Utolsó frissítés :
18/03/2026
Antibiotikum   Erythromycin lactobionate  
Injekció
Az oldatok stabilitása A keverékek stabilitása Stabilitást befolyásoló tényezők Kompatibilitás Az alkalmazás módja Irodalom pdf
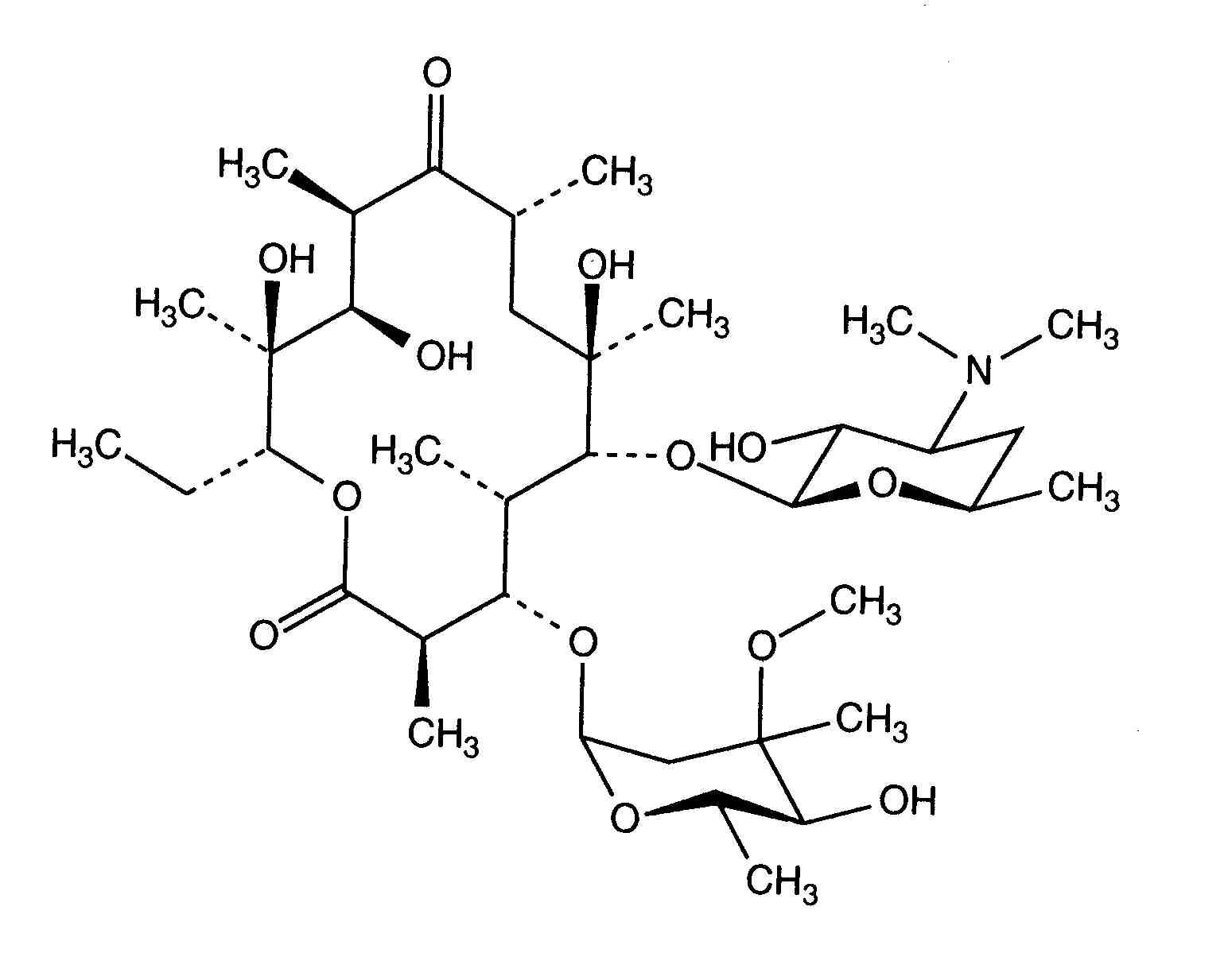
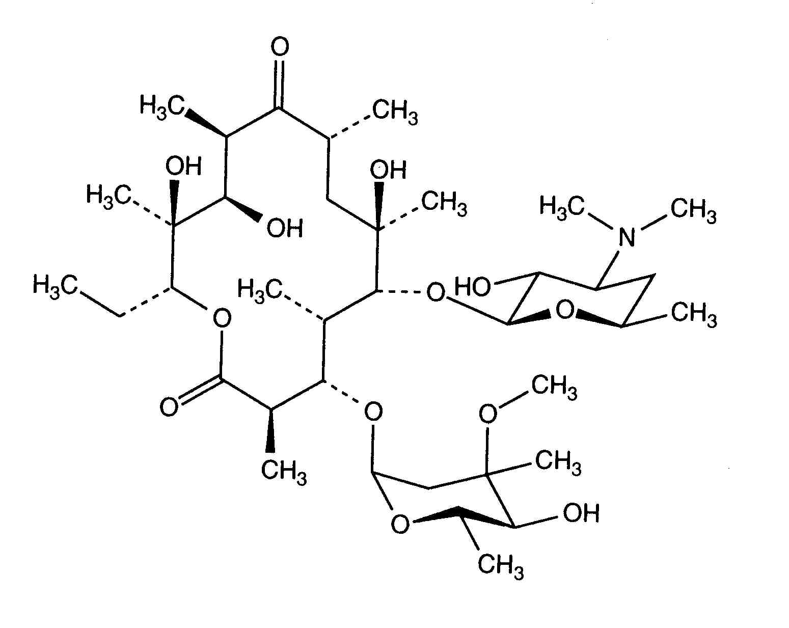
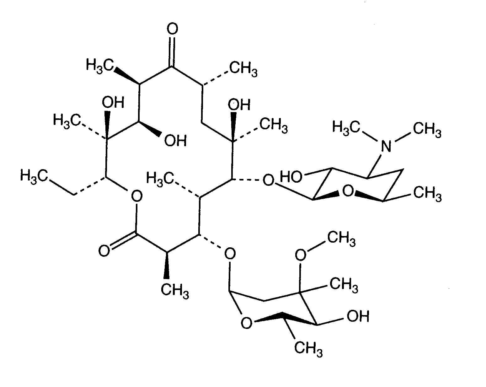
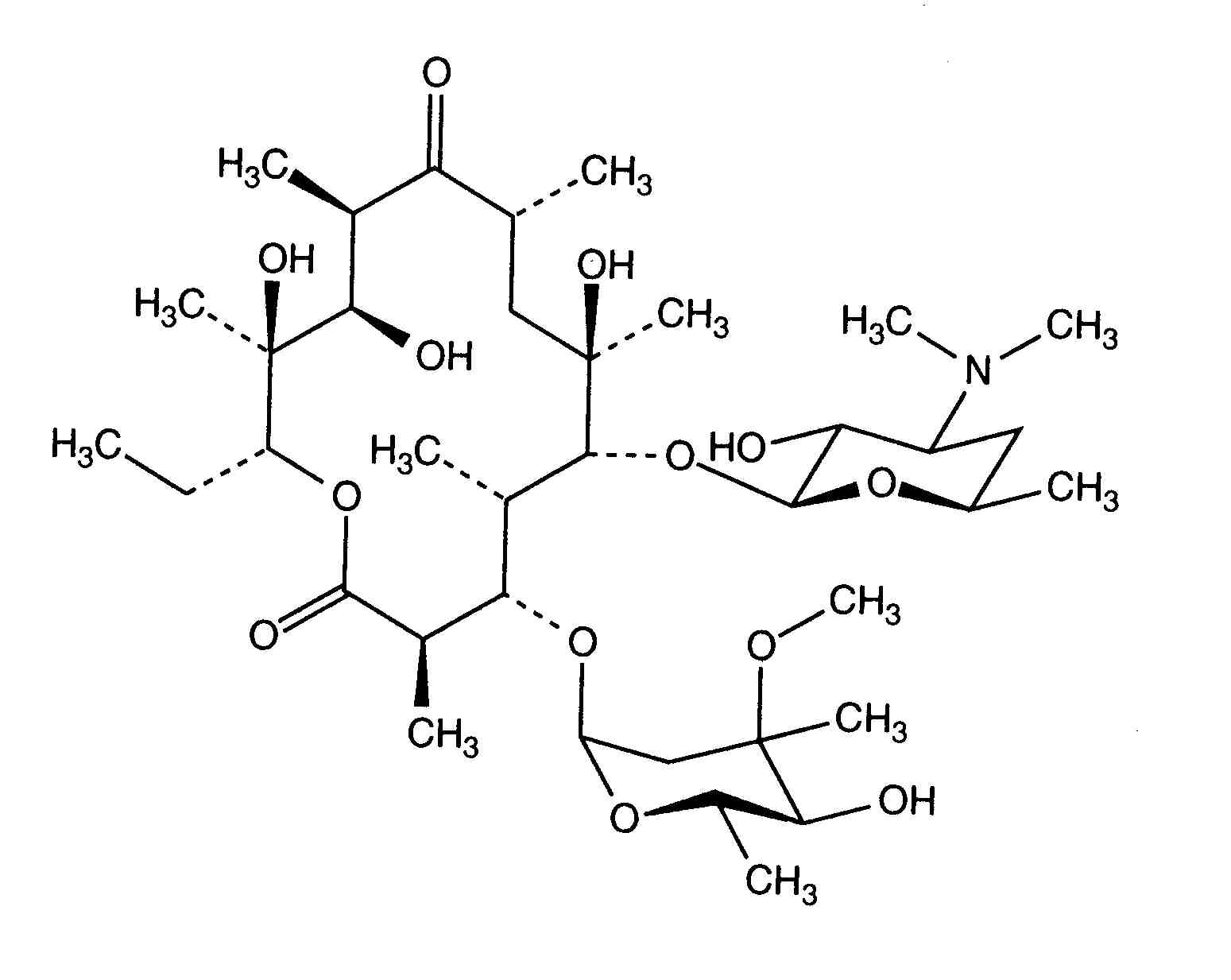
   Kémiai szerkezet   

Kereskedelmi név   Kereskedelmi név     

A kereskedelmi név meghatározó jelentőségű: a készítmények összetétele országonként, előállítóként eltérő lehet

Abboticin Dánia, Finnország, Norvégia, Svédország
Eristin Argentína
Erithromicina Chile
Erycinum Németország
Erythrocin Amerikai Egyesült Államok, Ausztrália, Ausztria, Írország, Kanada, Nagy-Britannia, Németország, Szaúd-Arábiában, új-Zéland
Erythrocin lactobionat ADD Vantage Ausztrália, Ausztria
Erythrocine Belgium, Franciaország, Hollandia, Luxemburg, Tunézia
Erythromycin Amerikai Egyesült Államok, Magyarország, Nagy-Britannia, Németország, Szaúd-Arábiában
Erythromycine Luxemburg
Erythromycinum Lengyelország
Pantomicina Chile, Spanyolország
Az alkalmazás módja   Az alkalmazás módja :Erythromycin lactobionate     
Voie
Intravénás infúzió
Folyamatos infúzió

  Mentions Légales