Останнє оновлення :
27/11/2025
Антибіотик   Erythromycin lactobionate  
ін'єкція
Стійкість в розчинах Стійкість сумішей Фактори, що впливають на стабільність Сумісність Шлях введення Список літератури pdf
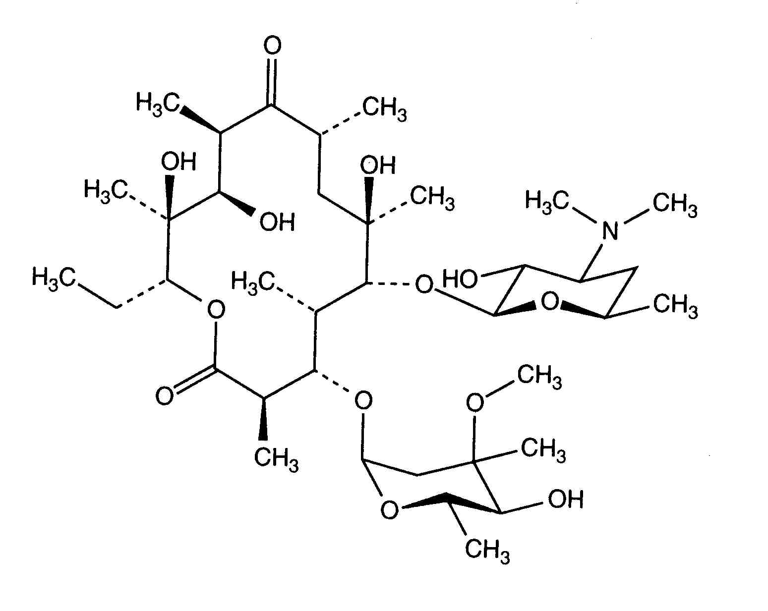
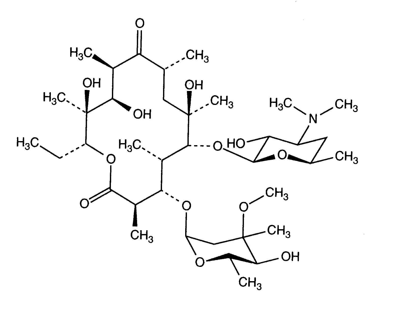
   Хімічна структура  

Торгова назва   Торгова назва     

Торгові назви є орієнтовними, а склад допоміжних речовин може бути різним залежно від країни та виробника

Abboticin Данія, Норвегія, Фінляндія, Швеція
Eristin Аргентина
Erithromicina Чилі
Erycinum Німеччина
Erythrocin Ірландія, Австрія, Австралія, Великобританія, Канада, Німеччина, Нова Зеландія, Саудівська Аравія, Сполучені Штати Америки
Erythrocin lactobionat ADD Vantage Австрія, Австралія
Erythrocine Бельгія, Люксембург, Нідерланди, Туніс, Франція
Erythromycin Великобританія, Німеччина, Саудівська Аравія, Сполучені Штати Америки, Угорщина
Erythromycine Люксембург
Erythromycinum Польща
Pantomicina Іспанія, Чилі
Шлях введення   Шлях введення :Erythromycin lactobionate     
Маршрут
Внутрішньовенне вливання
Безперервна інфузія

  Mentions Légales