Seneste opdatering :
18/03/2026
Antibiotisk   Erythromycin lactobionate  
Injektion
Stabilitet i (vandige) opløsninger Stabilitet i blandinger Faktorer der påvirker stabiliteten Kompatibilitet Administrationsvej Bibliografi pdf
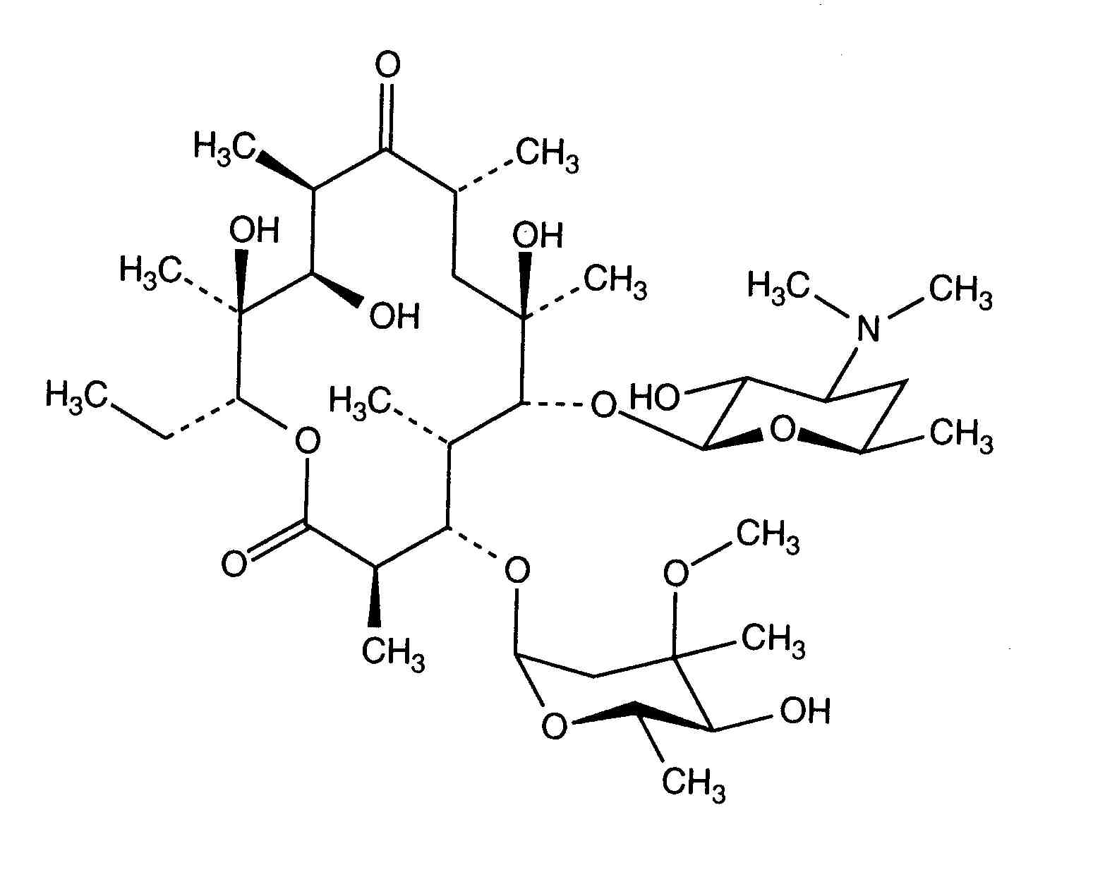
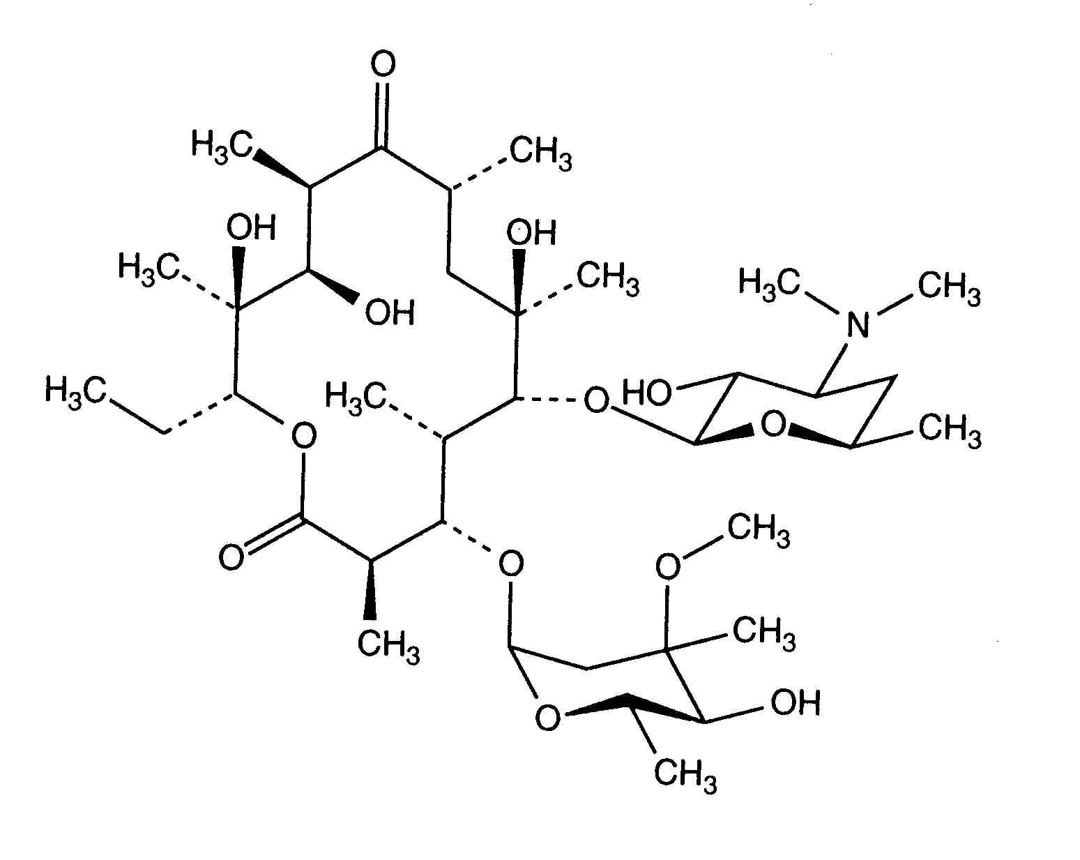
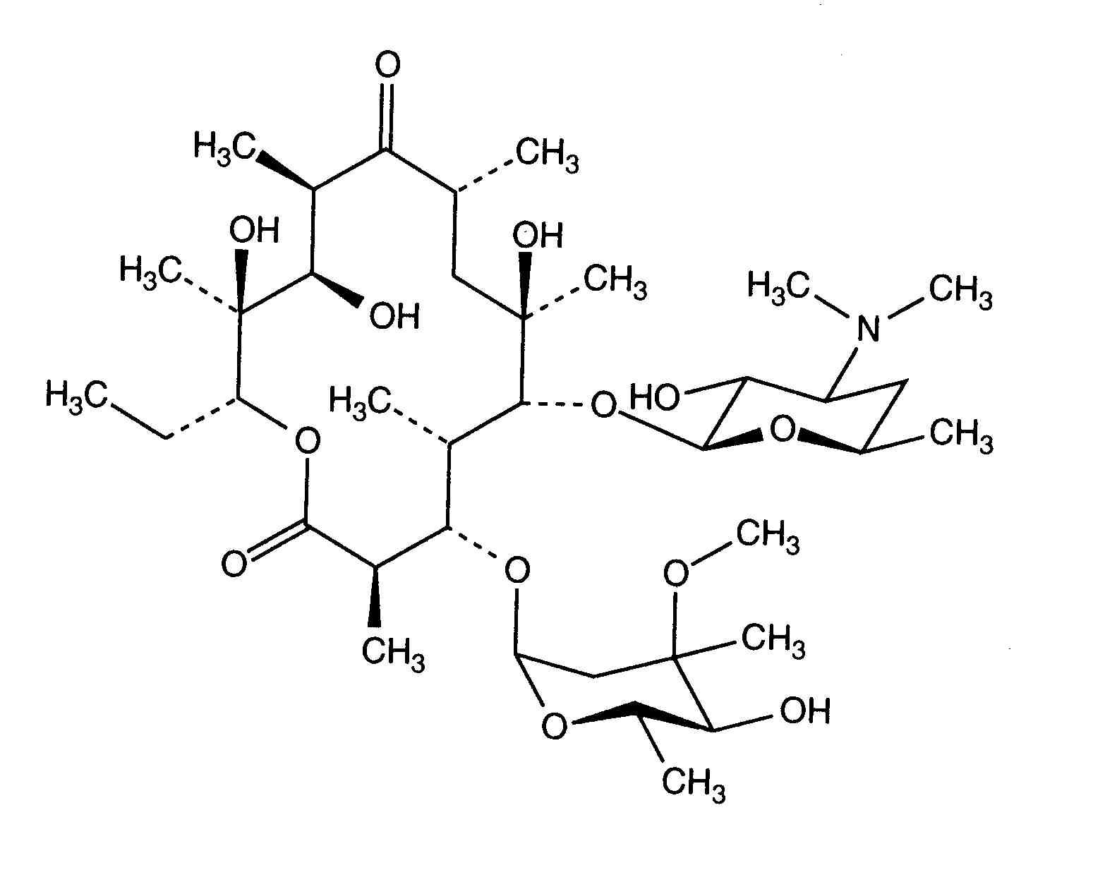
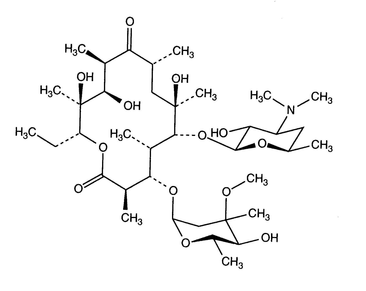
   Kemisk struktur  

Handelsnavn   Handelsnavn     

Handel navne er vejledende og hjælpestoffer sammensætning kan være forskellig afhængigt af landet og laboratorier

Abboticin Danmark, Finland, Norge, Sverige
Eristin Argentina
Erithromicina Chile
Erycinum Tyskland
Erythrocin Australien, Canada, Irland, New Zealand, Saudi-Arabien, Storbritanien, Tyskland, USA, Østrig
Erythrocin lactobionat ADD Vantage Australien, Østrig
Erythrocine Belgien, Frankrig, Holland, Luxemborg, Tunesien
Erythromycin Saudi-Arabien, Storbritanien, Tyskland, Ungarn, USA
Erythromycine Luxemborg
Erythromycinum Polen
Pantomicina Chile, Spanien
Administrationsvej   Administrationsvej :Erythromycin lactobionate     
Voie
Intravenøs infusion
Kontinuert infusion

  Mentions Légales