Останнє оновлення :
18/03/2026
Судинорозширювальний засіб   Alprostadil  
ін'єкція
Стійкість в розчинах Стійкість сумішей Фактори, що впливають на стабільність Сумісність Шлях введення Список літератури pdf
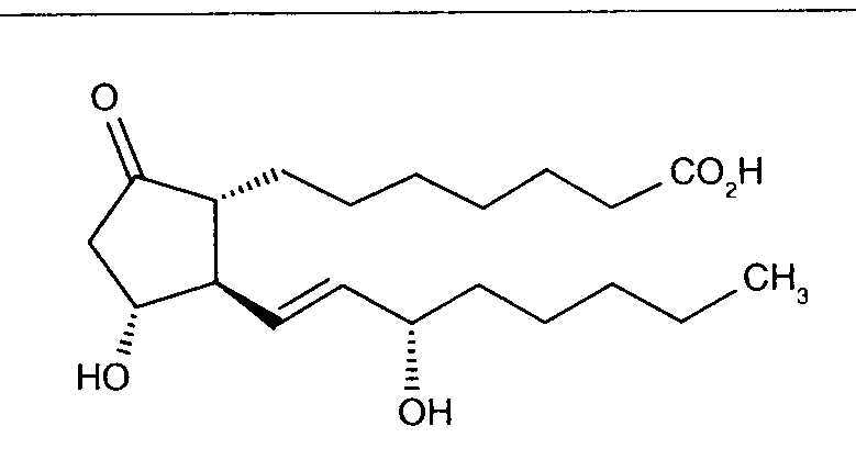
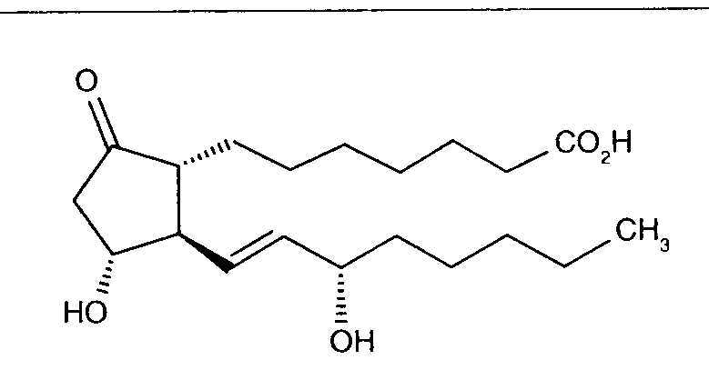
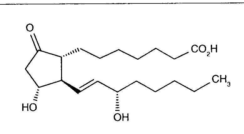
   Хімічна структура  

Торгова назва   Торгова назва     

Торгові назви є орієнтовними, а склад допоміжних речовин може бути різним залежно від країни та виробника

Alfaprostin Єгипет
Alistint Мексика, Перу
Alprostadil Іспанія, Австралія, Аргентина, Еквадор, Канада, Малайзія, Німеччина, Перу, Румунія, Саудівська Аравія, Сполучені Штати Америки, Туреччина, Чилі
Alprostapint Австрія, Аргентина, Еквадор, Колумбія, Перу, Угорщина
Alprostar Італія
Aplicav
Cardiobonisol Польща
Caverject Іспанія, Італія, Австрія, Бельгія, Бразилія, Великобританія, Данія, Канада, Колумбія, Норвегія, Об'єднані Арабські Емірати, Польща, Португалія, Словенія, Сполучені Штати Америки, Туреччина, Франція, Чилі, Швейцарія, Швеція
Edex Греція, Сполучені Штати Америки, Туніс, Франція
Liple Японія
Minprog Австрія, Німеччина
Ostapint Мексика, Перу
Palux Японія
Pridax Іспанія, Австрія, Німеччина, Румунія
Prolisina VR Аргентина
Prostandin Японія
Prostavasin Єгипет, Іран, Італія, Австрія, Люксембург, Німеччина, Польща, Угорщина
Prostin VR Іран, Італія, Бельгія, Великобританія, Венесуела, Греція, Данія, Канада, Колумбія, Люксембург, Малайзія, Нідерланди, Норвегія, Польща, Португалія, Саудівська Аравія, Сполучені Штати Америки, Угорщина, Фінляндія, Хорватія, Швейцарія
Prostine VR Франція
Vasaprostan Румунія
Стійкість сумішей   ін'єкція   Стійкість сумішей : Alprostadil     
Контейнер Розчинник Концентрація З'єднання температура Зберігання Тривалість стабільності Список літератури
скло NaCl 0,9% + антибактеріальний 12,5 µg/ml
ін'єкція   Alprostadil   
ін'єкція   Papaverine hydrochloride 4,5 mg/ml
ін'єкція   Phentolamine mesylate 0,125 mg/ml
-20°C
180 День
Берегти від світла 1899
Рівень доказовості А
скло NaCl 0,9% + антибактеріальний 12,5 µg/ml
ін'єкція   Alprostadil   
ін'єкція   Papaverine hydrochloride 4,5 mg/ml
ін'єкція   Phentolamine mesylate 0,125 mg/ml
4°C
30 День
Берегти від світла 1899
Рівень доказовості А
Поліпропілен Натрію хлорид 0,9% 15 µg/ml
ін'єкція   Alprostadil   
ін'єкція   Papaverine hydrochloride 15 mg/ml
ін'єкція   Urapidil 2 mg/ml
2-8°C
55 День
Берегти від світла 3448
Рівень доказовості B

  Mentions Légales