Last update :
18/03/2026
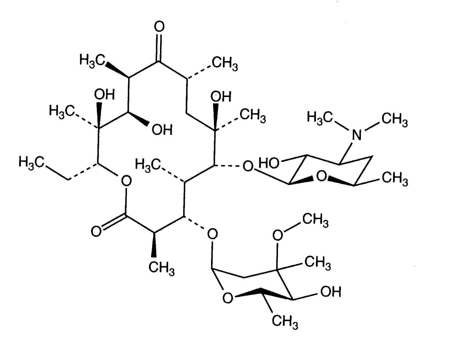
Antibiotic   Erythromycin lactobionate  
injection
Stability in solutions Stability of mixtures Factors which affect stability Compatibility Route of administration References pdf
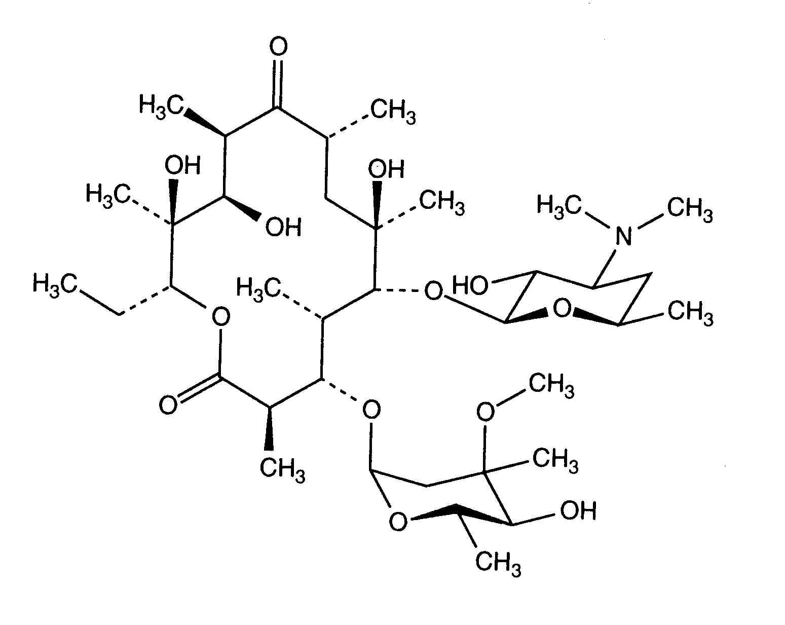
   Chemical structure  

Tradename   Tradename     

Trade names are indicative and excipients composition can be different depending on the country and manufacturers

Abboticin Denmark, Finland, Norway, Sweden
Eristin Argentina
Erithromicina Chile
Erycinum Germany
Erythrocin Australia, Austria, Canada, Germany, Great Britain, Ireland, New Zealand, Saudi Arabia, United States of America
Erythrocin lactobionat ADD Vantage Australia, Austria
Erythrocine Belgium, France, Luxembourg, Netherlands, Tunisia
Erythromycin Germany, Great Britain, Hungary, Saudi Arabia, United States of America
Erythromycine Luxembourg
Erythromycinum Poland
Pantomicina Chile, Spain
Route of administration   Route of administration :Erythromycin lactobionate     
Route
Intravenous infusion
Continuous infusion

  Mentions Légales