Zadnji put ažurirano :
18/03/2026
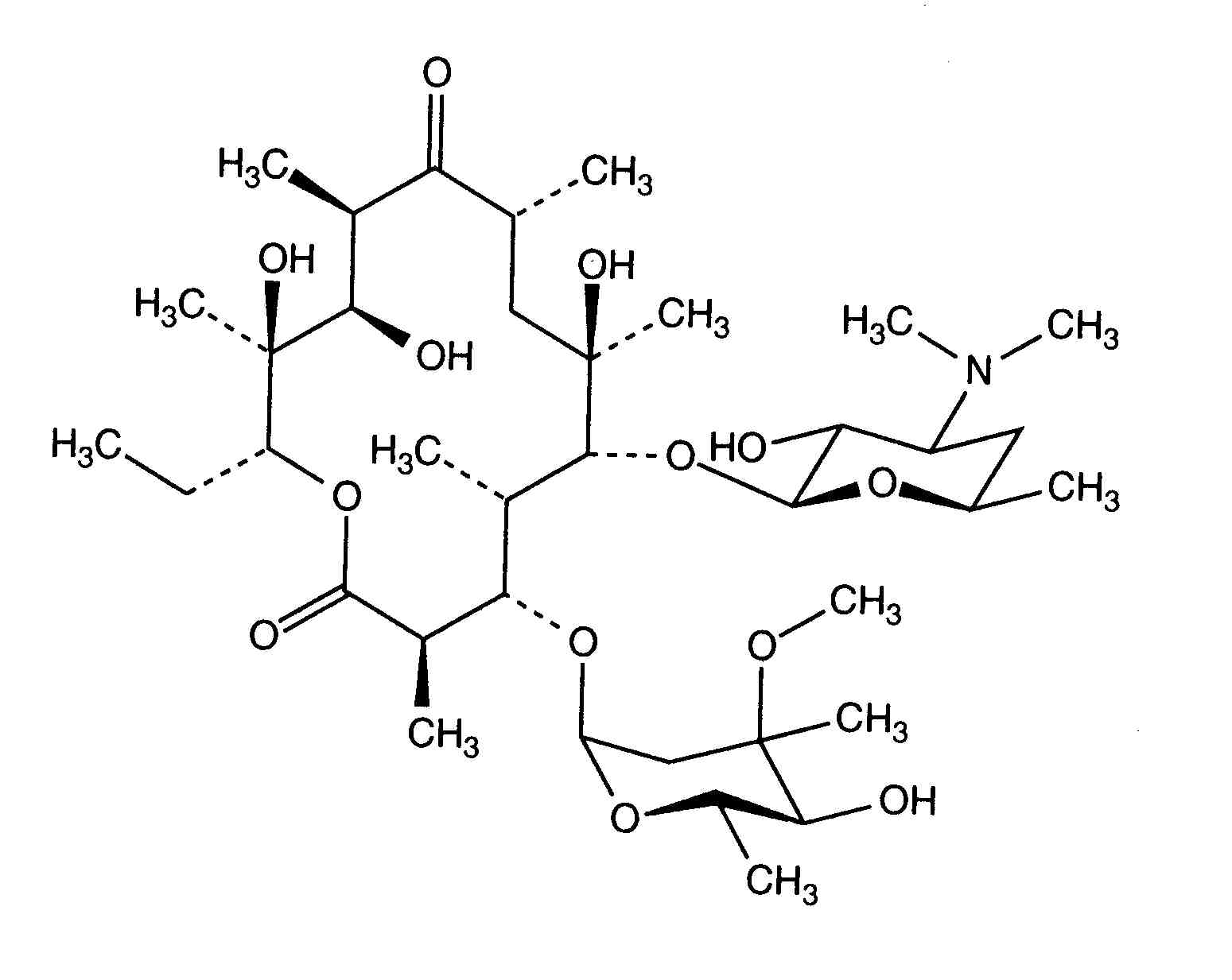
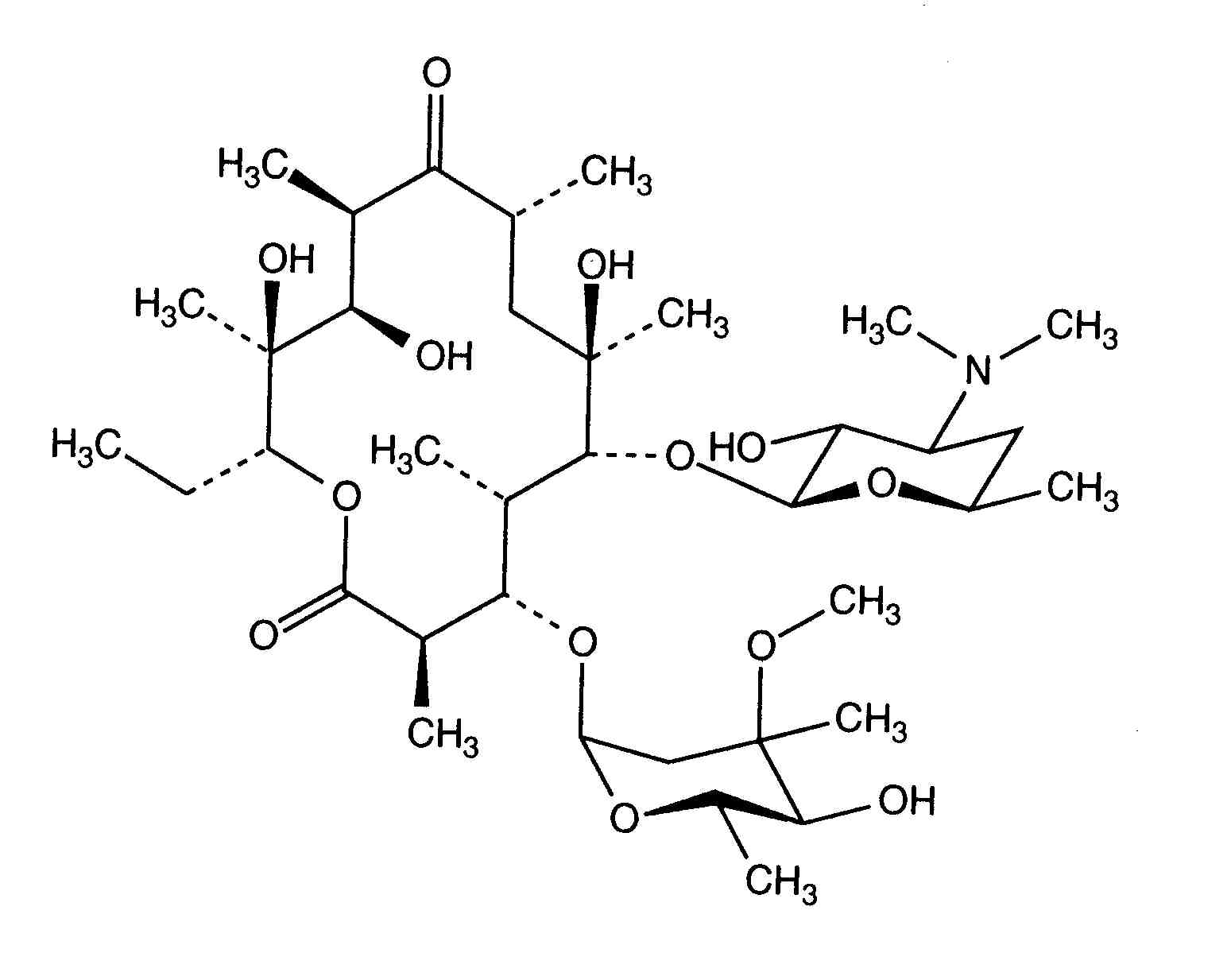
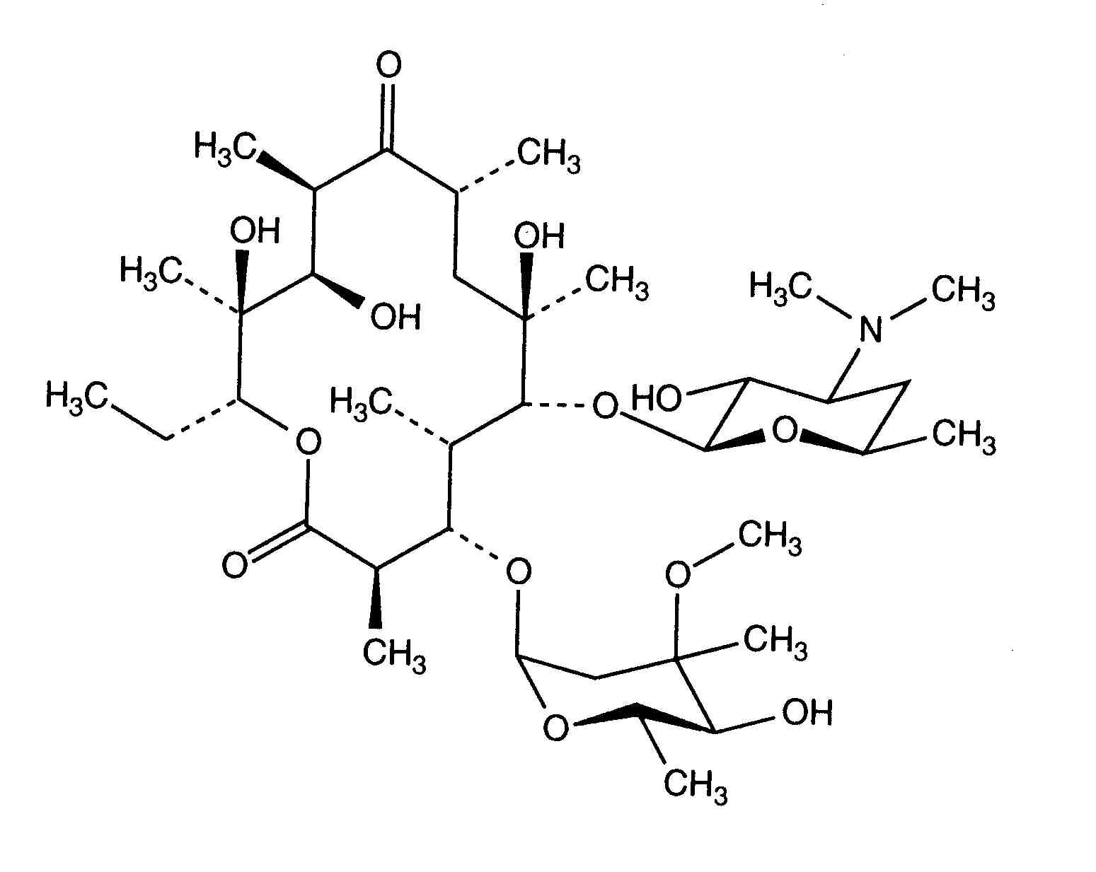
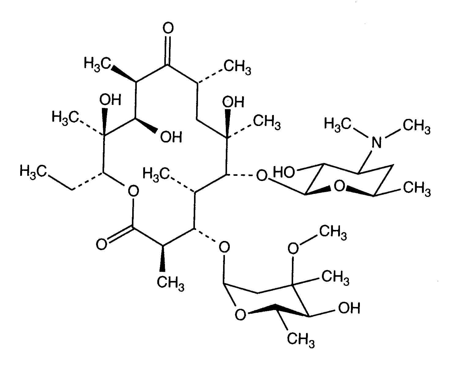
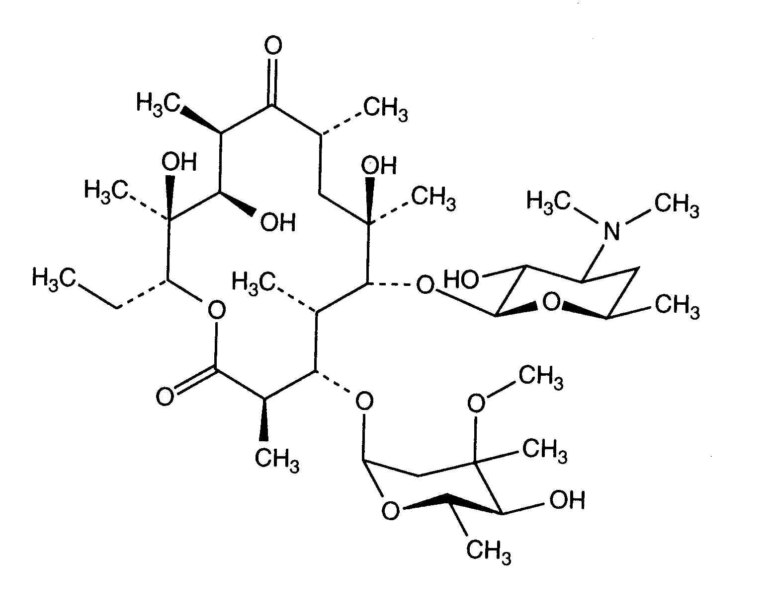
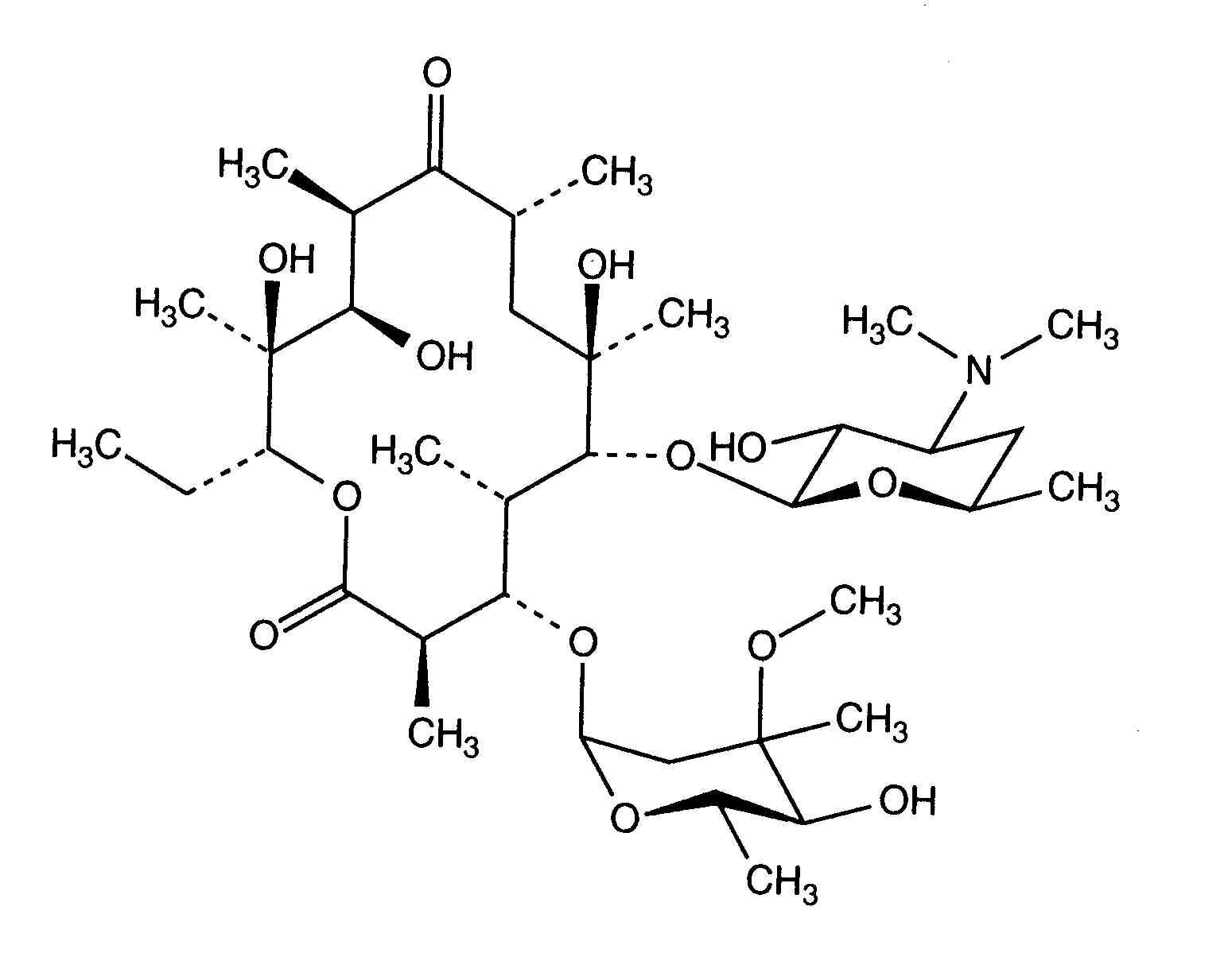
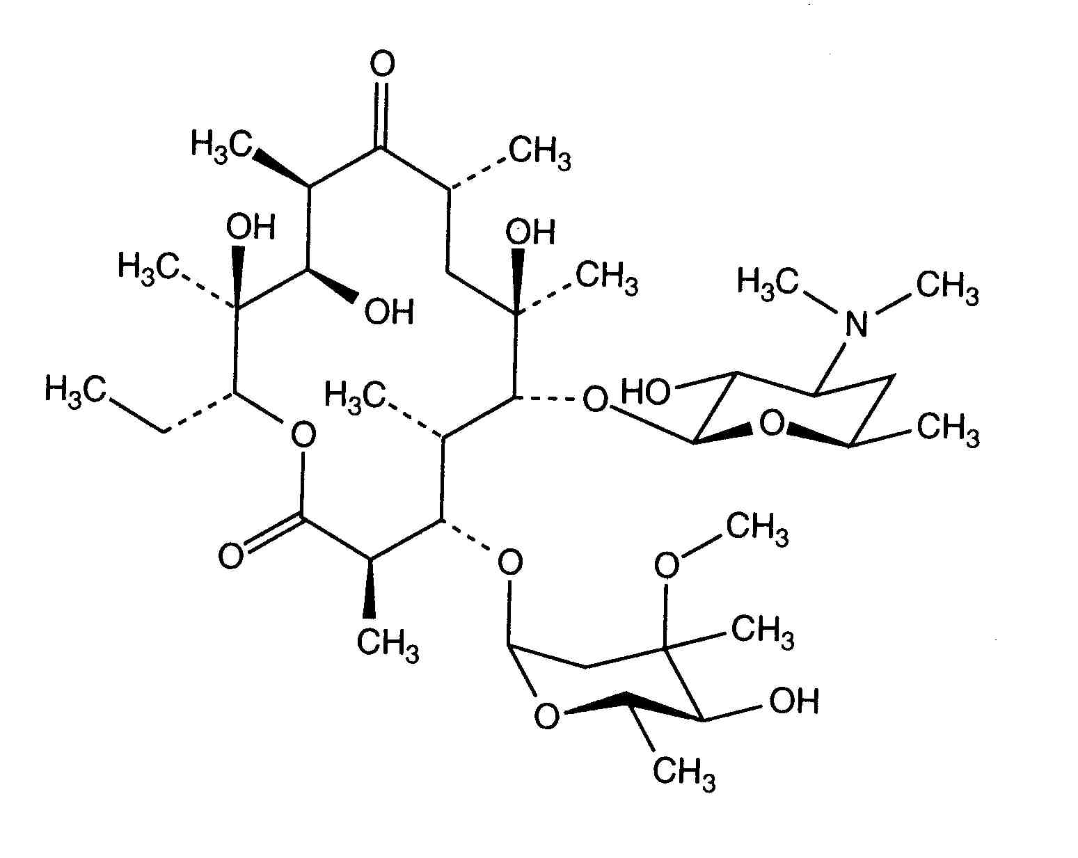
antibiotik   Erythromycin lactobionate  
injekcija
Stabilizacija rješenja Stabilnost mješavine Stabilizacijski faktor Kompatibilnosti način davanja lijeka Bibliografija pdf
   Kemijska struktura  

Nekomercijalni   Nekomercijalni     

Zaštićeni nazivi su indikativni i sastav ekscipijensa može biti različit ovisno o državi i laboratorijima

Abboticin Danska, Finska, Norveška, Švedska
Eristin Argentina
Erithromicina Čile
Erycinum Njemačka
Erythrocin Australija, Austrija, Irska, Kanada, Njemačka, novi Zeland, S A D, Saudijska Arabija, Velika Britanija
Erythrocin lactobionat ADD Vantage Australija, Austrija
Erythrocine Belgija, Francuska, Luksemburg, Nizozemska, Tunis
Erythromycin Madžarska, Njemačka, S A D, Saudijska Arabija, Velika Britanija
Erythromycine Luksemburg
Erythromycinum Poljska
Pantomicina Čile, Španjolska
način davanja lijeka   način davanja lijeka :Erythromycin lactobionate     
Voie
intravenozna infuzija
trajna perfuzija

  Mentions Légales