Последнее обновление :
18/03/2026
Антибиотик   Erythromycin lactobionate  
Инъекция
Стабильность растворов Стабильность смесей Факторы, которые влияют на стабильность Совместимость Способы введения Библиография pdf
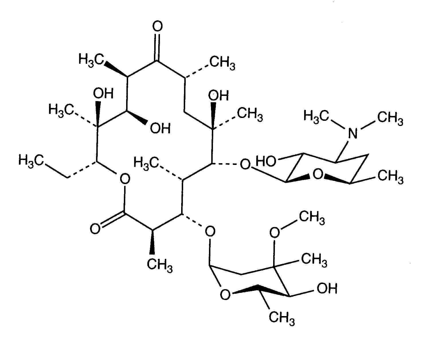
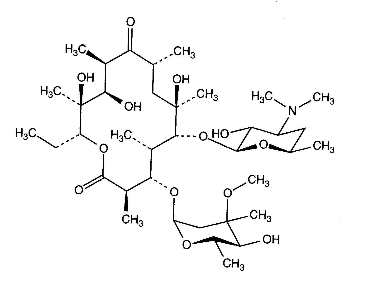
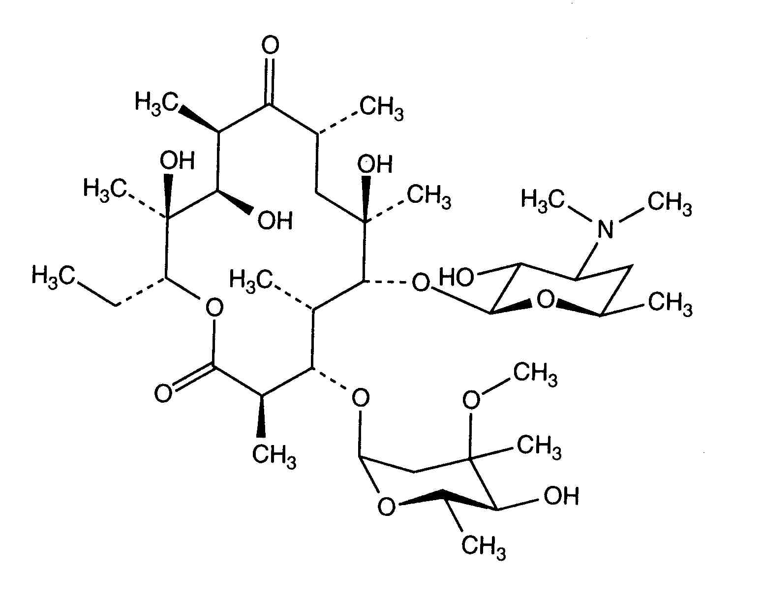
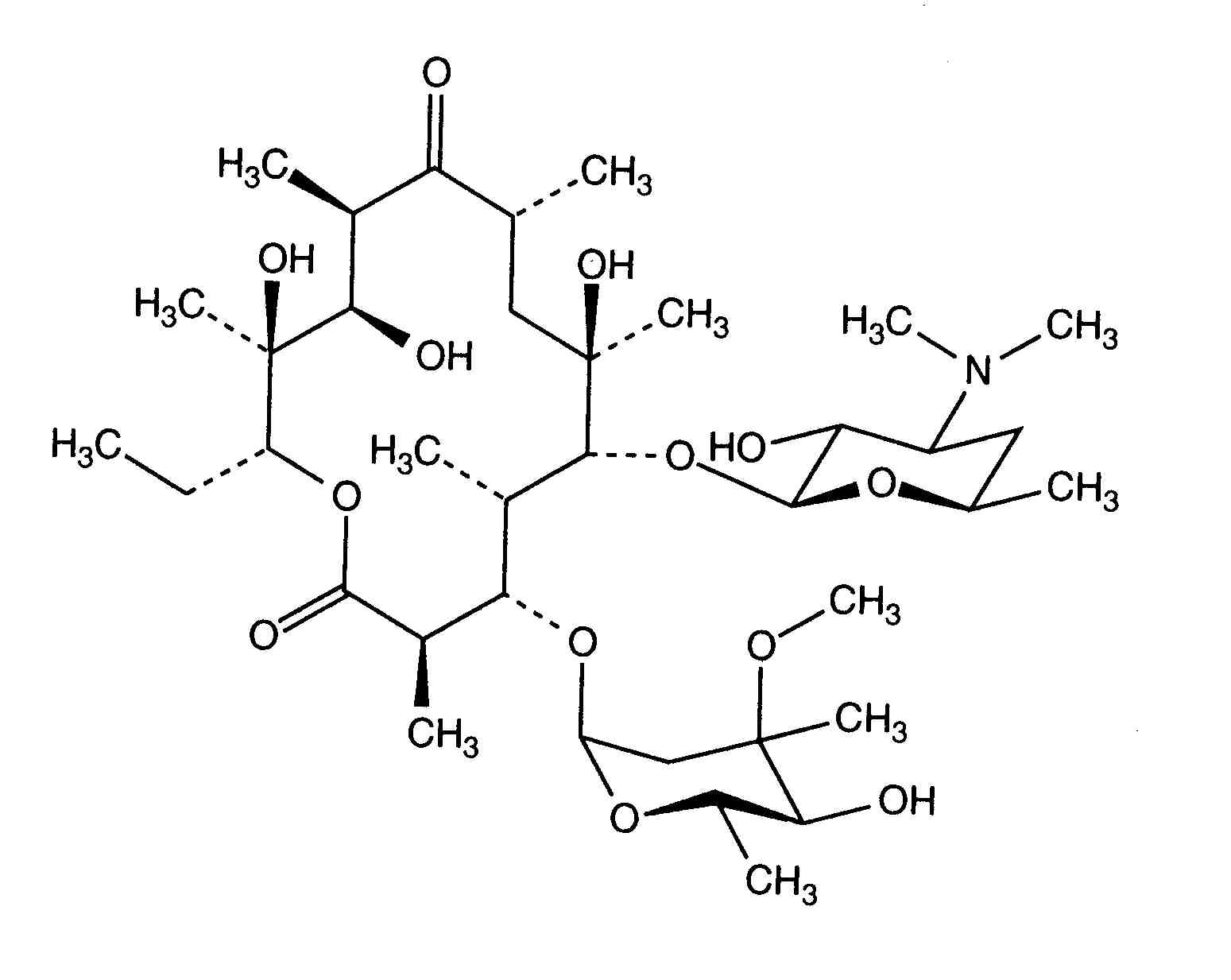
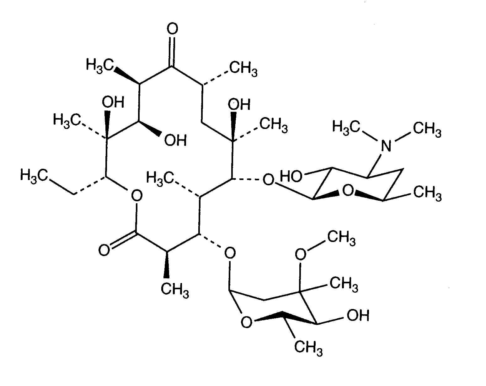
   Химическая структура  

Товарное название   Товарное название     

Trade names are indicative and excipients composition can be different depending on the country and manufacturers

Abboticin Дания, Норвегия, Финляндия, Швеция
Eristin Аргентина
Erithromicina чили
Erycinum Германия
Erythrocin Австралия, Австрия, Великобритания, Германия, Ирландия, Канада, новая Зеландия, Саудовская Аравия, Соединённые Штаты Америки
Erythrocin lactobionat ADD Vantage Австралия, Австрия
Erythrocine Бельгия, Голландия, Люксембург, Тунис, Франция
Erythromycin Великобритания, Венгрия, Германия, Саудовская Аравия, Соединённые Штаты Америки
Erythromycine Люксембург
Erythromycinum Польша
Pantomicina Испания, чили
Способы введения   Способы введения :Erythromycin lactobionate     
Voie
Интравенная, внутривенная инфузия
Постоянная инфузия

  Mentions Légales