Pēdējā atjaunošana :
18/03/2026
Antibiotika   Erythromycin lactobionate  
Injekcija
Šķīduma stabilitāte Maisījuma stabilitāte Stabilitāti ietekmējoši faktori Saderība Levadīšanas veids Literatūras saraksts pdf
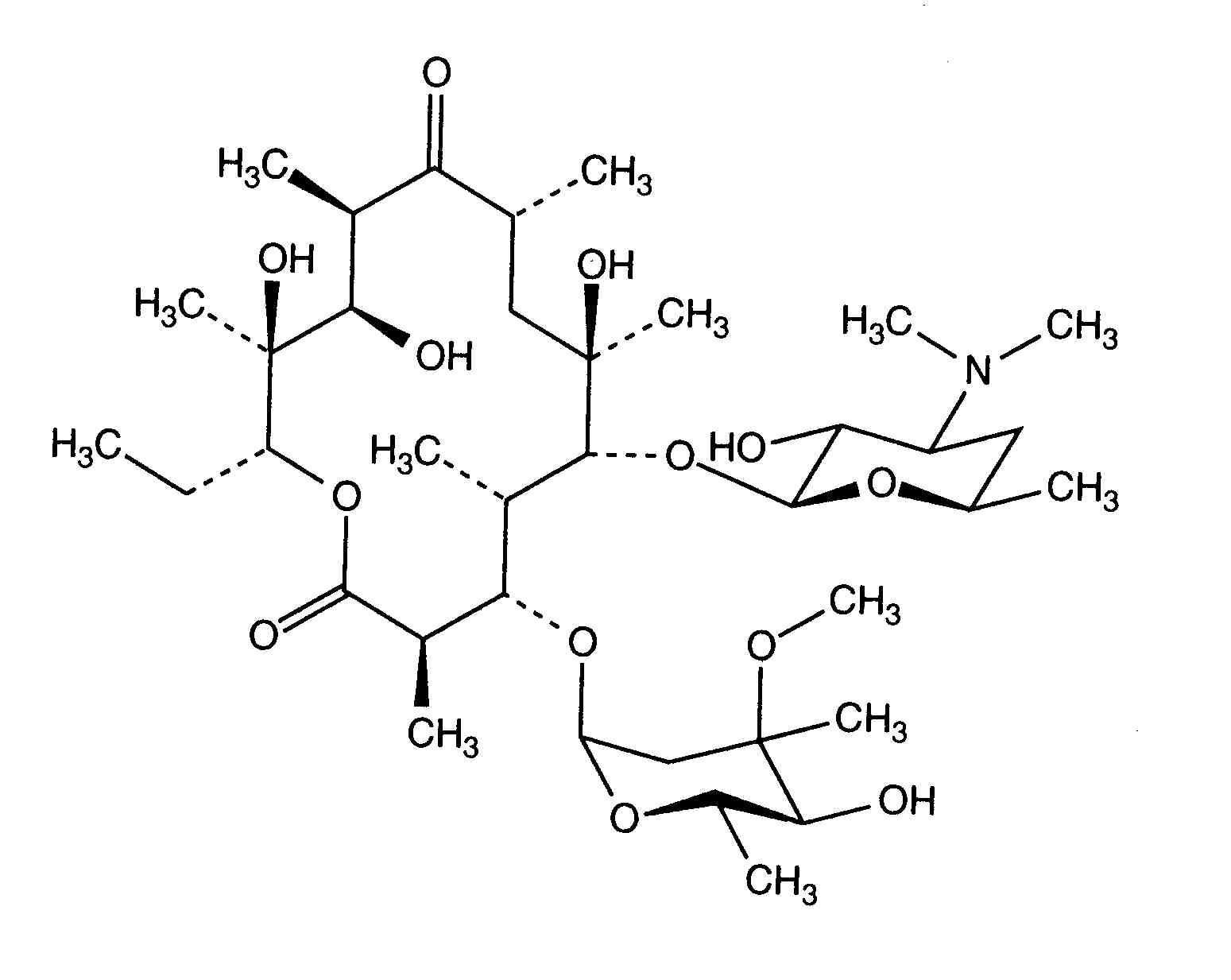
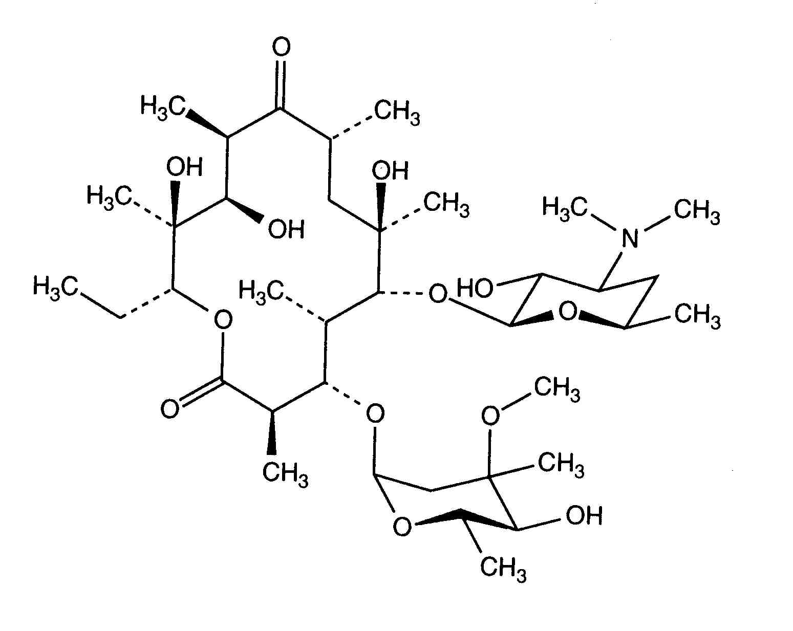
   Ķīmiskā uzbūve   

Oriģinālais nosaukums   Oriģinālais nosaukums     

Tirdzniecības nosaukumi ir apzīmējoši un palīgvielas var atšķirties dažādām valstīm un laboratorijām

Abboticin Dānija, Norvēģija, Somija, Zviedrija
Eristin Argentīna
Erithromicina Čīle
Erycinum Vācija
Erythrocin Amerikas Savienotās Valstis, Austrālija, Austrija, Īrija, Jaunzēlande, Kanāda, Lielbritānija, Saūda Arābija, Vācija
Erythrocin lactobionat ADD Vantage Austrālija, Austrija
Erythrocine Beļģija, Francija, Holande, Luksemburga, Tunisija
Erythromycin Amerikas Savienotās Valstis, Lielbritānija, Saūda Arābija, Ungārija, Vācija
Erythromycine Luksemburga
Erythromycinum Polija
Pantomicina Čīle, Spānija
Levadīšanas veids   Levadīšanas veids :Erythromycin lactobionate     
Voie
Intravenoza infūzija
Ilgstoša  infūzija

  Mentions Légales