Ultimele actualizari :
18/03/2026
Citostatic   Cyclophosphamide  
Injectabil
Capsulă Soluţie orală
Stabilitatea in solutie Stabilitatea in amestec Factorii care influenteaza stabilitatea Compatibilitate Microunde Bibliografie pdf
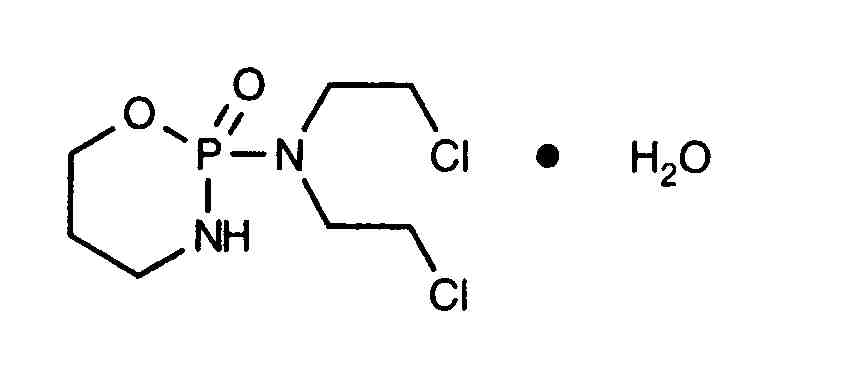
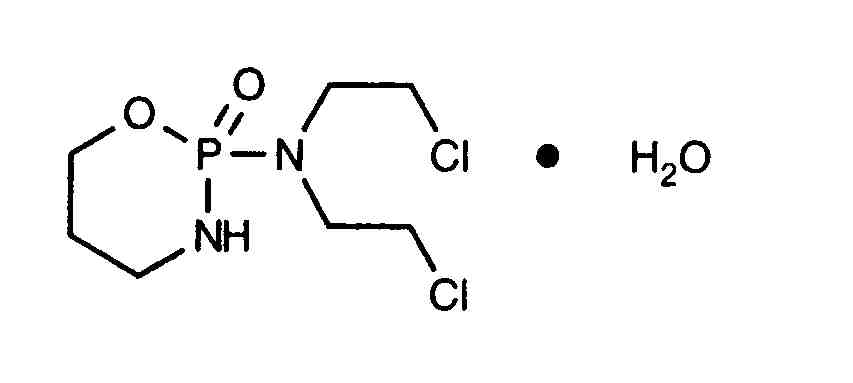
   Formula chimica  

Denumirea comerciala   Denumirea comerciala     

Trade names are indicative and excipients composition can be different depending on the country and manufacturers

Alkyloxan Egipt, Malaezia
Celomide India
Ciclofosfamida Argentina, Chilli, Romania
Cicloxal Spania
Cryofaxol Mexic
Cycloblastin Australia
Cycloblastine Olanda
Cyclophosphamid Danemarca, Germania
Cyclophosphamide Arabia Saudita, Marea Britanie, noua Zeelandă, SUA
Cyclostin Germania
Cycloxan Malaezia
Cycram Egipt
Cytoxan Canada, SUA, Ungaria
Eldamide India
Endoxan Arabia Saudita, Australia, Austria, Belgia, Chilli, Columbia, Croatia, Ecuador, Elvetia, Emiratele Arabe Unite, Franta, Germania, Grecia, India, Iran, Italia, Luxemburg, Maroc, noua Zeelandă, Olanda, Polonia, Portugalia, Slovenia, Tailanda, Tunisia, Turcia, Ungaria, Venezuela
Endoxana Irlanda, Marea Britanie
Formitex Columbia, Mexic
Genoxal Spania
Genuxal Brazilia
Hidrofosmin Mexic
Ledoxan Columbia
Ledoxina Columbia, Mexic
Neophos Egipt
Neosar SUA
Procytox Canada
Sendoxan Danemarca, Finlanda, Islanda, Norvegia, Suedia
Syklofosfamid Finlanda, Turcia
Compatibilitate   Injectabil   Compatibilitate : Cyclophosphamide              
Acest ecran indică compatibilitățile sau incompatibilitățile cu, în acest caz, tipul de incompatibilitate (precipitații, schimbarea culorii, modificarea unei emulsii etc.). Compatibilitățile prezentate aici sunt în mare parte numai fizice, stabilitatea chimică a fiecărei molecule fiind rareori evaluată. Evaluarea acestor amestecuri a fost studiată pentru a lua în considerare posibilitatea administrării site-ului Y la pacient. Aceste date nu pot fi utilizate pentru prepararea în prealabil a amestecurilor în pungi sau seringi. Acest tip de informații este disponibil în ecranul „Stabilitate în amestec».
Molecula (substanta activa) Solvent Bibiografie
Compatibil
Injectabil Cyclophosphamide 20 mg/ml
NaHCO3 150
Compatibil
Injectabil Cyclophosphamide
clorura de sodiu 0,9% 4865
Compatibil
Injectabil Cyclophosphamide
NaCl 0,45% Glucoza 5% 4865
Compatibil
Injectabil Cyclophosphamide 10 mg/ml
Nutritie parenterala (amestec binar) 301
Compatibil
Injectabil Cyclophosphamide 10 mg/ml
Nutriție parenterală (cu lipide) 1415
Compatibil
Injectabil Cyclophosphamide
Glucoza 5% 4989
Compatibil
Injectabil Cyclophosphamide 10 mg/ml
Injectabil Allopurinol sodium 3 mg/ml
clorura de sodiu 0,9% 307
Compatibil
Injectabil Cyclophosphamide 10 mg/ml
Injectabil Amifostine 10 mg/ml
Glucoza 5% 3
Turbiditate imediată Incompatibil
Injectabil Cyclophosphamide 10 mg/ml
Injectabil Amphotericin B cholesteryl sulfate complex 0.83 mg/ml
Glucoza 5% 921
Compatibil
Injectabil Cyclophosphamide
clorura de sodiu 0,9% 4989
Compatibil
Injectabil Cyclophosphamide 10 mg/ml
Injectabil Anidulafungin 0.5 mg/ml
Glucoza 5% 1982
Compatibil
Injectabil Cyclophosphamide 10 mg/ml
Injectabil Aztreonam 40 mg/ml
Glucoza 5% 99
Compatibil
Injectabil Cyclophosphamide 10 mg/ml
Injectabil Cladribine 0.5 mg/ml
NaCl 0,9% + agent antibacterian 1496
Compatibil
Injectabil Cyclophosphamide 10 mg/ml
Injectabil Cladribine 0.015 mg/ml
clorura de sodiu 0,9% 1496
Compatibil
Injectabil Cyclophosphamide 10 mg/ml
Injectabil Doripenem 5 mg/ml
Glucoza 5% 2262
Compatibil
Injectabil Cyclophosphamide 10 mg/ml
Injectabil Doripenem 5 mg/ml
clorura de sodiu 0,9% 2262
Compatibil
Injectabil Cyclophosphamide 10 mg/ml
Injectabil Doxorubicin hydrochloride liposome peg 0.4 mg/ml
Glucoza 5% 251
Compatibil
Injectabil Cyclophosphamide 10 mg/ml
Injectabil Etoposide phosphate 5 mg/ml
Glucoza 5% 1410
Compatibil
Injectabil Cyclophosphamide 10 mg/ml
Injectabil Filgrastim 30 µg/ml
Glucoza 5% 244
Compatibil
Injectabil Cyclophosphamide 10 mg/ml
Injectabil Fludarabine phosphate 1 mg/ml
Glucoza 5% 492
Compatibil
Injectabil Cyclophosphamide 20 mg/ml
Injectabil Gallium nitrate 1 mg/ml
clorura de sodiu 0,9% 91
Compatibil
Injectabil Cyclophosphamide 10 mg/ml
Injectabil Gemcitabine hydrochloride 10 mg/ml
clorura de sodiu 0,9% 1423
Compatibil
Injectabil Cyclophosphamide 2 mg/ml
Injectabil Granisetron hydrochloride 1 mg/ml
apa pentru preparate injectabile 57
Compatibil
Injectabil Cyclophosphamide 1 mg/ml
Injectabil Hydroxyzine dihydrochloride 0.5 mg/ml
Glucoza 5% 331
Compatibil
Injectabil Cyclophosphamide 4 mg/ml
Injectabil Idarubicin hydrochloride 1 mg/ml
clorura de sodiu 0,9% 491
Precipitații după 4 ore Incompatibil
Injectabil Cyclophosphamide 10 mg/ml
Injectabil Lansoprazole 0.55 mg/ml
clorura de sodiu 0,9% 1625
Compatibil
Injectabil Cyclophosphamide 10 mg/ml
Injectabil Linezolid 2 mg/ml
fara 1925
Compatibil
Injectabil Cyclophosphamide 10 mg/ml
Injectabil Melphalan 0.1 mg/ml
clorura de sodiu 0,9% 169
Compatibil
Injectabil Cyclophosphamide 1.8 mg/ml
Injectabil Mesna 0.54 mg/ml
Glucoza 5% 1833
Compatibil
Injectabil Cyclophosphamide 10.8 mg/ml
Injectabil Mesna 3.2 mg/ml
Glucoza 5% 1833
Compatibil
Injectabil Cyclophosphamide 1 >> 10 mg/ml
Injectabil Mesna 0.2 >> 10 mg/ml
clorura de sodiu 0,9% 2104
Compatibil
Injectabil Cyclophosphamide 20 mg/ml
Injectabil Methotrexate sodium 30 mg/ml
clorura de sodiu 0,9% 150
Incompatibilitate nespecificată Incompatibil
Injectabil Cyclophosphamide
Injectabil Mitomycin
4471
Instabilitate chimică Incompatibil
Injectabil Cyclophosphamide
Injectabil Mitomycin
3128
Compatibil
Injectabil Cyclophosphamide 2 mg/ml
Injectabil Ondansetron hydrochloride 0,4 mg/ml
clorura de sodiu 0,9% 50
Compatibil
Injectabil Cyclophosphamide 0,3 mg/ml
Injectabil Ondansetron hydrochloride 0,05 mg/ml
clorura de sodiu 0,9% 50
Compatibil
Injectabil Cyclophosphamide 20 mg/ml
Injectabil Ondansetron hydrochloride 0,016 >> 0,16 mg/ml
apa pentru preparate injectabile 3574
Compatibil
Injectabil Cyclophosphamide 0,3 mg/ml
Injectabil Ondansetron hydrochloride 0,05 mg/ml
Glucoza 5% 50
Compatibil
Injectabil Cyclophosphamide 2 mg/ml
Injectabil Ondansetron hydrochloride 0,4 mg/ml
Glucoza 5% 50
Compatibil
Injectabil Cyclophosphamide 10 mg/ml
Injectabil Ondansetron hydrochloride 1 mg/ml
clorura de sodiu 0,9% 334
Compatibil
Injectabil Cyclophosphamide 10 mg/ml
Injectabil Oxaliplatin 0,5 mg/ml
Glucoza 5% 1662
Compatibil
Injectabil Cyclophosphamide 10 mg/ml
Injectabil Paclitaxel 1.2 mg/ml
Glucoza 5% 85
Compatibil
Injectabil Cyclophosphamide 10 mg/ml
Injectabil Palonosetron hydrochloride 50 µg/ml
Glucoza 5% 2016
Compatibil
Injectabil Cyclophosphamide 10 mg/ml
Injectabil Pemetrexed disodium 20 mg/ml
clorura de sodiu 0,9% 1953
Compatibil
Injectabil Cyclophosphamide 10 mg/ml
Injectabil Piperacillin sodium / tazobactam 40/5 mg/ml
Glucoza 5% 81
Compatibil
Injectabil Cyclophosphamide 10 mg/ml
Injectabil Propofol 10 mg/ml
fara 300
Instabilitatea emulsiei după 24 ore Incompatibil
Injectabil Cyclophosphamide 4 mg/ml
Injectabil Propofol
660
Compatibil
Injectabil Cyclophosphamide 10 mg/ml
Injectabil Sargramostim 10 µg/ml
clorura de sodiu 0,9% 335
Compatibil
Injectabil Cyclophosphamide 20 mg/ml
Injectabil Sodium bicarbonate 14 mg/ml
fara 150
Compatibil
Injectabil Cyclophosphamide 10 mg/ml
Injectabil Teniposide 0.1 mg/ml
Glucoza 5% 905
Compatibil
Injectabil Cyclophosphamide 10 mg/ml
Injectabil Thiotepa 1 mg/ml
Glucoza 5% 249
Compatibil
Injectabil Cyclophosphamide 20 mg/ml
Injectabil Topotecan 0.056 mg/ml
Glucoza 5% 1026
Compatibil
Injectabil Cyclophosphamide 20 mg/ml
Injectabil Topotecan 0.056 mg/ml
clorura de sodiu 0,9% 1026
Compatibil
Injectabil Cyclophosphamide 10 mg/ml
Injectabil Vinorelbine tartrate 1 mg/ml
clorura de sodiu 0,9% 84

  Mentions Légales