Siste oppdatering :
18/03/2026
Vasodilatator   Alprostadil  
Injeksjon
Oppløsningsstabilitet Stabilitet i blandinger Faktorer som påvirker stabiliteten Kompatibilitet Administrasjonsmåte Referanser pdf
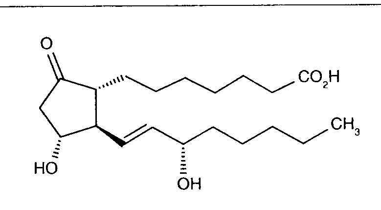
   Kjemisk struktur  

Handelsnavn   Handelsnavn     

Handelsnavn er veiledende og sammensetning av hjelpestoffer kan være forskjellig avhengig av land og produsent

Alfaprostin Egypt
Alistint Mexico, Peru
Alprostadil Argentina, Australia, Canada, Chile, Ecuador, Malaysia, Peru, Romania, Saudi-Arabia, Spania, Tyrkia, Tyskland, USA
Alprostapint Argentina, Colombia, Ecuador, Peru, Ungarn, Østerrike
Alprostar Italia
Aplicav
Cardiobonisol Polen
Caverject Belgia, Brasil, Canada, Chile, Colombia, Danmark, De forente arabiske emirater, Frankrike, Italia, Norge, Polen, Portugal, Slovenia, Spania, Storbritannia, Sveits, Sverige, Tyrkia, USA, Østerrike
Edex Frankrike, Hellas, Tunisia, USA
Liple Japan
Minprog Tyskland, Østerrike
Ostapint Mexico, Peru
Palux Japan
Pridax Romania, Spania, Tyskland, Østerrike
Prolisina VR Argentina
Prostandin Japan
Prostavasin Egypt, Iran, Italia, Luxembourg, Polen, Tyskland, Ungarn, Østerrike
Prostin VR Belgia, Canada, Colombia, Danmark, Finland, Hellas, Iran, Italia, Kroatia, Luxembourg, Malaysia, Nederland, Norge, Polen, Portugal, Saudi-Arabia, Storbritannia, Sveits, Ungarn, USA, Venezuela
Prostine VR Frankrike
Vasaprostan Romania
Stabilitet i blandinger   Injeksjon   Stabilitet i blandinger : Alprostadil     
Beholder Oppløsningsmiddel Konsentrasjon Legemiddel Temperatur Oppbevaring Varighet av stabilitet Referanser
Glass NaCl 0,9% + antibakterielt middel 12,5 µg/ml
Injeksjon   Alprostadil   
Injeksjon   Papaverine hydrochloride 4,5 mg/ml
Injeksjon   Phentolamine mesylate 0,125 mg/ml
-20°C
180 Dag
Beskyttes mot lys 1899
Bevisgrad A
Glass NaCl 0,9% + antibakterielt middel 12,5 µg/ml
Injeksjon   Alprostadil   
Injeksjon   Papaverine hydrochloride 4,5 mg/ml
Injeksjon   Phentolamine mesylate 0,125 mg/ml
4°C
30 Dag
Beskyttes mot lys 1899
Bevisgrad A
Polypropylen Natriumklorid 0,9 % 15 µg/ml
Injeksjon   Alprostadil   
Injeksjon   Papaverine hydrochloride 15 mg/ml
Injeksjon   Urapidil 2 mg/ml
2-8°C
55 Dag
Beskyttes mot lys 3448
Bevisgrad B

  Mentions Légales