Τελευταία ενημέρωση :
18/03/2026
Αντιβιοτικό   Erythromycin lactobionate  
Ενέσιμο
Σταθερότητα διαλυμάτων Σταθερότητα σε μίγματα Παράγοντας που επηρεάζει τη σταθερότητα Συμβατότητες Τρόπος χορήγησης Βιβλιογραφία pdf
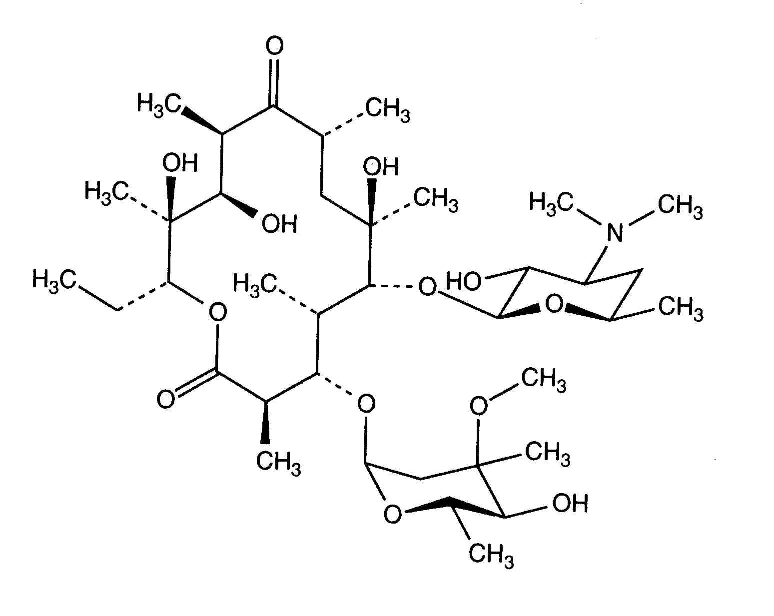
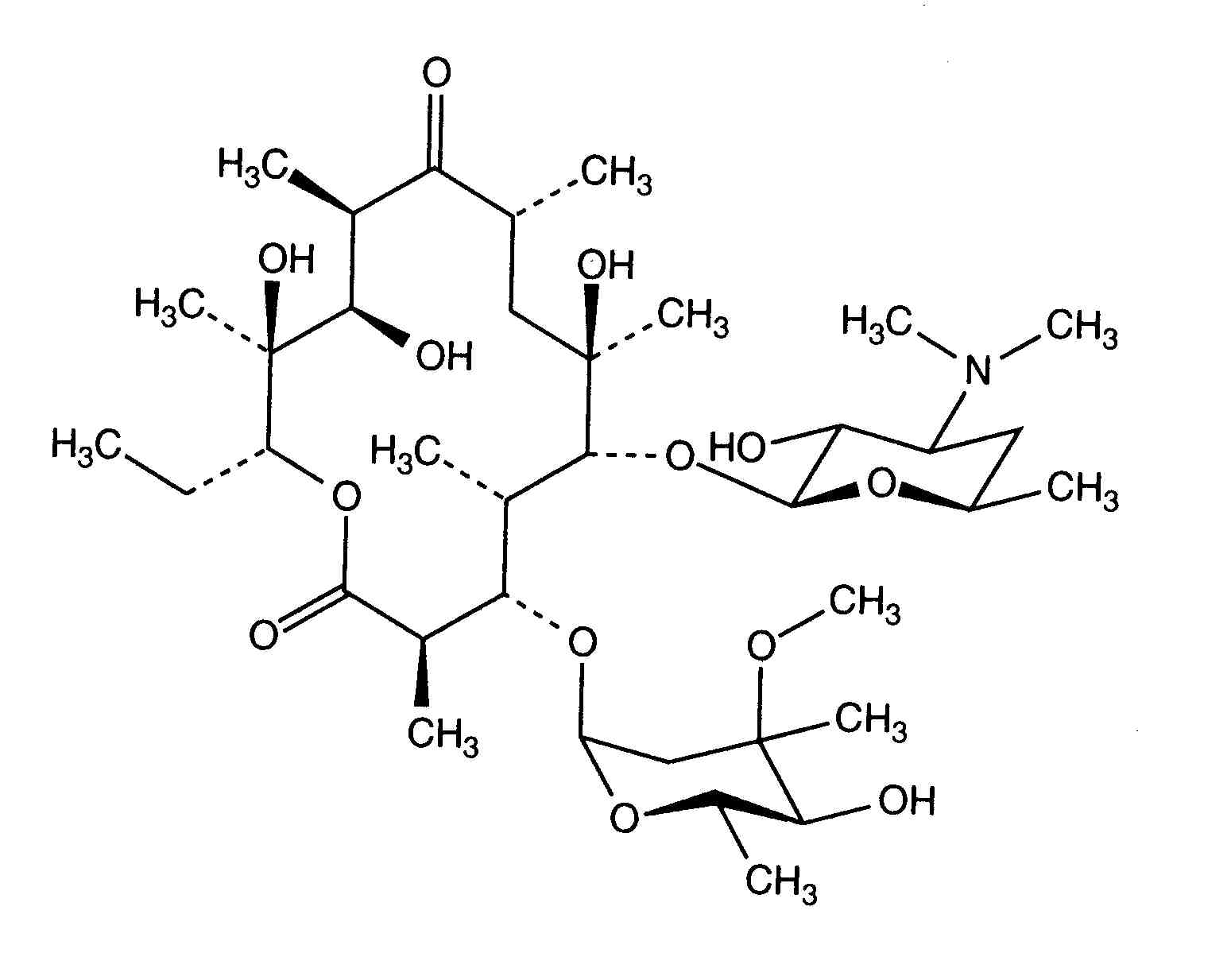
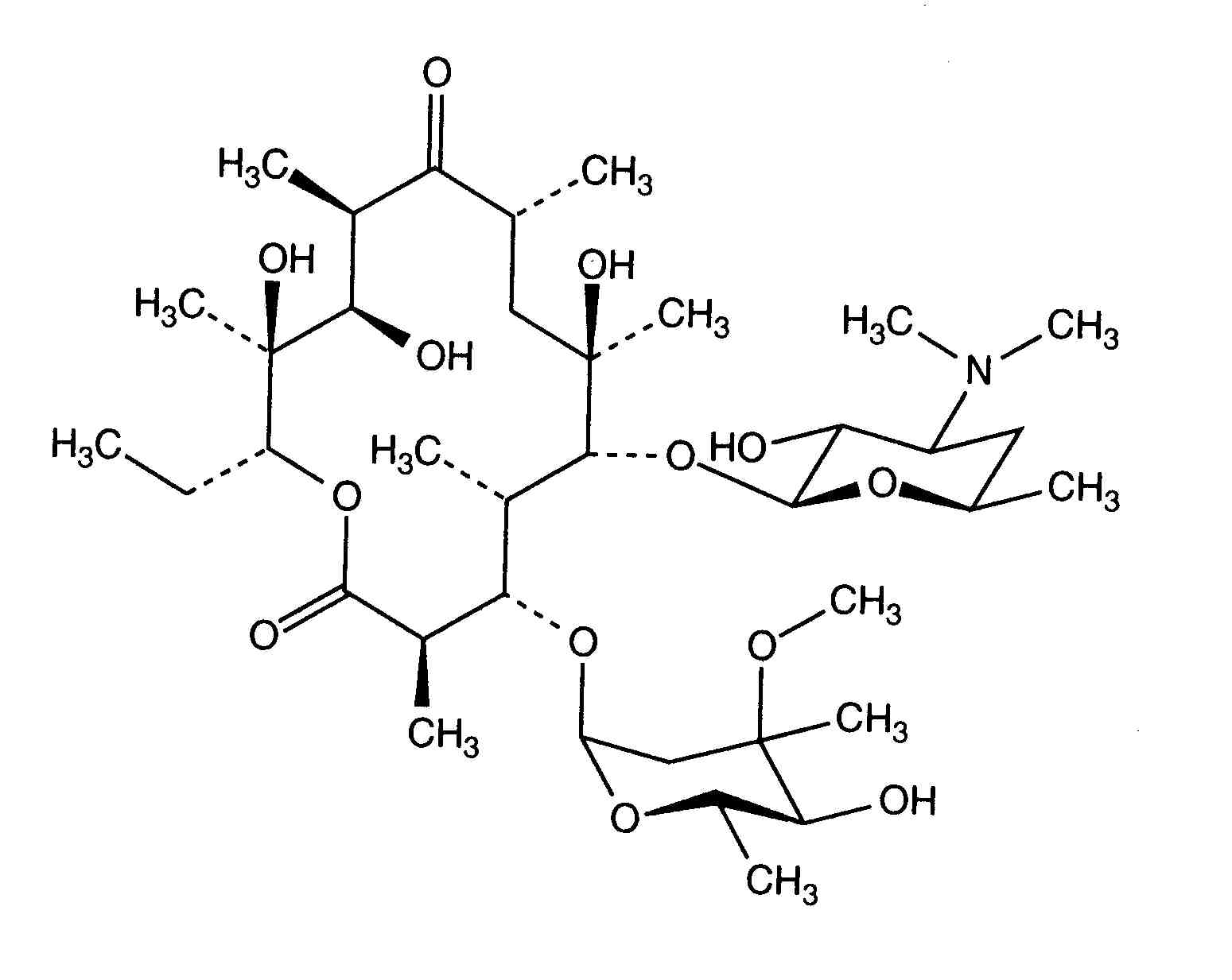
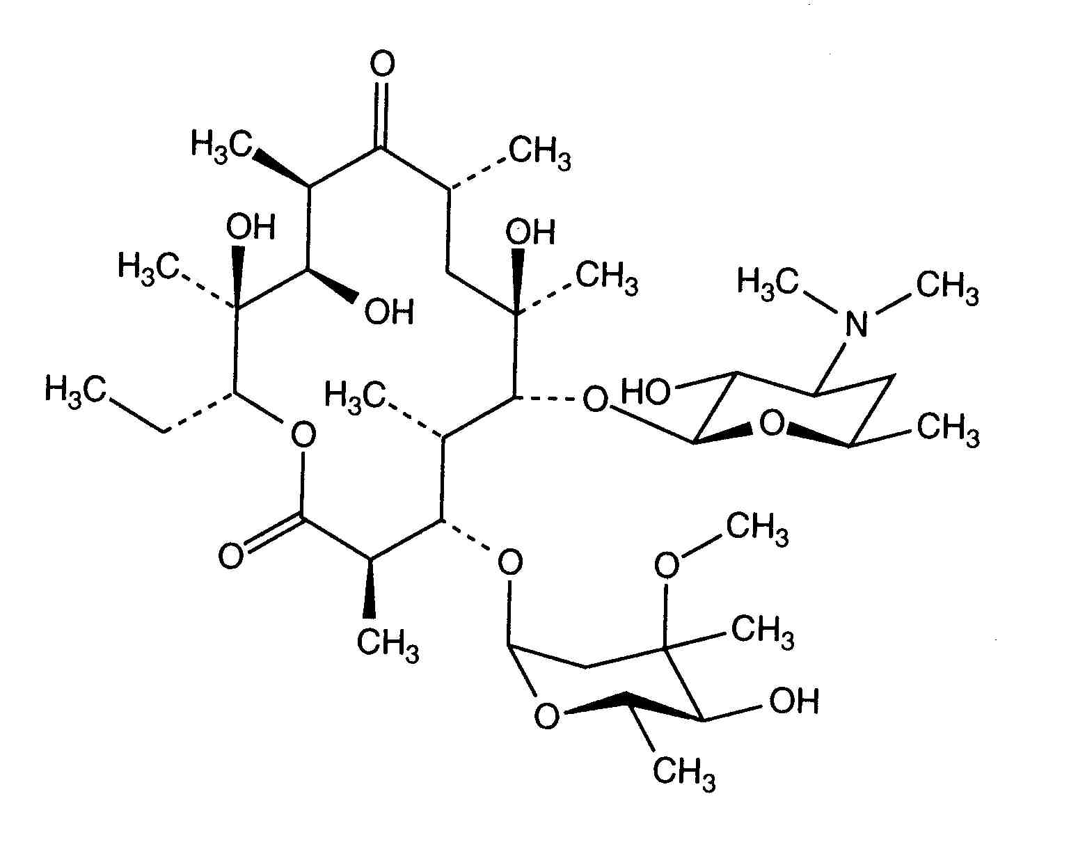
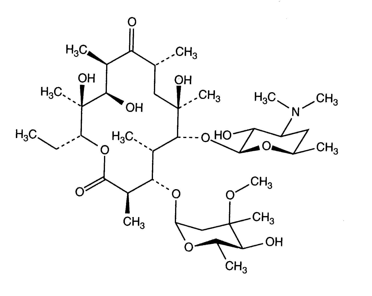
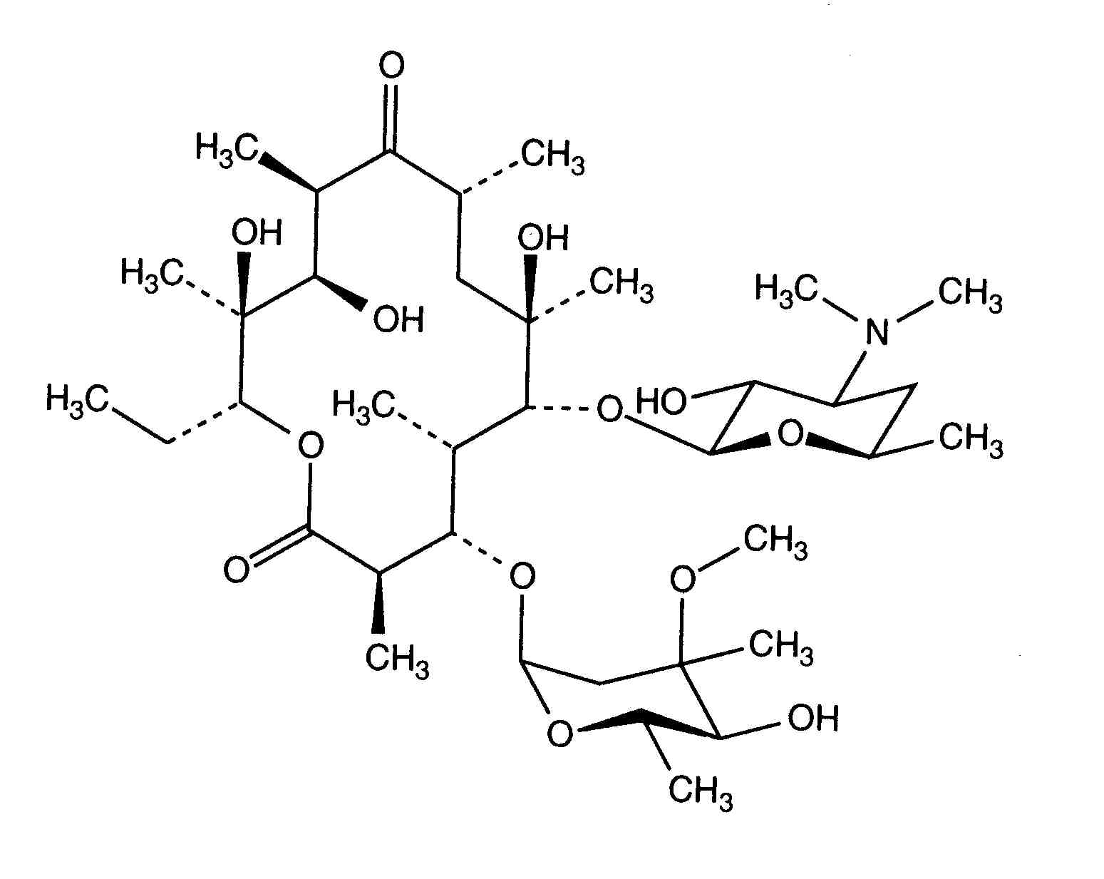
   χημική δομή  

Εμπορική ονομασία   Εμπορική ονομασία     

Οι εμπορικές ονομασίες είναι ενδεικτικές και η σύνθεση των εκδόχων μπορεί να διαφέρει ανάλογα με τη χώρα και τα εργαστήρια

Abboticin Δανία, Νορβηγία, Σουηδία, Φινλανδία
Eristin Αργεντινή
Erithromicina Χιλή
Erycinum Γερμανία
Erythrocin Αυστραλία, Αυστρία, Γερμανία, Η.Π.Α., Ιρλανδία, Καναδάς, Μεγάλη Βρετανία, νέα Ζηλανδία, Σαουδική Αραβία
Erythrocin lactobionat ADD Vantage Αυστραλία, Αυστρία
Erythrocine Βέλγιο, Γαλλία, Λουξεμβούργο, Ολλανδία, Τυνησία
Erythromycin Γερμανία, Η.Π.Α., Μεγάλη Βρετανία, Ουγγαρία, Σαουδική Αραβία
Erythromycine Λουξεμβούργο
Erythromycinum Πολωνία
Pantomicina Ισπανία, Χιλή
Τρόπος χορήγησης   Τρόπος χορήγησης :Erythromycin lactobionate     
Voie
Ενδοφλέβια έκχυση
Συνεχής έκχυση υγρού

  Mentions Légales