Cập nhật lần cuối :
27/11/2025
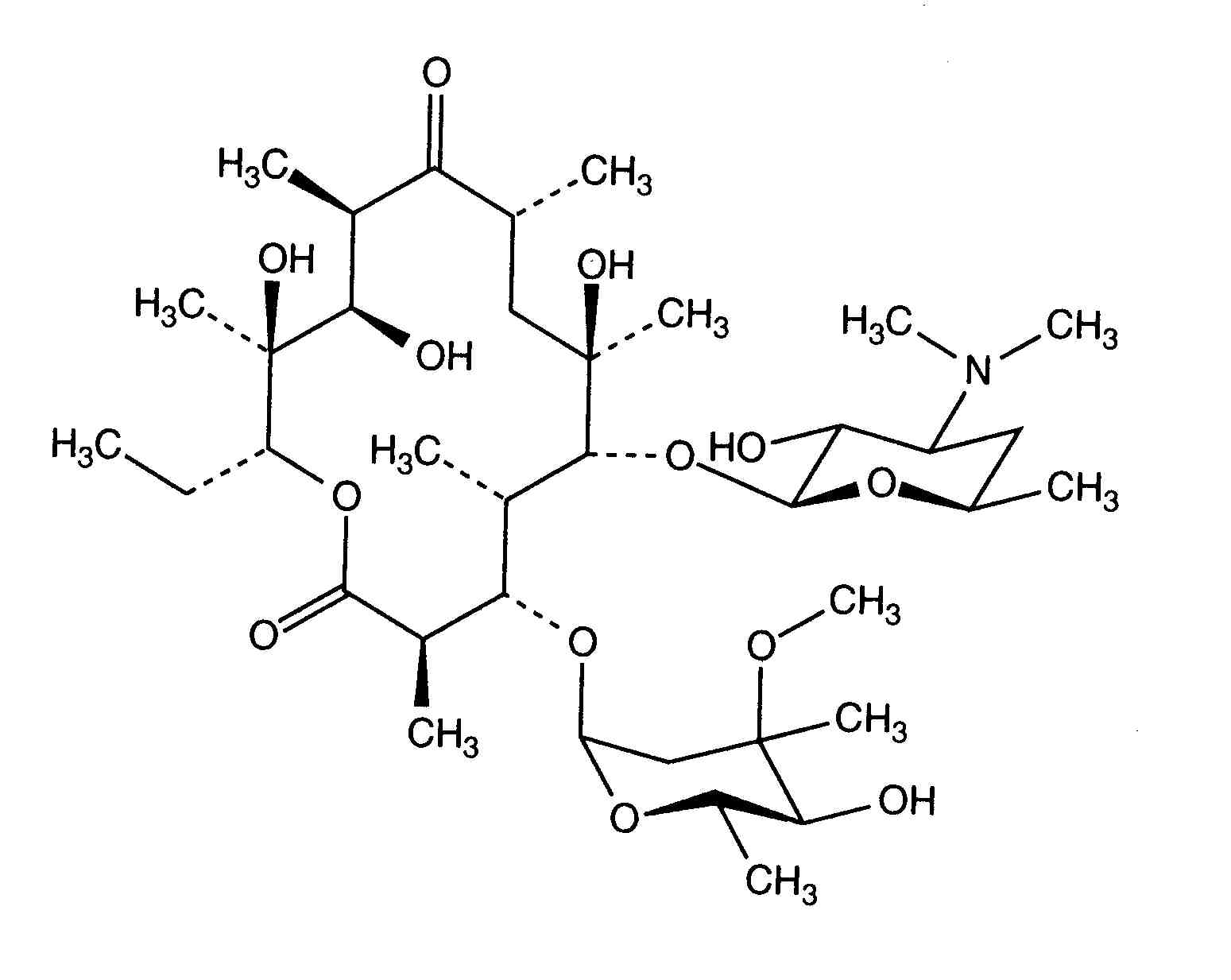
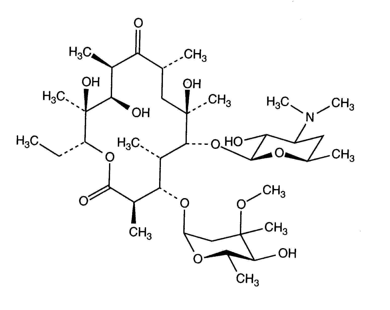
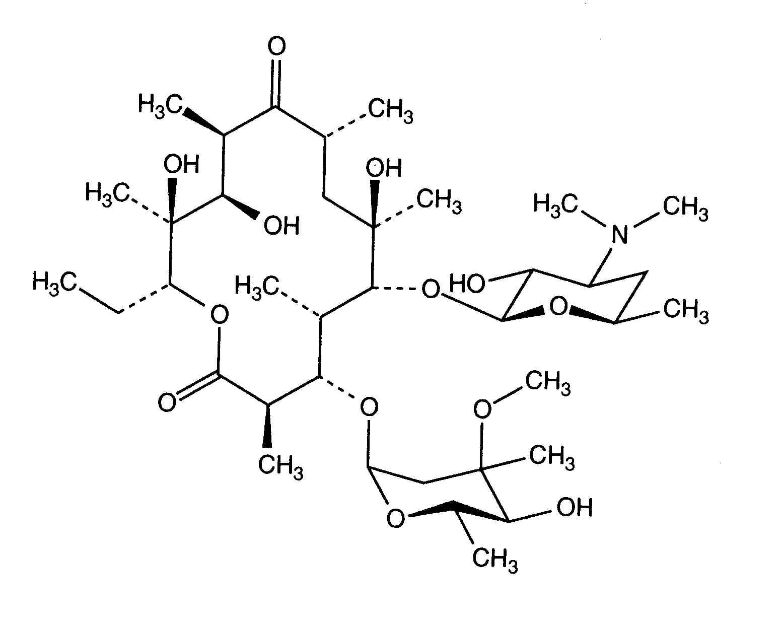
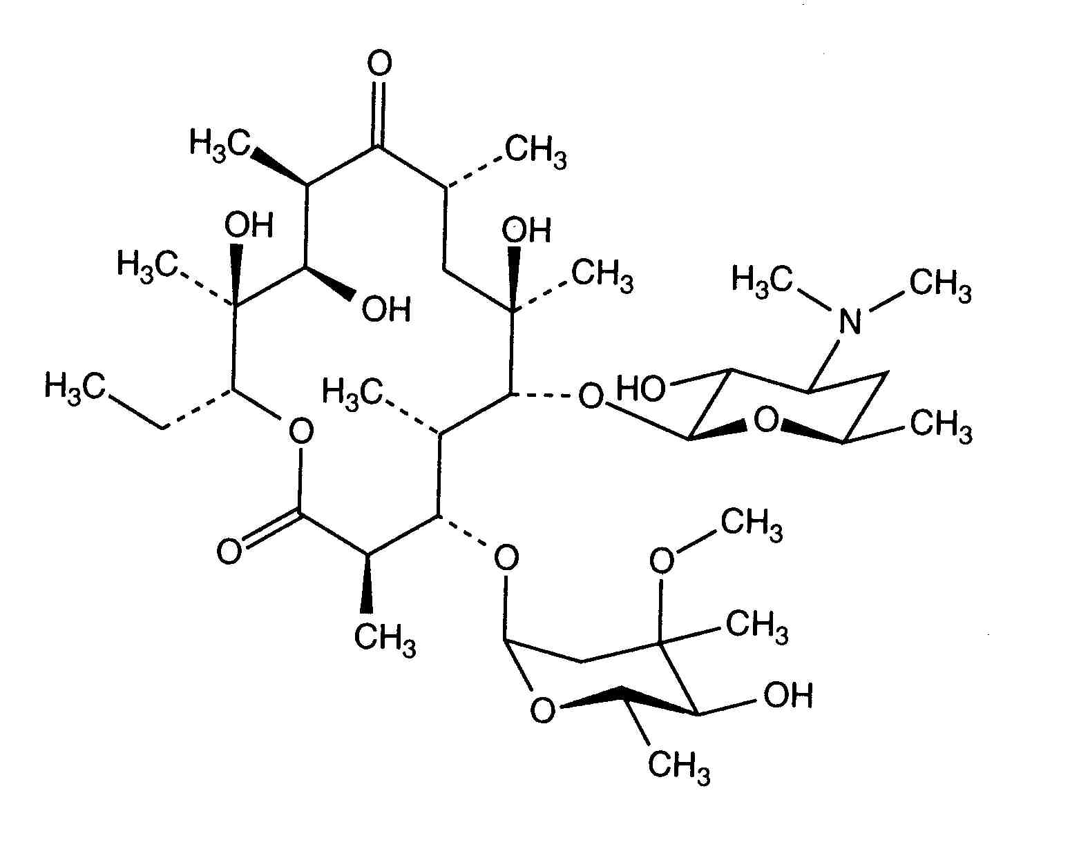
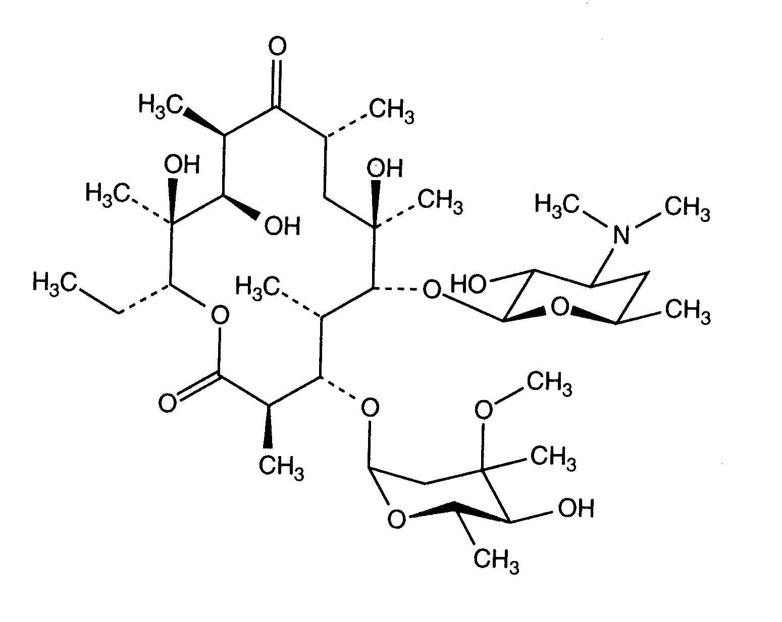
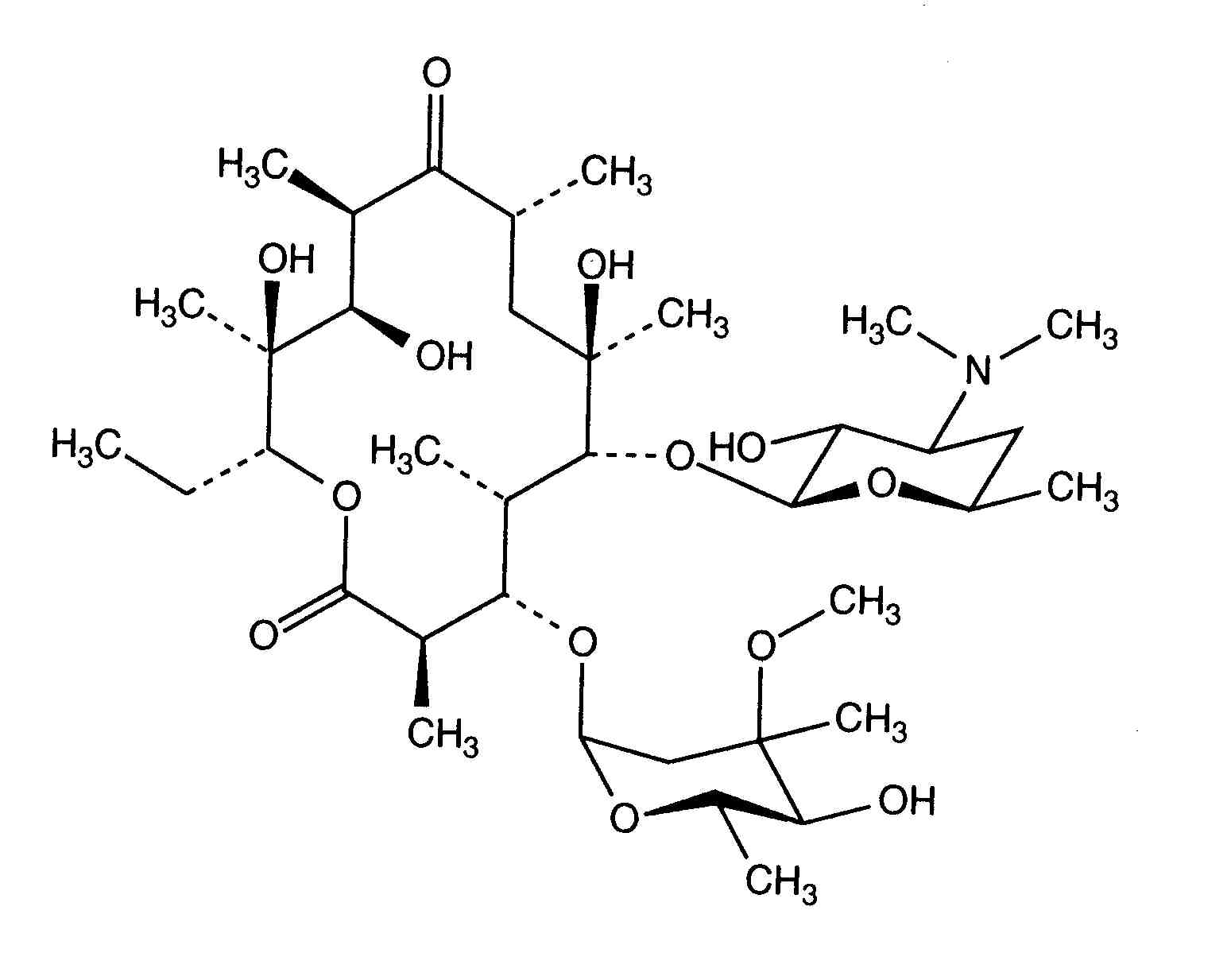
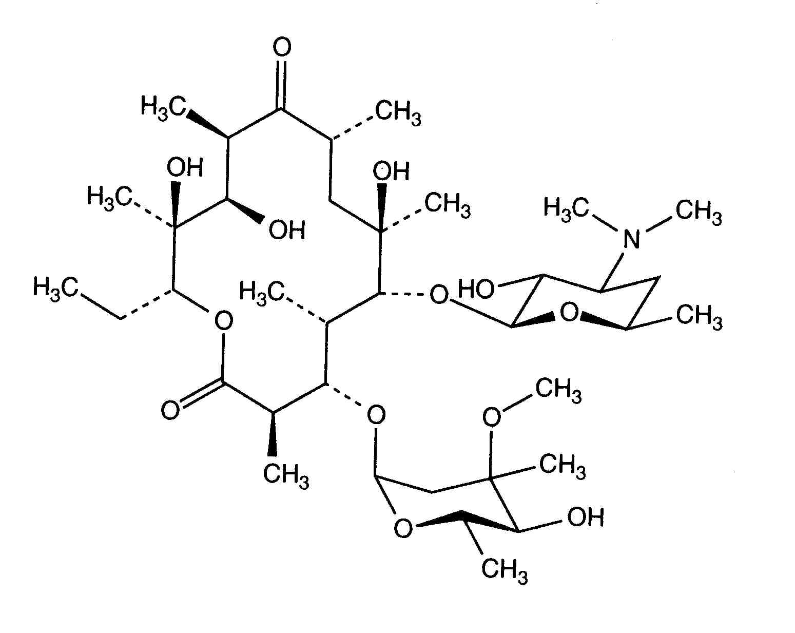
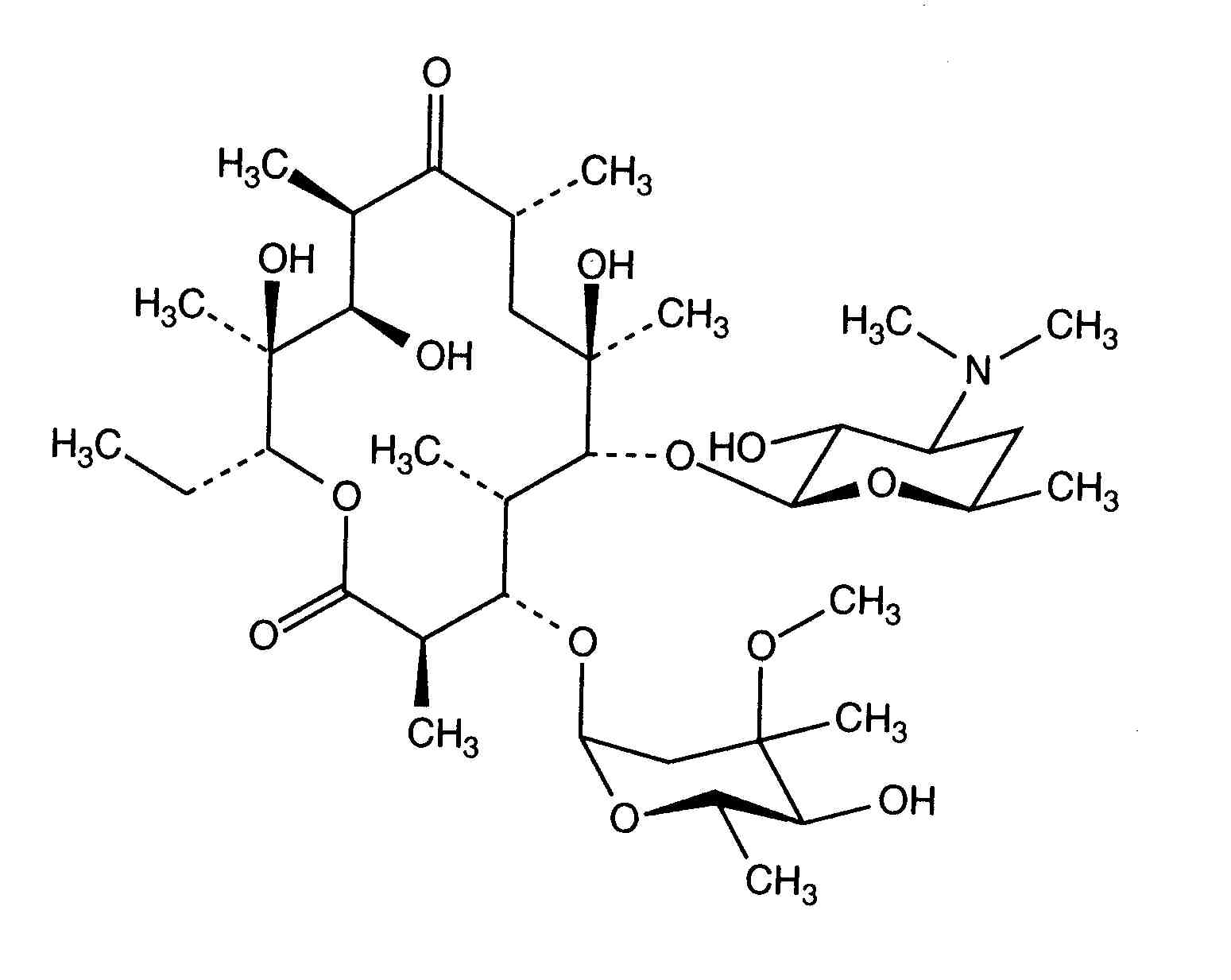
Kháng sinh   Erythromycin lactobionate  
Dạng tiêm
Tính ổn định của các dung dịch Độ ổn định khi trộn lẫn Những yếu tố ảnh hưởng đến độ ổn định Khả năng tương thích Đường dùng Tài liệu tham khảo Pdf
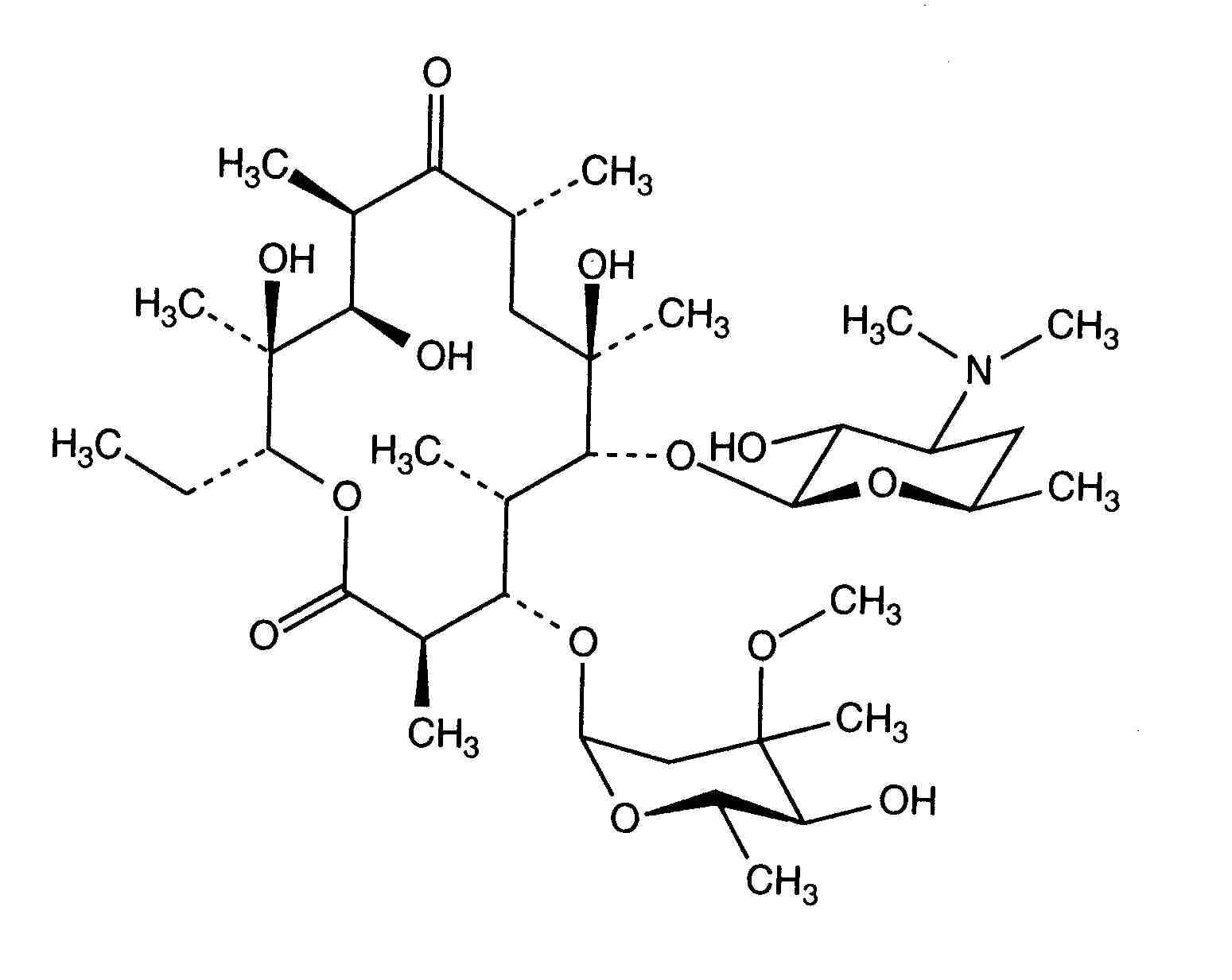
   Cấu trúc hóa học  

Tên thương mại   Tên thương mại     

Các tên thương mại được cung cấp và thành phần tá dược có thể khác nhau giữa các quốc gia và các hãng dược

Abboticin Na Uy, Phần Lan, Thụy Điển, Đan Mạch
Eristin Argentina
Erithromicina Chile
Erycinum Đức
Erythrocin Ả Rập Saudi, Anh, Áo, Canada, Hoa Kỳ, Ireland, new zealand, Úc, Đức
Erythrocin lactobionat ADD Vantage Áo, Úc
Erythrocine Bỉ, Hà Lan, Luxembourg, Pháp, Tunisia
Erythromycin Ả Rập Saudi, Anh, Hoa Kỳ, Hungary, Đức
Erythromycine Luxembourg
Erythromycinum Ba Lan
Pantomicina Chile, Tây Ban Nha
Đường dùng   Đường dùng :Erythromycin lactobionate     
Đường dùng
Truyền tĩnh mạch
Truyền liên tục

  Mentions Légales