Ultimele actualizari :
18/03/2026
Antibiotic   Erythromycin lactobionate  
Injectabil
Stabilitatea in solutie Stabilitatea in amestec Factorii care influenteaza stabilitatea Compatibilitate Microunde Bibliografie pdf
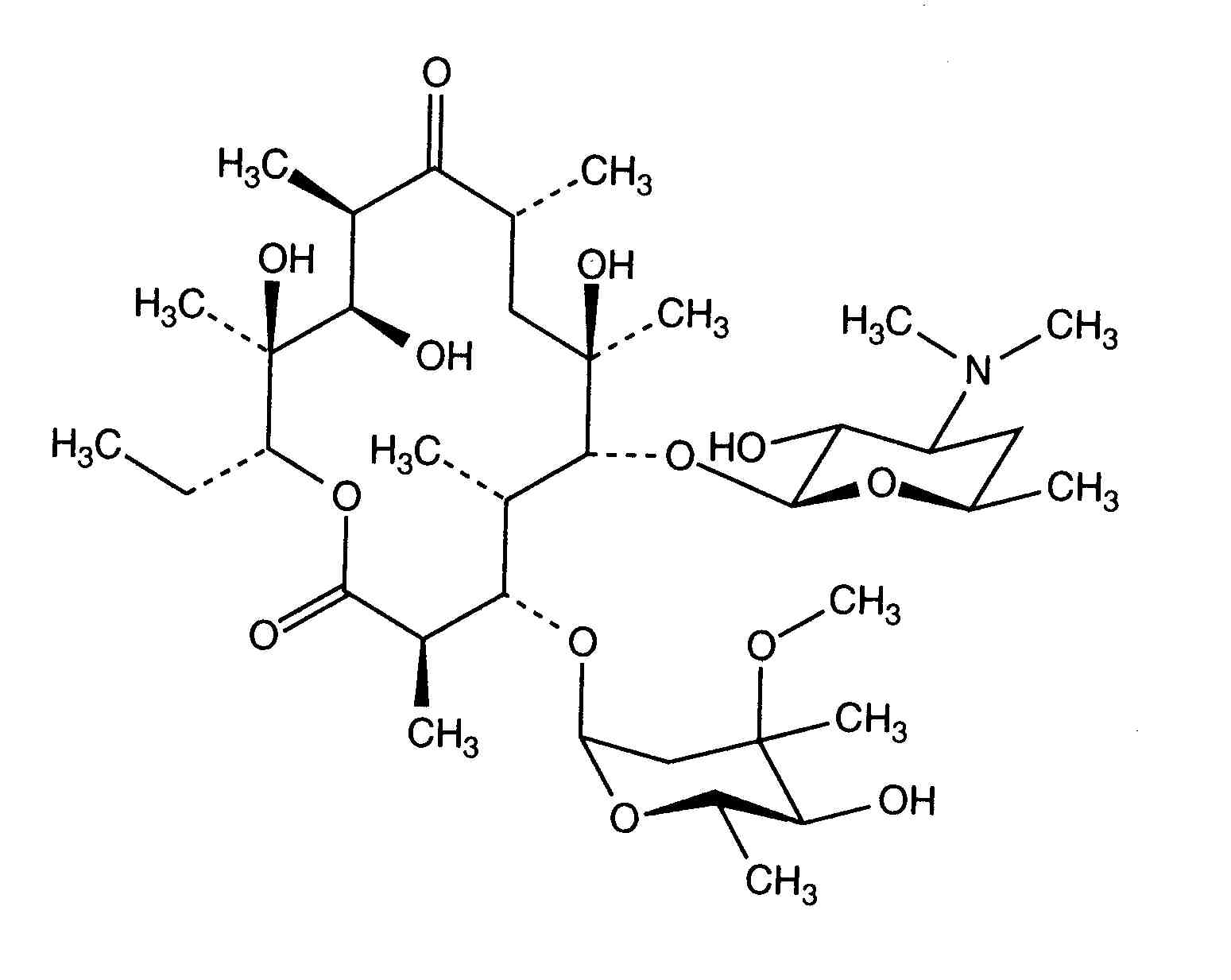
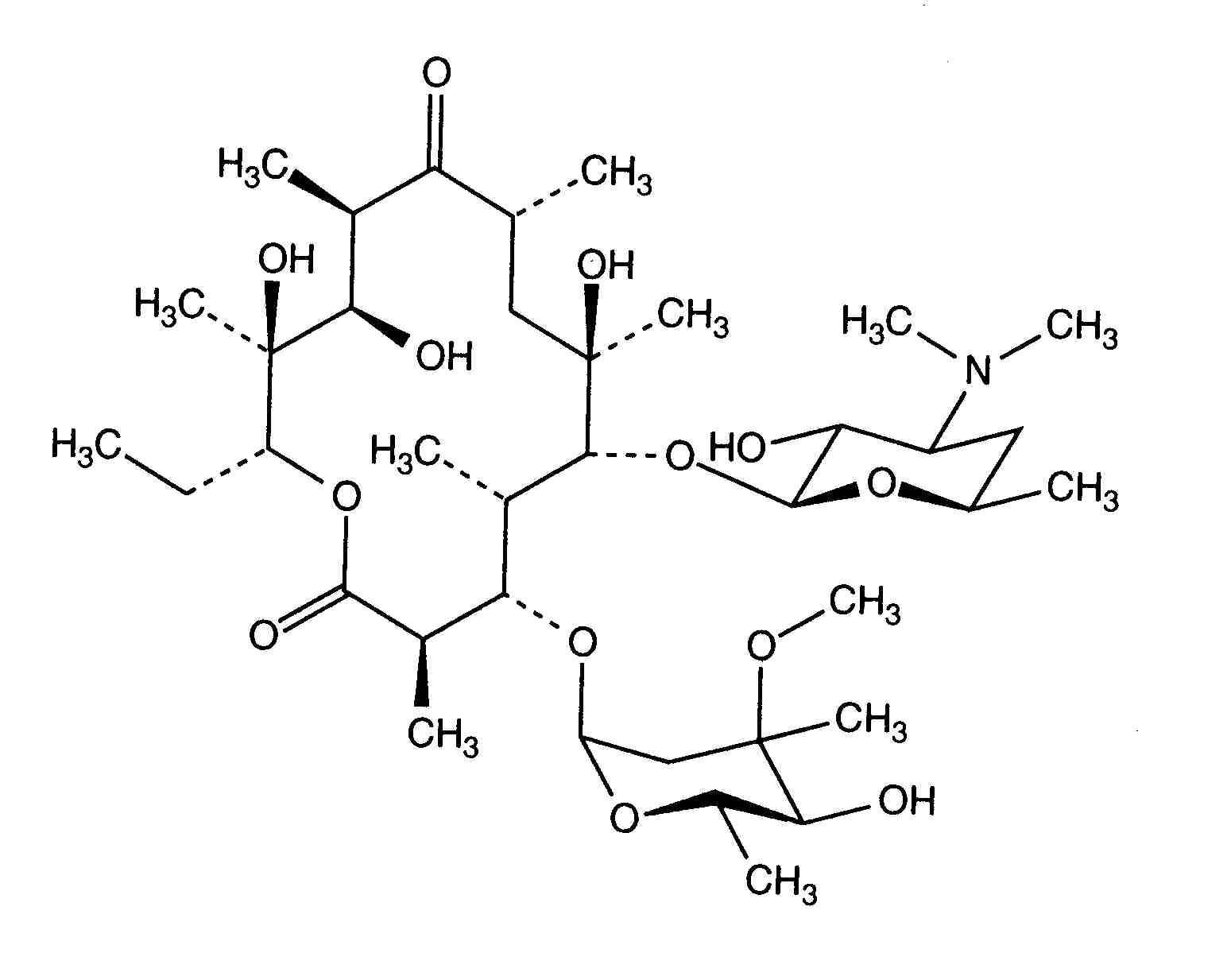
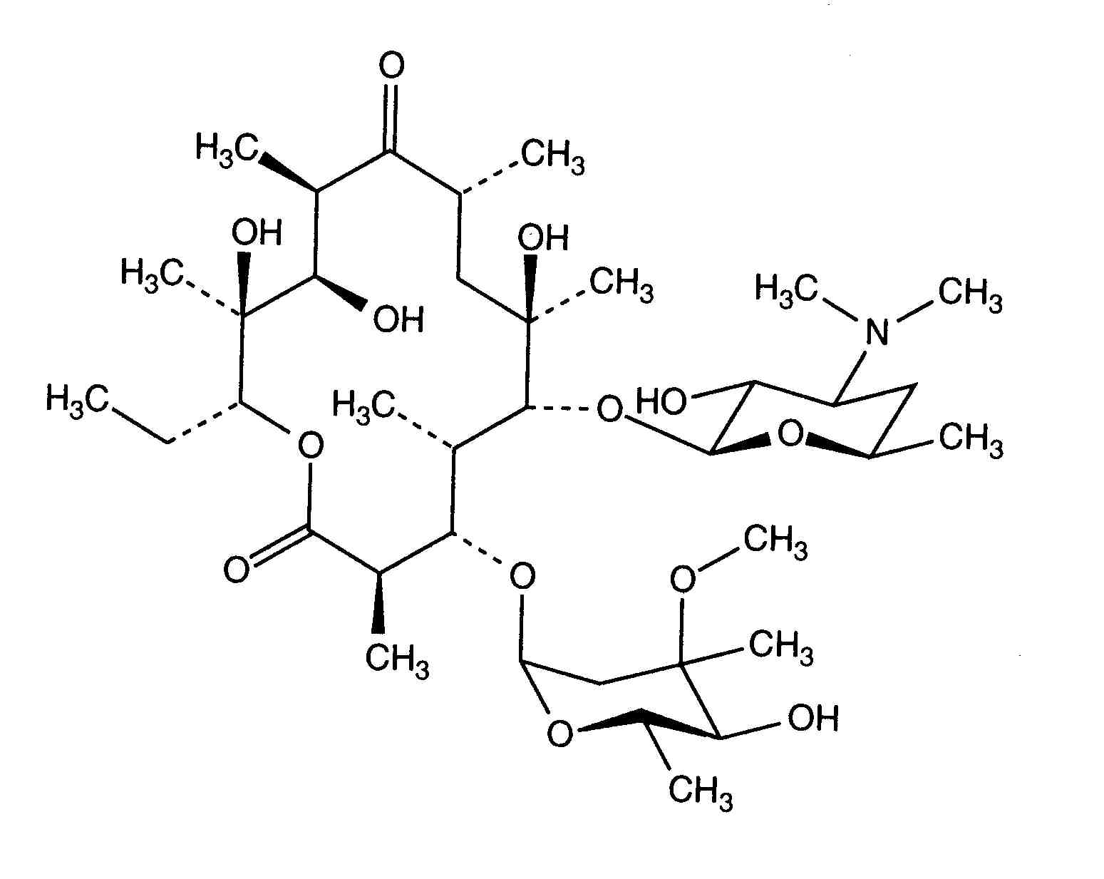
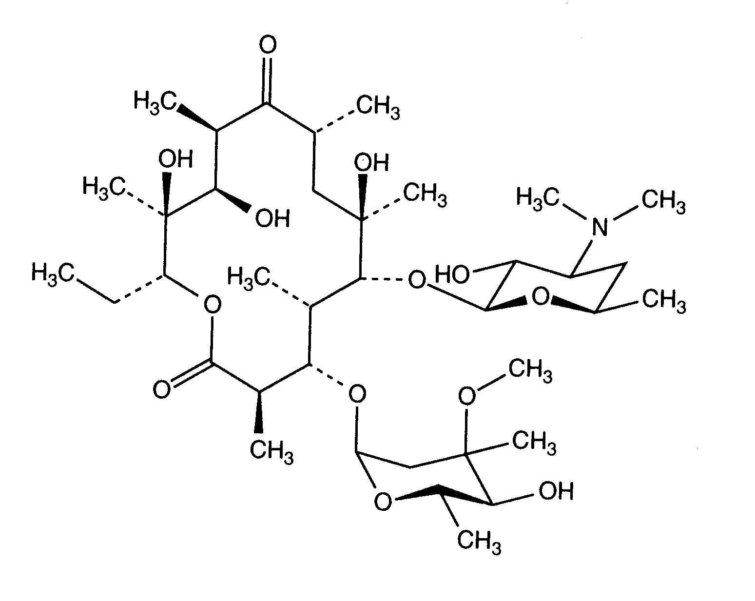
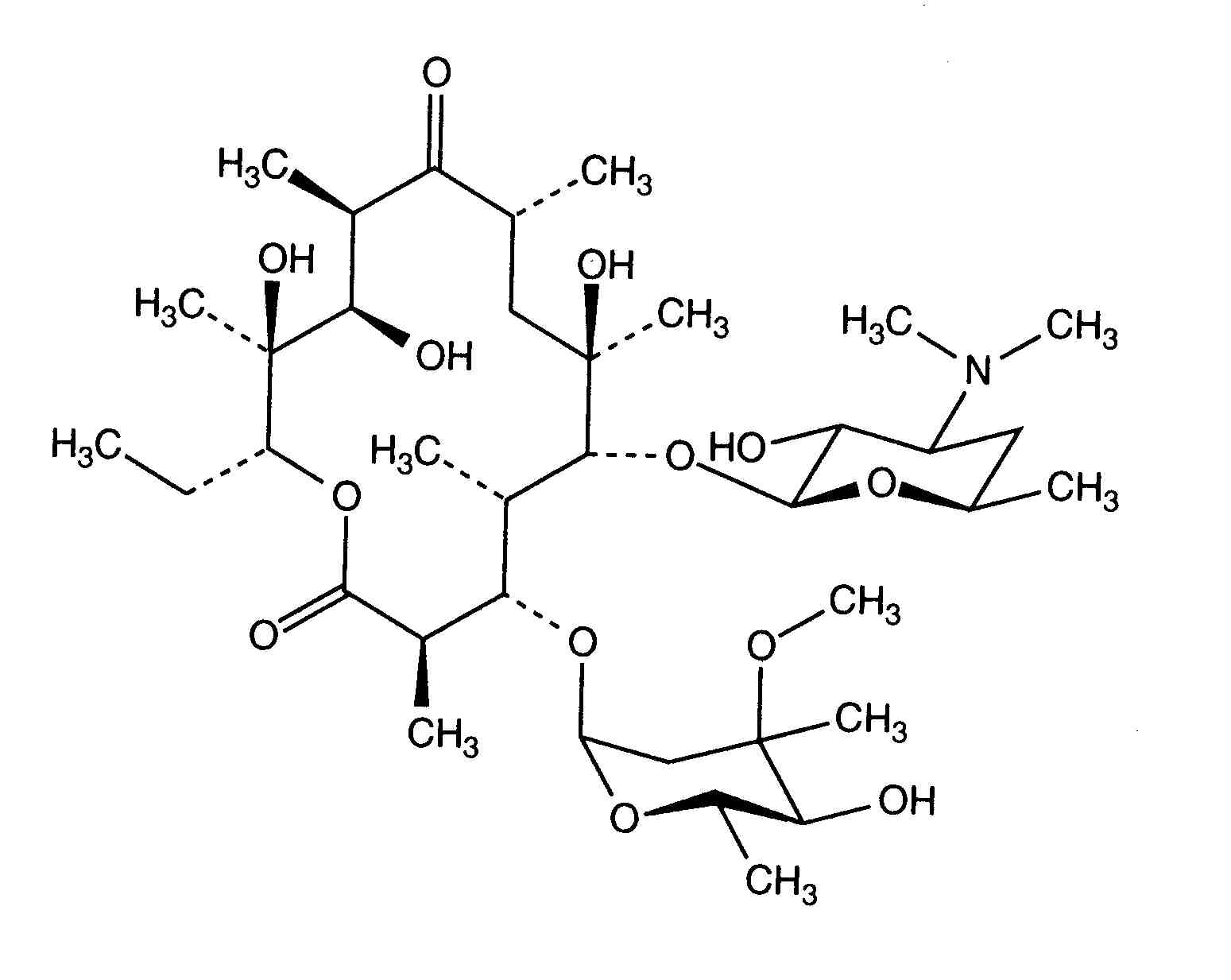
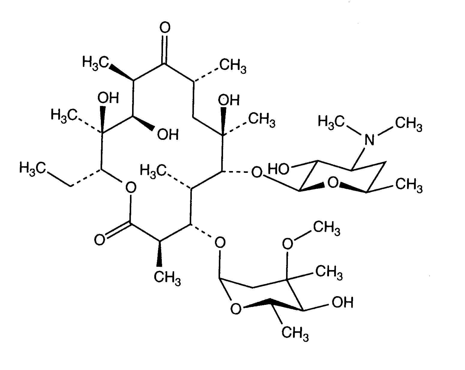
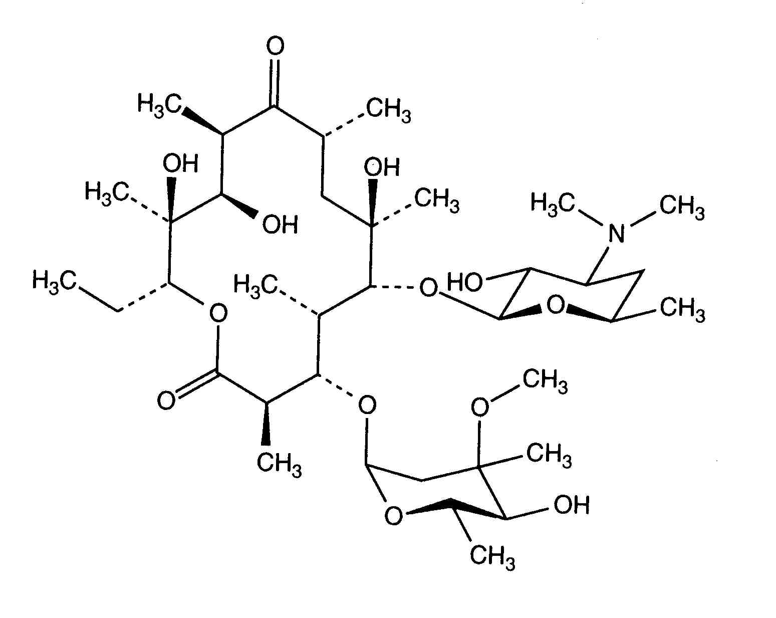
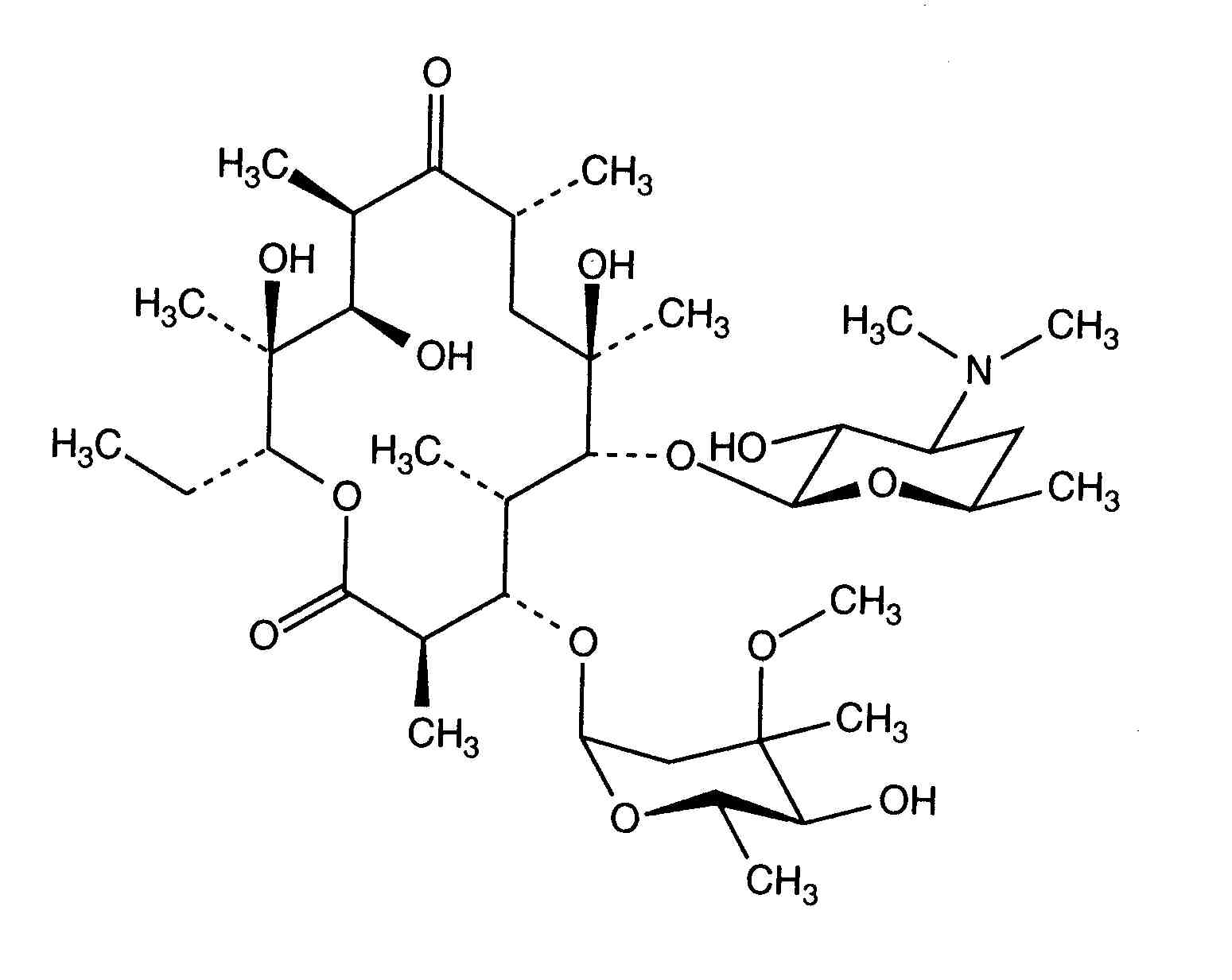
   Formula chimica  

Denumirea comerciala   Denumirea comerciala     

Trade names are indicative and excipients composition can be different depending on the country and manufacturers

Abboticin Danemarca, Finlanda, Norvegia, Suedia
Eristin Argentina
Erithromicina Chilli
Erycinum Germania
Erythrocin Arabia Saudita, Australia, Austria, Canada, Germania, Irlanda, Marea Britanie, noua Zeelandă, SUA
Erythrocin lactobionat ADD Vantage Australia, Austria
Erythrocine Belgia, Franta, Luxemburg, Olanda, Tunisia
Erythromycin Arabia Saudita, Germania, Marea Britanie, SUA, Ungaria
Erythromycine Luxemburg
Erythromycinum Polonia
Pantomicina Chilli, Spania
Microunde   Microunde :Erythromycin lactobionate     
Voie
Perfuzie intravenoasa
Perfuzie in continuu

  Mentions Légales