Última actualização :
18/03/2026
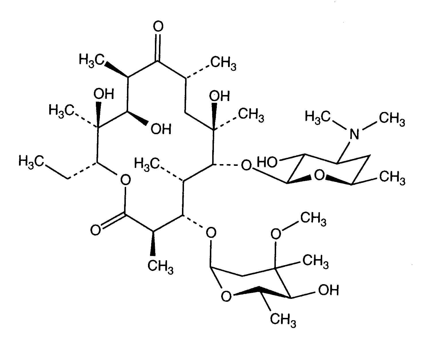
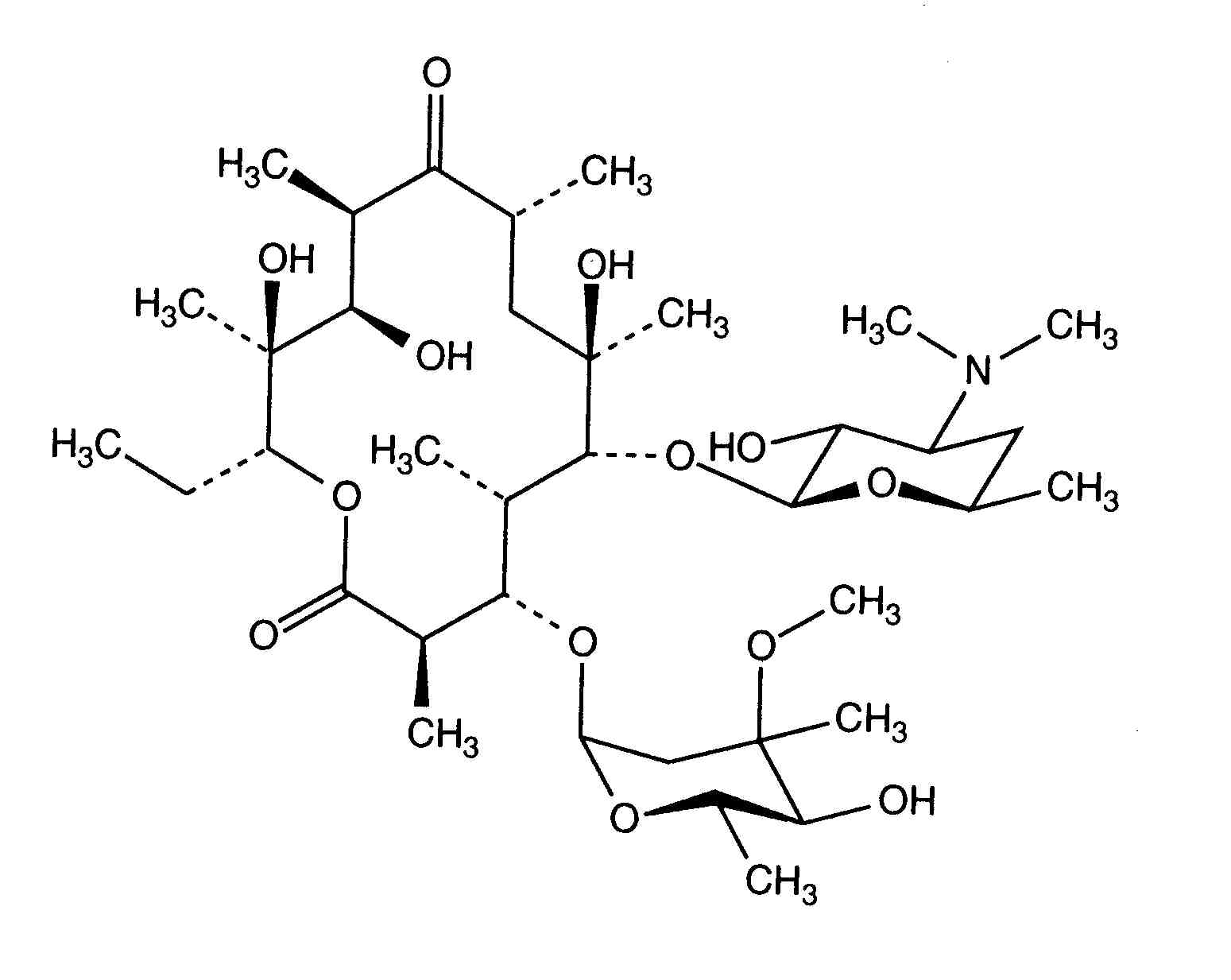
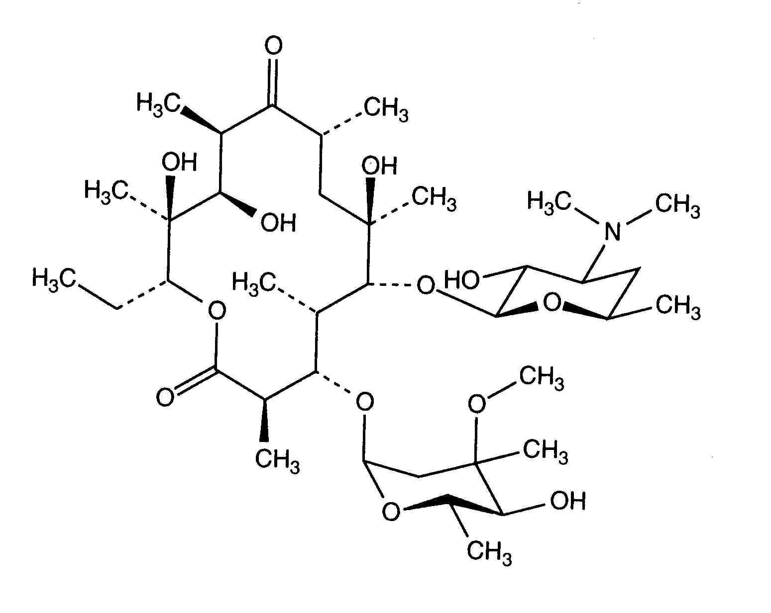
antibiótico   Erythromycin lactobionate  
injetável
Estabilidade em soluções simples Estabilidade em misturas Factores que afectam a sua estabilidade Compatibilidade Método de administração Bibliografía pdf
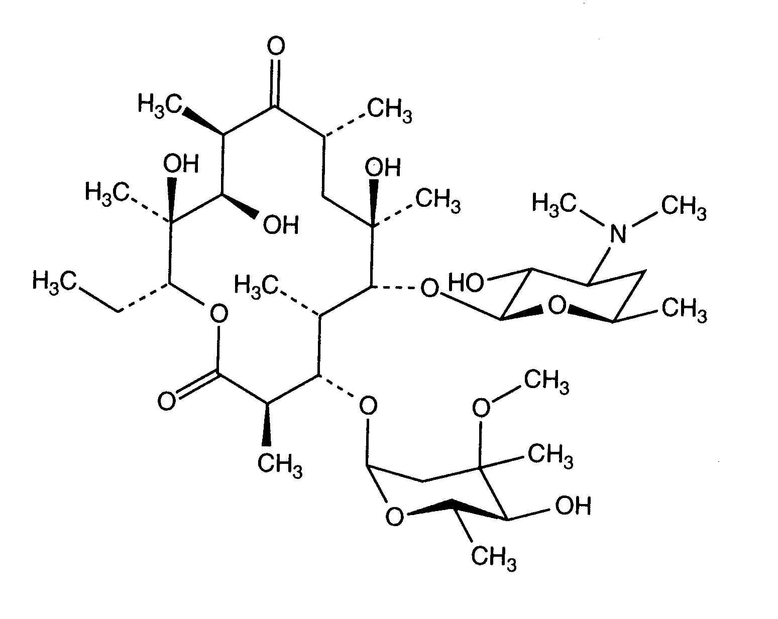
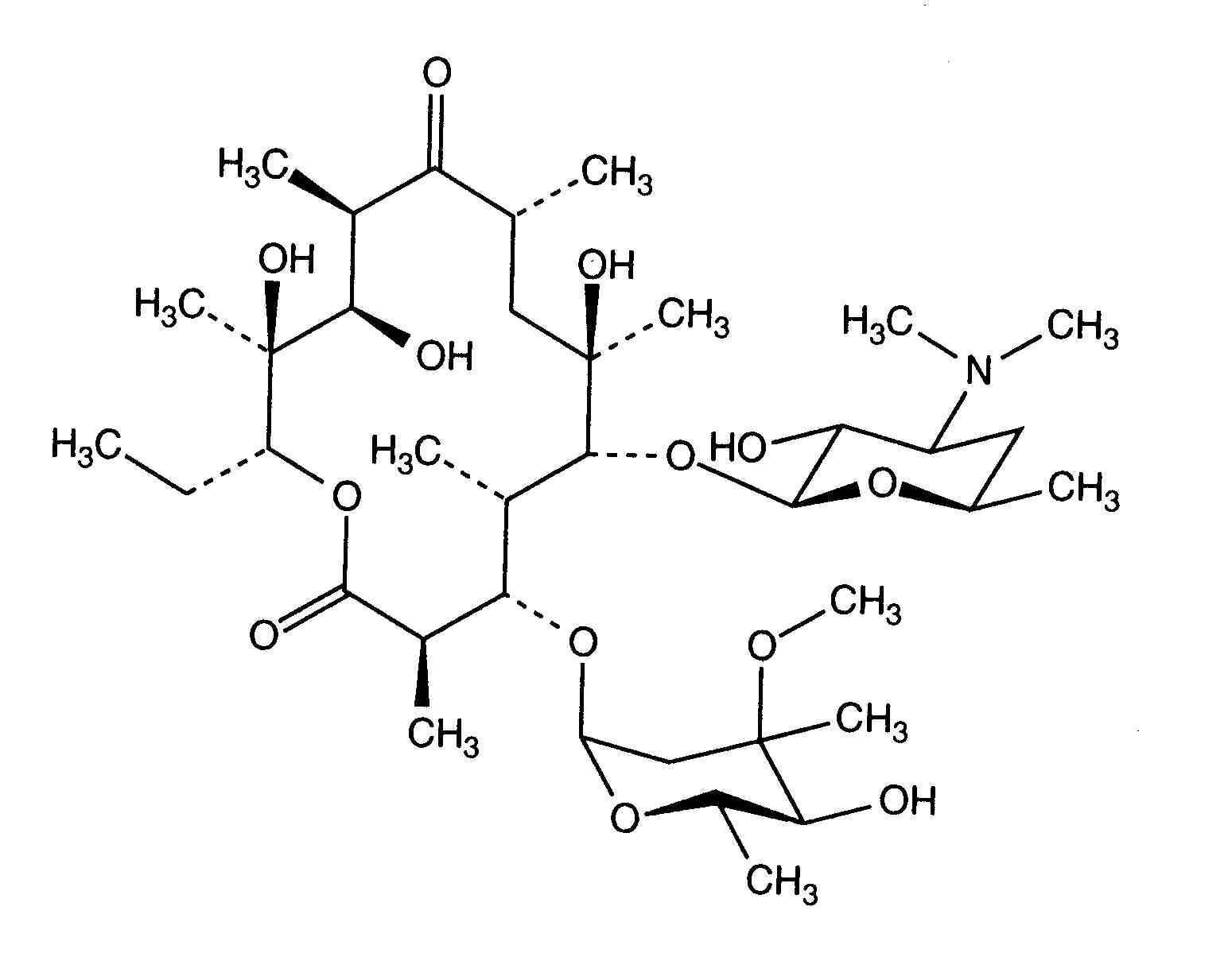
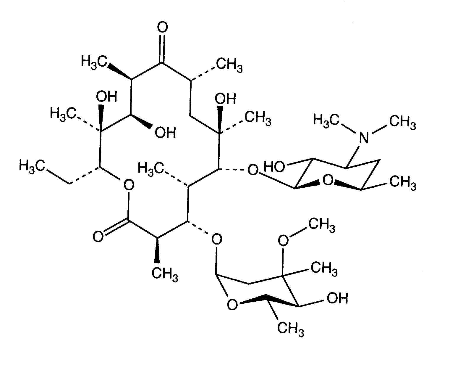
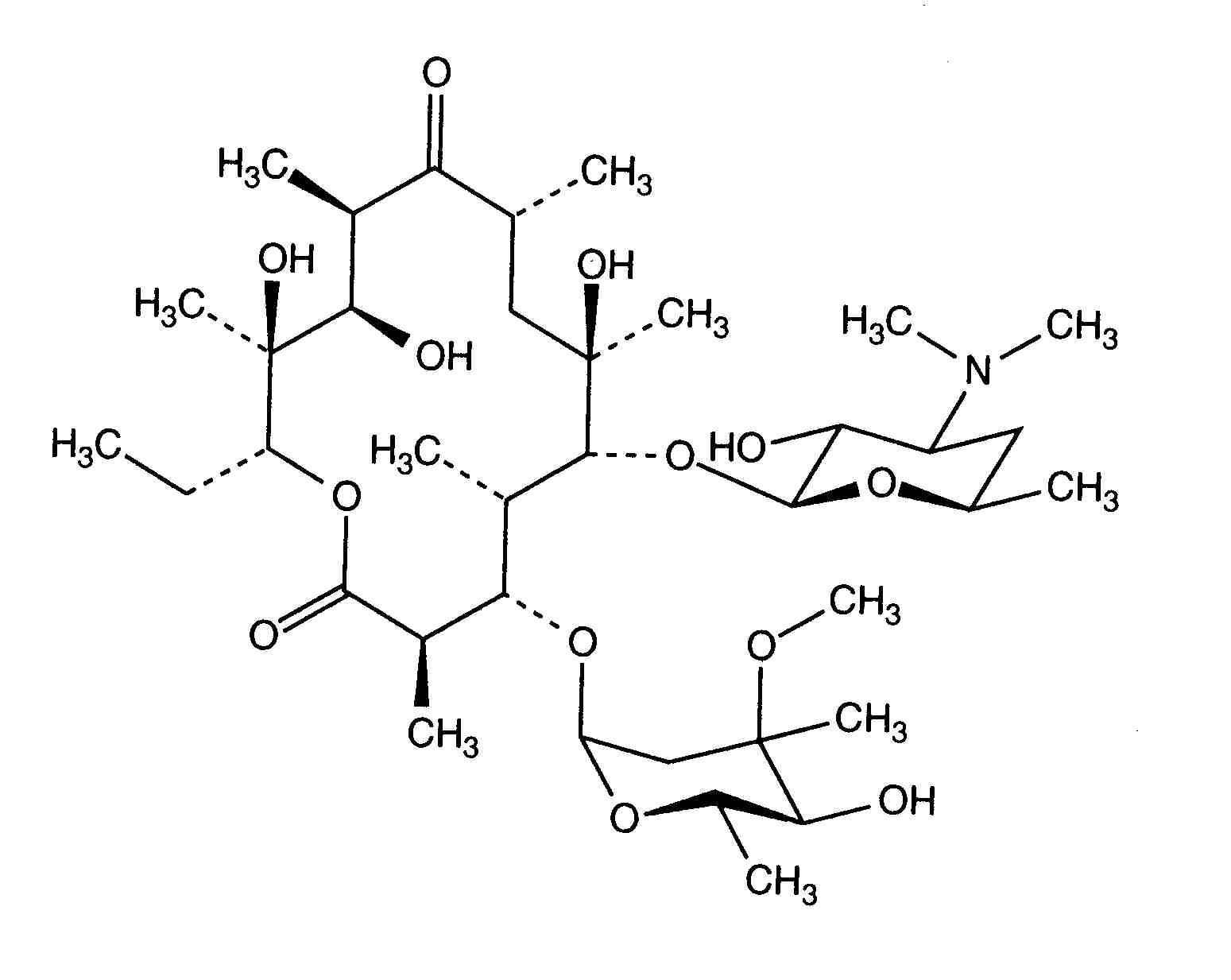
   estrutura química  

Nomes comerciais nos diversos países   Nomes comerciais nos diversos países     

OS NOMES COMERCIAIS SÃO INDICATIVOS E OS EXCIPIENTES DA FORMULAÇÃO PODEM SER DIFERENTES CONFORME O PAÍS E FABRICANTE.

Abboticin Dinamarca, Finlandia, Noruega, Suècia
Eristin Argentina
Erithromicina Chilli
Erycinum Alemanha
Erythrocin Alemanha, Arábia Saudita, Australia, Austria, Canadá, Estados Unidos de América, Gran-bretanha, Irlanda, nova Zelândia
Erythrocin lactobionat ADD Vantage Australia, Austria
Erythrocine Bélgica, França, Luxemburgo, Países Baixos, Tunísia
Erythromycin Alemanha, Arábia Saudita, Estados Unidos de América, Gran-bretanha, Hungria
Erythromycine Luxemburgo
Erythromycinum Polonia
Pantomicina Chilli, Espanha
Método de administração   Método de administração :Erythromycin lactobionate     
Voie
perfusão intravenosa
Perfusão continua

  Mentions Légales