sodium 0,9% 4989
Compatible
injectable Cyclophosphamide 10 mg/ml
injectable Anidulafungin 0.5 mg/ml
Glucose 5% 1982
Compatible
injectable Cyclophosphamide 10 mg/ml
injectable Aztreonam 40 mg/ml
Glucose 5% 99
Compatible
injectable Cyclophosphamide 10 mg/ml
injectable Cladribine 0.5 mg/ml
NaCl 0,9% + bactériosatique 1496
Compatible
injectable Cyclophosphamide 10 mg/ml
injectable Cladribine 0.015 mg/ml
Chlorure de sodium 0,9% 1496
Compatible
injectable Cyclophosphamide 10 mg/ml
injectable Doripenem 5 mg/ml
Glucose 5% 2262
Compatible
injectable Cyclophosphamide 10 mg/ml
injectable Doripenem 5 mg/ml
Chlorure de sodium 0,9% 2262
Compatible
injectable Cyclophosphamide 10 mg/ml
injectable Doxorubicin hydrochloride liposome peg 0.4 mg/ml
Glucose 5% 251
Compatible
injectable Cyclophosphamide 10 mg/ml
injectable Etoposide phosphate 5 mg/ml
Glucose 5% 1410
Compatible
injectable Cyclophosphamide 10 mg/ml
injectable Filgrastim 30 µg/ml
Glucose 5% 244
Compatible
injectable Cyclophosphamide 10 mg/ml
injectable Fludarabine phosphate 1 mg/ml
Glucose 5% 492
Compatible
injectable Cyclophosphamide 20 mg/ml
injectable Gallium nitrate 1 mg/ml
Chlorure de sodium 0,9% 91
Compatible
injectable Cyclophosphamide 10 mg/ml
injectable Gemcitabine hydrochloride 10 mg/ml
Chlorure de sodium 0,9% 1423
Compatible
injectable Cyclophosphamide 2 mg/ml
injectable Granisetron hydrochloride 1 mg/ml
Eau pour préparation injectable 57
Compatible
injectable Cyclophosphamide 1 mg/ml
injectable Hydroxyzine dihydrochloride 0.5 mg/ml
Glucose 5% 331
Compatible
injectable Cyclophosphamide 4 mg/ml
injectable Idarubicin hydrochloride 1 mg/ml
Chlorure de sodium 0,9% 491
Précipitation en 4 heures Incompatible
injectable Cyclophosphamide 10 mg/ml
injectable Lansoprazole 0.55 mg/ml
Chlorure de sodium 0,9% 1625
Compatible
injectable Cyclophosphamide 10 mg/ml
injectable Linezolid 2 mg/ml
Aucun 1925
Compatible
injectable Cyclophosphamide 10 mg/ml
injectable Melphalan 0.1 mg/ml
Chlorure de sodium 0,9% 169
Compatible
injectable Cyclophosphamide 1.8 mg/ml
injectable Mesna 0.54 mg/ml
Glucose 5% 1833
Compatible
injectable Cyclophosphamide 10.8 mg/ml
injectable Mesna 3.2 mg/ml
Glucose 5% 1833
Compatible
injectable Cyclophosphamide 1 >> 10 mg/ml
injectable Mesna 0.2 >> 10 mg/ml
Chlorure de sodium 0,9% 2104
Compatible
injectable Cyclophosphamide 20 mg/ml
injectable Methotrexate sodium 30 mg/ml
Chlorure de sodium 0,9% 150
Incompatibilité non précisée Incompatible
injectable Cyclophosphamide
injectable Mitomycin
4471
Instabilité chimique Incompatible
injectable Cyclophosphamide
injectable Mitomycin
3128
Compatible
injectable Cyclophosphamide 2 mg/ml
injectable Ondansetron hydrochloride 0,4 mg/ml
Chlorure de sodium 0,9% 50
Compatible
injectable Cyclophosphamide 0,3 mg/ml
injectable Ondansetron hydrochloride 0,05 mg/ml
Chlorure de sodium 0,9% 50
Compatible
injectable Cyclophosphamide 20 mg/ml
injectable Ondansetron hydrochloride 0,016 >> 0,16 mg/ml
Eau pour préparation injectable 3574
Compatible
injectable Cyclophosphamide 0,3 mg/ml
injectable Ondansetron hydrochloride 0,05 mg/ml
Glucose 5% 50
Compatible
injectable Cyclophosphamide 2 mg/ml
injectable Ondansetron hydrochloride 0,4 mg/ml
Glucose 5% 50
Compatible
injectable Cyclophosphamide 10 mg/ml
injectable Ondansetron hydrochloride 1 mg/ml
Chlorure de sodium 0,9% 334
Compatible
injectable Cyclophosphamide 10 mg/ml
injectable Oxaliplatin 0,5 mg/ml
Glucose 5% 1662
Compatible
injectable Cyclophosphamide 10 mg/ml
injectable Paclitaxel 1.2 mg/ml
Glucose 5% 85
Compatible
injectable Cyclophosphamide 10 mg/ml
injectable Palonosetron hydrochloride 50 µg/ml
Glucose 5% 2016
Compatible
injectable Cyclophosphamide 10 mg/ml
injectable Pemetrexed disodium 20 mg/ml
Chlorure de sodium 0,9% 1953
Compatible
injectable Cyclophosphamide 10 mg/ml
injectable Piperacillin sodium / tazobactam 40/5 mg/ml
Glucose 5% 81
Compatible
injectable Cyclophosphamide 10 mg/ml
injectable Propofol 10 mg/ml
Aucun 300
Instabilité de l'émulsion en 24 heures Incompatible
injectable Cyclophosphamide 4 mg/ml
injectable Propofol
660
Compatible
injectable Cyclophosphamide 10 mg/ml
injectable Sargramostim 10 µg/ml
Chlorure de sodium 0,9% 335
Compatible
injectable Cyclophosphamide 20 mg/ml
injectable Sodium bicarbonate 14 mg/ml
Aucun 150
Compatible
injectable Cyclophosphamide 10 mg/ml
injectable Teniposide 0.1 mg/ml
Glucose 5% 905
Compatible
injectable Cyclophosphamide 10 mg/ml
injectable Thiotepa 1 mg/ml
Glucose 5% 249
Compatible
injectable Cyclophosphamide 20 mg/ml
injectable Topotecan 0.056 mg/ml
Glucose 5% 1026
Compatible
injectable Cyclophosphamide 20 mg/ml
injectable Topotecan 0.056 mg/ml
Chlorure de sodium 0,9% 1026
Compatible
injectable Cyclophosphamide 10 mg/ml
injectable Vinorelbine tartrate 1 mg/ml
Chlorure de sodium 0,9% 84

  Mentions Légales